首页 | 客服 | 上传赚现
AI助手
德优题库AI助手

AI助手

搜题▪组卷

(1)

服务热线

400-816-0029

    自建题库,必找德优

德优题库QQ交流群

首页 > 试卷详情
德优网2018陕西省西安市高新区高新一中高中数学考试期中高一上

2018-2019学年陕西省西安市高新一中高一(上)期中数学试卷

试卷总分:122分    命题人:dygzsxyn    考试时长:120分钟

一、选择题(10小题共40分)
1. (本题4分) 已知集合A={﹣1,0,1,2},集合B={y|y=2x﹣3,xA},则AB=(  )
A.{﹣1,0,1}                  
B..{﹣1,1}
C..{﹣1,1,2}   
D..{0,1,2}
2. (本题4分) 设集合A={x|0≤x≤2},B={y|1≤y≤2},在下图中能表示从集合A到集合B的映射的是(  )
A.           
B.                                       
C.            
D.
3. (本题4分) 方程log4x+x=7的解所在区间是(  )
A.(1,2)   
B..(3,4)
C..(5,6)
D..(6,7)
4. (本题4分) 由于被墨水污染,一道数学题仅能见到如下文字:已知二次函数yax2+bx+c的图象过点(1,0)…求证:这个二次函数的图象关于直线x=2对称.根据现有信息,题中的二次函数不一定具有的性质是(  )

A.x轴上截得的线段的长度是2 

B.y轴交于点(0,3)

C..顶点是(﹣2,﹣2)

D.过点(3,0)

5. (本题4分) 若偶函数fx)在(﹣∞,0)内单调递减,则不等式f(﹣1)<flgx)的解集是(  )
A.(0,10)                      B.,10)   
C..(,+∞)                D.(0,)∪(10,+∞)
6. (本题4分) 若0<ab<1,则的大小关系为(  )
A.         B.             
C.       D.
7. (本题4分) 函数fx)=x2的零点个数为(  )
A..0       
B..1        
C..2       
D..3
8. (本题4分) 已知定义在R上的奇函数fx)满足fx+2)=﹣fx),当x∈[0,1]时,fx)=2x﹣1,则(  )
A.      B.               
C.      D.
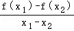
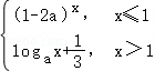
9. (本题4分) 已知函数fx)=,当x1x2时,<0,则a的取值范围是(  )
A.(0,]    B..[
C..(0,] D..[]
10. (本题4分) 定义在R上的奇函数fx),当x≥0时,,则关于x的函数Fx)=fx)﹣a(0<a<1)的所有零点之和为(  )
A.2a﹣1                         B..1﹣2a 
C.﹣log2(1+a)                  D..log2(1﹣a
二、填空题(4小题共16分)
11. (本题4分) 设2a=5bm,且+=2,m           .
12. (本题4分) 若集合P={x|x2+x﹣6=0},S={x|ax+1=0},且SP,则实数a的可能取值组成的集合是             
13. (本题4分) 已知fx)是定义域为R的奇函数,满足f(1+x)=f(1﹣x),若f(1)=2,则f(1)+f(2)+f(3)+…+f(2018)=    
14. (本题4分) 若函数fx)=loga(2x2+x)(a>0,a≠1)在区间恒有fx)>0,则fx)的单调递增区间是             
三、解答题(7小题共66分)
15. (本题8分) 已知集合A={x|3≤3x≤27},B={x|log2x<1}.
(1)分别求AB,(∁RB)∪A
(2)已知集合C={x|axa+1},若ACC求实数a的取值范围.
16. (本题8分) .计算:
(1)﹣(﹣0++
(2)lg2﹣lg+3lg5﹣log32•log49.
17. (本题10分) .已知函数fx)=是定义在R上的奇函数.
(1)判断并证明fx)在(﹣∞,+∞)上的单调性.
(2)若对任意实数t,不等式fkt2kt)+f(2﹣kt)<0恒成立,求k的取值范围.
18. (本题10分) .已知函数fx)=(x
(1)当x∈[﹣1,1]时,求函数y=[fx)]2﹣2afx)+3的最小值ga);
(2)是否存在实数mn>3,使得(1)中所得函数的定义域为[nm],值域为[n2m2]?若存在,求出mn的值;若不存在,请说明理由.
19. (本题10分) 已知函数fx)=x2﹣2ax+5(a∈R).
(1)当a>1时,若gx)=2x+log2x+1),且对任意的x∈[0,1],都存在x0∈[0,1],使得fx0)=gx)成立,求实数a的取值范围;
(2)当fx)<(1﹣a)(x2+x)+4时,求x的取值范围.
20. (本题10分) x>0时,求函数fx)=的最小值.
21. (本题10分) .设二次函数fx)=ax2+bx+cabc∈R,a≠0)满足条件:
(1)当x∈R时,fx﹣4)=f(2﹣x),且fx)≥x
(2)当x∈(0,2)时,fx)≤
(3)fx)在R上的最小值为0.
求最大的mm>1),使得存在t∈R,只要x∈[1,m],就有fx+t)≤x
转载声明:
本题解析属于发布者收集录入,如涉及版权请向平台申诉! !版权申诉
温馨提示
对不起!这是别人共享的试卷,需要下载到自主题库后,可将该试卷添加到白板
试题下载
试题内容
调用试题名称
共享人
唐老师
试题题型
解答题
试题难度
试题题源
2020*西工大*期末
下载次数
168次
下载金币
5德优币(当前结余18德优币)
温馨提示
该试题下载至自主题库后,下载、备课永久免费!
相似题
试卷设置
试卷名称
省市校区
阶段科目
年份卷型
选择类型
已选考点
在线训练
可见权限
会员看题 会员看题和答案
试卷下载
试卷名称
调用试卷名称
共享人
唐老师
试卷卷型
1111
试卷难度
试卷来源
2020*西工大*期末
下载次数
168次
下载金币
5德优币(当前结余18德优币)
温馨提示
该试卷下载至自主题库后,下载、备课永久免费!
组卷付费
试卷名称
调用试卷名称
试卷来源
唐老师
试卷形式
全选 卷主 序号 卷型 难度 年份 省市区 题源 金币 操作
8 选择题 2018年 陕西 真题 2币 查看
8 选择题 2018年 陕西 真题 2币 查看
8 选择题 2018年 陕西 真题 2币 查看
8 选择题 2018年 陕西 真题 2币 查看
8 选择题 2018年 陕西 真题 2币 查看
8 选择题 2018年 陕西 真题 2币 查看
下载金币
5德优币(当前结余18德优币)
温馨提示
该试卷下载至自主题库后,下载、备课永久免费!
试题找茬
纠错类型
纠错描述
温馨提示
共享试题、试卷经平台审核通过后方可展示,并永久享用用户下载分红权!
平行组卷明细
2018-2019学年陕西省西安市高新一中高一(上)期中数学试卷的细目表
  • 题号
  • 考点
  • 操作
  • 1
  • 求集合的交集,
  • 查看
  • 2
  • 映射,
  • 查看
  • 3
  • 函数零点的判定定理,
  • 查看
  • 4
  • 二次函数的性质与图象,
  • 查看
  • 5
  • 奇偶性与单调性的综合,
  • 查看
  • 6
  • 对数值大小的比较,
  • 查看
  • 7
  • 函数零点的判定定理,
  • 查看
  • 8
  • 函数的奇偶性,
  • 查看
  • 9
  • 由函数的单调性求解函数或参数,分段函数的应用,
  • 查看
  • 10
  • 函数与方程的综合运用,
  • 查看
  • 11
  • 对数的运算性质,指数函数与对数函数的关系,
  • 查看
  • 12
  • 集合交并补混合关系的应用,
  • 查看
  • 13
  • 函数的周期性,函数的值,
  • 查看
  • 14
  • 函数恒成立问题,对数函数的单调性与最值,
  • 查看
  • 15
  • 交、并、补集的混合运算,集合交并补混合关系的应用,指、对数不等式的解法,
  • 查看
  • 16
  • 有理数指数幂及根式,对数的运算性质,
  • 查看
  • 17
  • 函数的奇偶性,函数恒成立问题,利用导数研究函数的单调性,
  • 查看
  • 18
  • 指数函数的图象,
  • 查看
  • 19
  • 二次函数的性质与图象,
  • 查看
  • 20
  • 函数的最值,
  • 查看
  • 21
  • 由函数的单调性求解函数或参数,函数最值的应用,
  • 查看
细目重组明细
2018-2019学年陕西省西安市高新一中高一(上)期中数学试卷的细目表
  • 题号
  • 考点
  • 选题
  • 1
  • 求集合的交集,
  • 查看
  • 2
  • 映射,
  • 查看
  • 3
  • 函数零点的判定定理,
  • 查看
  • 4
  • 二次函数的性质与图象,
  • 查看
  • 5
  • 奇偶性与单调性的综合,
  • 查看
  • 6
  • 对数值大小的比较,
  • 查看
  • 7
  • 函数零点的判定定理,
  • 查看
  • 8
  • 函数的奇偶性,
  • 查看
  • 9
  • 由函数的单调性求解函数或参数,分段函数的应用,
  • 查看
  • 10
  • 函数与方程的综合运用,
  • 查看
  • 11
  • 对数的运算性质,指数函数与对数函数的关系,
  • 查看
  • 12
  • 集合交并补混合关系的应用,
  • 查看
  • 13
  • 函数的周期性,函数的值,
  • 查看
  • 14
  • 函数恒成立问题,对数函数的单调性与最值,
  • 查看
  • 15
  • 交、并、补集的混合运算,集合交并补混合关系的应用,指、对数不等式的解法,
  • 查看
  • 16
  • 有理数指数幂及根式,对数的运算性质,
  • 查看
  • 17
  • 函数的奇偶性,函数恒成立问题,利用导数研究函数的单调性,
  • 查看
  • 18
  • 指数函数的图象,
  • 查看
  • 19
  • 二次函数的性质与图象,
  • 查看
  • 20
  • 函数的最值,
  • 查看
  • 21
  • 由函数的单调性求解函数或参数,函数最值的应用,
  • 查看
视频讲解
温馨提示
视频讲解正在加载中、请等待!
视频解析购买
支付方式
德优币数
本次消耗0德优币
温馨提示

客服电话:400-816-0029,服务邮箱:610066832@qq.com

视频资源

选择考点
存放类型
已选考点

平行组卷卷生成中,请等待

组卷异常提醒
温馨提示
试题篮存在未完成组卷,请前往组卷页面-组卷管理,点击“完成组卷”后,方可修改或添加试卷!