首页 | 客服 | 上传赚现
AI助手
德优题库AI助手

AI助手

搜题▪组卷

(1)

服务热线

400-816-0029

    自建题库,共享分红

德优题库QQ交流群

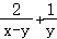
232328. (2023•铁一中学•高三上二月) 已知x+y=4,且xy>0,则的最小值为      
共享时间:2023-12-17 难度:1
[考点]
一元二次不等式及其应用,
[答案]
见试题解答内容
[解析]
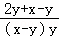
解:∵x+y=4,且xy>0,

gy)=﹣y2+2y
gy)=﹣y2+2y=﹣(y﹣1)2+1,
y=1时,gymax=1,
y=1,
x=4﹣y=3,满足xy>0,符合题意,
的最小值为
故答案为:2.
[点评]
本题考查了"一元二次不等式及其应用,",属于"基础题",熟悉题型是解题的关键。
转载声明:
本题解析属于发布者收集录入,如涉及版权请向平台申诉! !版权申诉
236798. (2016•西安中学•高二下期末) 对于实数x,当且仅当nxn+1时,n∈N*,[x]=n,则不等式4[x]2﹣36[x]+45<0的解集是      
共享时间:2016-07-26 难度:1 相似度:2
232044. (2024•西工大附中•高一上一月) 若关于x的不等式2x2﹣8x﹣4﹣a≤0在1≤x≤4内有解,则实数a的取值范围为         
共享时间:2024-10-16 难度:1 相似度:2
236641. (2017•铁一中学•高一下期末) 已知不等式x2+bxb>0的解集为R,则b的取值范围是      
共享时间:2017-07-14 难度:1 相似度:2
236148. (2018•西安中学•高二下期末) 若函数fx)=,则不等式fx)≥﹣2的解集为       
共享时间:2018-07-19 难度:1 相似度:2
233365. (2022•西工大附中•高一上二月) 已知关于x的不等式x2﹣(4a+2)x+3a2+2a<0(a>﹣1)的解集中恰好含有3个整数解,则a的取值范围是           
共享时间:2022-12-20 难度:1 相似度:2
232214. (2023•铁一中学•高一上一月) 不等式x2>0的解集是       
共享时间:2023-10-16 难度:1 相似度:2
232045. (2024•西工大附中•高一上一月) 关于x的不等式x2﹣(a+1)x+a<0的解集中恰有3个整数解,则a的取值范围是       
共享时间:2024-10-16 难度:1 相似度:2
172242. (2022•唐南中学•高一上期中) 若不等式ax2+bx﹣2>0的解集是,则a+b     
共享时间:2022-11-10 难度:1 相似度:2
166931. (2023•师大附中•高一上一月) 有纯农药液一桶,倒出4升后用水加满,然后又倒出2升后再用水加满,此时桶中所含的纯农药药液不超过桶的容积的50%,则桶的容积最大为          升.
共享时间:2023-10-21 难度:1 相似度:2
172133. (2022•碑林区•高一上期中) 若关于x的不等式(2x﹣5)2kx2恰好有三个整数解,则实数k的取值范围是      .
共享时间:2022-11-15 难度:1 相似度:2
172023. (2022•西工大附中•高一上期中) 若关于x的不等式(2x﹣5)2kx2恰好有三个整数解,则实数k的取值范围是      
共享时间:2022-11-22 难度:1 相似度:2
170985. (2024•庆安中学(高)•高一上期中) 若关于x的不等式x2ax+2<0的解集是(1,2),则a      
共享时间:2024-11-30 难度:1 相似度:2
170230. (2023•西安三中•高二下期末) 已知关于x的不等式x2ax+1≥0在区间[1,2]上有解,则实数a的取值范围为        
共享时间:2023-07-07 难度:1 相似度:2
169987. (2023•西工大附中•高一上期末) 对任意x∈R,一元二次不等式(k﹣1)x2+(k﹣1)x<0都成立,则实数k的取值范围为        
共享时间:2023-02-20 难度:1 相似度:2
167386. (2023•高新一中•高一上一月) 已知关于x的不等式ax﹣1)(x+3)+2>0的解集是(x1x2),其中x1x2,则下列结论:
x1+x2+2=0;
②﹣3<x1x2<1;
③|x1x2|>4;
x1x2+3<0.
正确的有              .(填上所有正确的序号)
共享时间:2023-10-22 难度:1 相似度:2

dygzsxyn

2023-12-17

高中数学 | 高三上 | 填空题

  • 下载量
  • 浏览量
  • 收益额
  • 0
  • 3
  • 0
相同试题
试题下载
试题内容
调用试题名称
共享人
唐老师
试题题型
解答题
试题难度
试题题源
2020*西工大*期末
下载次数
168次
下载金币
5德优币(当前结余18德优币)
温馨提示
该试题下载至自主题库后,下载、备课永久免费!
试卷设置
试卷名称
省市校区
阶段科目
年份卷型
选择类型
已选考点
在线训练
视频讲解
温馨提示
视频讲解正在加载中、请等待!
温馨提示
对不起!这是别人共享的试题,需要下载到自主题库后,可将该试题添加到白板
视频解析购买
支付方式
德优币数
本次消耗0德优币
温馨提示

客服电话:400-816-0029,服务邮箱:610066832@qq.com

视频资源

试题找茬
纠错类型
纠错描述
温馨提示
共享试题、试卷经平台审核通过后方可展示,并永久享用用户下载分红权!