服务热线
搜题▪组卷
试卷总分:150分 命题人:dygzsxyn 考试时长:120分钟


| A..(﹣∞,0)∪(2,+∞) |
B..(0,2) |
| C..(﹣∞,0) |
D..(2,+∞) |
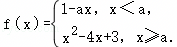
A.若a>b,c<0,则a2c<b2c
B..若a>b,c<0,则a3c<b3c
C.若a<b<0,则a2>ab>b2
D.函数
的最小值是2
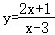
A..f(x)的定义域为(﹣∞,3)∪(3,+∞)
B.f(x)的值域为(﹣∞,2)∪(2,+∞)
C..f(x)的图象关于点(3,2)对称
D..f(x)在定义域上是减函数
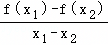
| A..f(x+1)为偶函数 |
B..f(1+x)=f(1﹣x) |
| C..f(2+x)+f(﹣x)=0 |
D..f(1)=0 |
dygzsxyn
2023-12-27
高中数学 | 段考 | 难度:1.55
| 下载试卷 | 收藏 |
| 平行组卷 | 细目重组 |
| 试卷分析 | 加入白板 |
| 加卷篮 | 更多功能 |
平行组卷卷生成中,请等待