服务热线
搜题▪组卷
试卷总分:150分 命题人:dygzsxyn 考试时长:120分钟
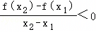
| A.(﹣∞,1]∪[2,+∞) |
B.[﹣4,﹣1]∪[0,1] |
| C.[﹣4,﹣1]∪[1,2] |
D.[﹣4,﹣1]∪[2,+∞) |


dygzsxyn
2023-12-17
高中数学 | 段考 | 难度:1.95
| 下载试卷 | 收藏 |
| 平行组卷 | 细目重组 |
| 试卷分析 | 加入白板 |
| 加卷篮 | 更多功能 |
平行组卷卷生成中,请等待