首页 | 客服 | 上传赚现
AI助手
德优题库AI助手

AI助手

搜题▪组卷

(1)

服务热线

400-816-0029

    自建题库,共享分红

德优题库QQ交流群

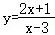
232751. (2023•高新一中•高一上二月) 关于函数的性质描述,正确的是(  )

A.fx)的定义域为(﹣∞,3)∪(3,+∞)

B.fx)的值域为(﹣∞,2)∪(2,+∞)

C.fx)的图象关于点(3,2)对称

D.fx)在定义域上是减函数

共享时间:2023-12-27 难度:3
[考点]
函数的定义域及其求法,函数的值域,由函数的单调性求解函数或参数,
[答案]
ABC
[解析]
解:=2+
由题意得x≠3,A正确;
根据反比例函数的性质可知y≠2,B正确;
根据反比例函数的性质可知,fx)的图象关于点(3,2)对称,C正确;
根据反比例函数的性质可知,fx)在定义域R上不单调.
故选:ABC
[点评]
本题考查了"函数的定义域及其求法,函数的值域,由函数的单调性求解函数或参数,",属于"典型题",熟悉题型是解题的关键。
转载声明:
本题解析属于发布者收集录入,如涉及版权请向平台申诉! !版权申诉
171539. (2023•高新一中•高一上期中) 函数fx)的定义域为D,若存在闭区间[ab]⊆D,使得函数fx)同时满足①fx)在[ab]上是单调函数;②fx)在[ab]上的值域为[kakb](k>0),则称区间[ab]为fx)的“k倍值区间”.下列函数存在“3倍值区间”的有(  )

A.fx)=2xx≤0)          

C.x>0)                                       

B.fx)=x2x≥0)          

D.(0≤x≤1)

共享时间:2023-11-13 难度:3 相似度:2
171297. (2024•西安中学•高一上期中) 下面关于函数fx)=的性质,说法正确的是(  )

A.fx)的定义域为(﹣∞,2)∪(2,+∞) 

B.fx)的值域为R   

C.fx)在定义域上单调递减  

D..点(2,2)是fx)图象的对称中心

共享时间:2024-11-16 难度:4 相似度:1.75
171688. (2023•西安八十五中•高一上期中) 高斯是德国著名的数学家,近代数学奠基者之一,享有“数学王子”的称号,用其名字命名的“高斯函数”如下:设x∈R,用[x]表示不超过x的最大整数,则y=[x]称为高斯函数.例如[﹣2.1]=﹣3,[3.1]=3,已知函数,若函数y=[fx)]的值域集合为Q,则下列集合是Q的子集的是(  )
A.[0,+∞) 
B.{0,2}     
C.{1,2}    
D.{1,2,3}
共享时间:2023-11-22 难度:1 相似度:1.33
169449. (2024•长安区一中•高一上期末) 高斯是德国著名的数学家,近代数学奠基名之,享有“数学王子”的称号,他和阿基米德、牛顿并列为世界三大数学家,用其名字命名的“高斯函数”为:设x∈R,用[x]表示不超过x的最大整数,则y=[x]称为高斯函数,例如[﹣3.5]=﹣4,[2.1]=2,已知函数fx)=,则函数y=[fx)]的值域是(  )
A.{0,1}    
B..{1}      
C..{﹣1,0}
D.{﹣1,0,1}
共享时间:2024-02-14 难度:1 相似度:1.33
170084. (2023•铁一中学•高一上期末) 函数的定义域是(  )
A.[﹣1,+∞)
B.(﹣1,+∞)
C..[0,+∞) 
D.(0,+∞)
共享时间:2023-02-22 难度:1 相似度:1.33
170017. (2023•西工大附中•高三上期末) 设函数fx)满足f(﹣x)=fx),且∀x1x2∈(0,+∞)(x1x2)有(x1x2)[fx1)﹣fx2)]>0,则(  )

A.f(﹣2)<f(﹣3)<f(1)  

C.f(﹣3)<f(﹣2)<f(1)                                 

B.f(﹣1)<f(﹣2)<f(3)    

D.f(﹣1)<f(3)<f(﹣2)

共享时间:2023-02-04 难度:1 相似度:1.33
169980. (2023•西工大附中•高一上期末) 下列函数中,定义域为(0,+∞)的函数是(  )
A.ylgx    
B.   
C.   
D.yex
共享时间:2023-02-20 难度:1 相似度:1.33
170222. (2023•西安三中•高二下期末) 如果函数yfx)在区间I上是减函数,且函数y在区间I上是增函数,那么称函数yfx)是区间I上的“可变函数”,区间I叫作“可变区间”.若函数fx)=x2﹣4x+2是区间I上的“可变函数”,则“可变区间”I为(  )

A.[]                    

C.(﹣∞,]和[,2]                                     

B.(0,]                     

D.[1,]

共享时间:2023-07-07 难度:1 相似度:1.33
166299. (2024•西安中学•高三上二月) 已知函数的值域为R,则实数a的取值范围是(  )

A.(﹣∞,0] 

C.(﹣∞,﹣1]

B.[0,+∞) 

D.[﹣1,+∞)

共享时间:2024-12-28 难度:1 相似度:1.33
170227. (2023•西安三中•高二下期末) 高斯是德国著名的数学家,近代数学奠基者之一,享有“数学王子”的称号,用其名字命名的“高斯函数”为:设x∈R,用[x]表示不超过x的最大整数,则y=[x]称为高斯函数.例如:[﹣2.1]=﹣3,[3.1]=3,已知函数,则函数y=[fx)]的值域为(  )
A.{0,1,2,3}
B.{0,1,2} 
C.{1,2,3}
D.{1,2}
共享时间:2023-07-07 难度:1 相似度:1.33
170331. (2022•长安区一中•高一上期末) 函数fx)=﹣x3,若bf(log32),,则(  )
A.abc   
B.bac    
C.acb   
D.cba
共享时间:2022-02-23 难度:1 相似度:1.33
169163. (2020•高新一中•三模) 若对于任意的0<x1x2a,都有,则a的最大值为(  )
A.2e        
B.e         
C.1         
D.
共享时间:2020-04-01 难度:1 相似度:1.33
169241. (2025•西工大附中•高一上期末) 已知是(﹣∞,+∞)上的减函数,那么a的取值范围是(  )

A.  

C.

B.(0,1)      

D.(1,+∞)

共享时间:2025-02-26 难度:1 相似度:1.33
170959. (2024•曲江二中•高一上期中) 设函数,则不等式fx)>f(1)的解集是(  )

A.(﹣∞,﹣4)∪(1,+∞)      

C.(﹣∞,﹣2)∪(1,+∞)                                   

B.(﹣∞,﹣4)∪(2,+∞)      

D.(﹣∞,﹣2)∪(2,+∞)

共享时间:2024-11-24 难度:1 相似度:1.33
171397. (2023•长安区一中•高一上期中) 若函数yfx)的定义域是[0,2],则函数gx)=的定义域是(  )
A..[0,1]  
B.[0,1)    
C.[0,1)∪(1,4]                    
D..(0,1)
共享时间:2023-11-15 难度:1 相似度:1.33

dygzsxyn

2023-12-27

高中数学 | 高一上 | 选择题

  • 下载量
  • 浏览量
  • 收益额
  • 0
  • 3
  • 0
相同试题
试题下载
试题内容
调用试题名称
共享人
唐老师
试题题型
解答题
试题难度
试题题源
2020*西工大*期末
下载次数
168次
下载金币
5德优币(当前结余18德优币)
温馨提示
该试题下载至自主题库后,下载、备课永久免费!
试卷设置
试卷名称
省市校区
阶段科目
年份卷型
选择类型
已选考点
在线训练
视频讲解
温馨提示
视频讲解正在加载中、请等待!
温馨提示
对不起!这是别人共享的试题,需要下载到自主题库后,可将该试题添加到白板
视频解析购买
支付方式
德优币数
本次消耗0德优币
温馨提示

客服电话:400-816-0029,服务邮箱:610066832@qq.com

视频资源

试题找茬
纠错类型
纠错描述
温馨提示
共享试题、试卷经平台审核通过后方可展示,并永久享用用户下载分红权!