首页 | 客服 | 上传赚现
AI助手
德优题库AI助手

AI助手

搜题▪组卷

(1)

服务热线

400-816-0029

    自建题库,共享分红

德优题库QQ交流群

232335. (2023•铁一中学•高三上二月) 已知函数fx)=cosxax2,其中a∈R,x∈[﹣].
(Ⅰ)当a=﹣时,求函数fx)的值域;
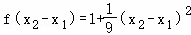
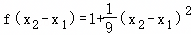
(Ⅱ)若函数fx)在[﹣]上恰有两个极小值点x1x2,求a的取值范围;并判断是否存在实数a,使得fx2x1)=1+x2x12成立?若存在,求出a的值;若不存在,请说明理由.

共享时间:2023-12-17 难度:1
[考点]
利用导数研究函数的极值,
[答案]
(Ⅰ)
(Ⅱ)a的取值范围为;存在,使得成立,理由见解答.
[解析]
解:(Ⅰ)当时,,则f′(x)=﹣sinx+x,设gx)=f′(x),则g′(x)=﹣cosx+1≥0在上恒成立,
gx)在上单调递增,
g(0)=0,
∴当时,f′(x)<0,当时,f′(x)>0,
fx)在上单调递减,在上单调递增,

∴函数fx)的值域为
(Ⅱ)∵f(﹣x)=cos(﹣x)﹣a(﹣x2=cosxax2fx),
fx)在上为偶函数,
∴函数fx)在上恰有两个极小值点等价于函数fx)在上恰有一个极小值点,
hx)=f′(x)=﹣sinx﹣2ax,则h′(x)=﹣cosx﹣2a
①当a≥0时,h′(x)≤0,则hx)在上单调递减,
hx)≤h(0)=0,则f′(x)≤0,
fx)在上单调递减,无极小值;
②当时,h′(x)≥0,则hx)在上单调递增,
hx)≥h(0)=0,则f′(x)≥0,
fx)在上单调递增,无极小值;
③当时,存在,使得h′(x0)=0,且当x∈(0,x0)时,h′(x)<0,当时,h′(x)>0,
hx)在x∈(0,x0)上单调递减,在上单调递增,
h(0)=0,
hx0)<0,又
i)当﹣1﹣aπ≤0,即时,
f′(x)≤0,此时fx)在上单调递减,无极小值;
ii)当﹣1﹣aπ>0,即时,,则存在,使得ht)=﹣sint﹣2at=0(*),
且当x∈(0,t)时,h′(x)<0,当时,h′(x)>0,
fx)在(0,t)上单调递减,在上单调递增,
∴函数fx)在上恰有一个极小值点x2t,此时x=0是函数fx)的极大值点,
∴当函数fx)在上恰有两个极小值点时a的取值范围为
x1+x2=0,
,则
由(*)知,sinx2=﹣2ax2

整理可得


∴存在,使得成立.
[点评]
本题考查了"利用导数研究函数的极值,",属于"基础题",熟悉题型是解题的关键。
转载声明:
本题解析属于发布者收集录入,如涉及版权请向平台申诉! !版权申诉
考点说明
灰色代表去掉的考点,绿色代表未变动的考点,红色代表新增的考点
169485. (2024•西工大附中•高二上期末) 已知函数fx)=lnx+x2axa∈R).
(1)设函数gx)=fx)﹣x2,若函数gx)在区间(1,2)上存在极值,求实数a的取值范围;
(2)若函数fx)有两个极值点x1x2,且,求fx1)﹣fx2)的取值范围.
共享时间:2024-02-02 难度:1 相似度:2
167369. (2024•长安区•高二下一月) 已知函数x=5处取得极小值,且极小值为﹣33.
(1)求ab的值;
(2)求fx)在[﹣2,0]上的值域.
共享时间:2024-04-22 难度:1 相似度:2
169439. (2024•西安中学•高二下期末) 已知函数fx)=x2alnxa∈R).
(1)若a=2,求fx)的极值;
(2)若函数gx)=fx)+(1﹣2ax恰有两个零点,求a的取值范围.
共享时间:2024-07-09 难度:1 相似度:2
261518. (2019•陕西省•新课标Ⅱ) 已知函数f(x)=(x-1)lnx-x-1.证明:
(1)f(x)存在唯一的极值点;
(2)f(x)=0有且仅有两个实根,且两个实根互为倒数.
共享时间:2019-06-21 难度:1 相似度:2
264473. (2017•陕西省•新课标Ⅱ) 已知函数f(x)=ax2-ax-xlnx,且f(x)≥0.
(1)求a;
(2)证明:f(x)存在唯一的极大值点x0,且e-2<f(x0)<2-2
共享时间:2017-06-20 难度:1 相似度:2
237615. (2020•西安中学•高二下期中) 已知函数fx)=x3+ax2+bxx=1处有极值﹣2.
(1)求常数ab
(2)求曲线yfx)与x轴所包围的面积.
共享时间:2020-05-11 难度:1 相似度:2
169740. (2023•师大附中•高二下期末) 已知函数fx)=x3+ax2+bx+c在点P(1,2)处的切线斜率为4,且在x=﹣1处取得极值.
(1)求函数fx)的解析式;
(2)若函数gx)=fx)+m﹣1有三个零点,求m的取值范围.
共享时间:2023-07-03 难度:1 相似度:2
271578. (2022•西安中学•高二上一月) 已知函数f(x)=x3+2ax2+a2x+m在x=1处取得极小值.
(1)求实数a的值;
(2)若f(x)有3个零点,求实数m的取值范围.
共享时间:2022-10-18 难度:1 相似度:2
167305. (2023•长安区一中•高三上四月) 已知函数a>0.
(1)讨论fx)极值点的个数;
(2)若fx)恰有三个零点t1t2t3t1t2t3)和两个极值点x1x2x1x2).
(ⅰ)证明:fx1)+fx2)=0;
(ⅱ)若mn,且mlnmnlnn,证明:
共享时间:2023-02-23 难度:1 相似度:2
271712. (2022•西工大附中•高三上二月) 已知函数fx)=x2+ax+lnxa∈R).
(1)当a=﹣3时,求fx)的极值;
(2)若x1x2x1x2)是函数fx)的两个极值点,求fx2)﹣fx1)的取值范围.
共享时间:2022-12-17 难度:1 相似度:2
168966. (2021•交大附中•四模) 已知函数fx)=xlnx+1)﹣sinx
(1)证明:函数fx)在区间(0,π)上存在唯一的极小值点;
(2)证明:函数fx)有且仅有两个零点.
共享时间:2021-04-20 难度:1 相似度:2
231519. (2015•西安中学•一模) 设函数fx)=x3+ax2a2x+ma>0)
(1)若函数fx)在x∈[﹣1,1]内没有极值点,求实数a的取值范围;
(2)a=1时函数fx)有三个互不相同的零点,求实数m的取值范围;
(3)若对任意的a∈[3,6],不等式fx)≤1在x∈[﹣2,2]上恒成立,求实数m的取值范围.
共享时间:2015-03-05 难度:2 相似度:1.5
231754. (2014•师大附中•八模) 已知函数fx)=exx2+ax∈R的图象在点x=0处的切线为ybx.(e≈2.71828).
(Ⅰ)求函数fx)的解析式;
(Ⅱ)gx)=x∈(0,+∞),讨论函数gx)的单调性与极值;
(Ⅲ)若k∈Z,且fx)+(3x2﹣5x﹣2k)≥0 对任意x∈R恒成立,求k的最大值.
共享时间:2014-06-13 难度:2 相似度:1.5
231868. (2025•曲江二中•高二下一月) 已知函数fx)=x3+ax2+bx+cx=﹣x=1时都取得极值.求:
(1)求ab的值;
(2)若对x∈[﹣1,2],有fx)<c2恒成立,求c的取值范围.
共享时间:2025-04-15 难度:2 相似度:1.5
231960. (2025•西安八十三中•高二下一月) 已知函数x=﹣3处取得极大值为9.
(1)求ab的值;
(2)求函数fx)在区间[﹣3,3]上的最大值.
共享时间:2025-04-16 难度:2 相似度:1.5

dygzsxyn

2023-12-17

高中数学 | 高三上 | 解答题

  • 下载量
  • 浏览量
  • 收益额
  • 0
  • 10
  • 0
相同试题
试题下载
试题内容
调用试题名称
共享人
唐老师
试题题型
解答题
试题难度
试题题源
2020*西工大*期末
下载次数
168次
下载金币
5德优币(当前结余18德优币)
温馨提示
该试题下载至自主题库后,下载、备课永久免费!
试卷设置
试卷名称
省市校区
阶段科目
年份卷型
选择类型
已选考点
在线训练
视频讲解
温馨提示
视频讲解正在加载中、请等待!
温馨提示
对不起!这是别人共享的试题,需要下载到自主题库后,可将该试题添加到白板
视频解析购买
支付方式
德优币数
本次消耗0德优币
温馨提示

客服电话:400-816-0029,服务邮箱:610066832@qq.com

视频资源

试题找茬
纠错类型
纠错描述
温馨提示
共享试题、试卷经平台审核通过后方可展示,并永久享用用户下载分红权!