服务热线
搜题▪组卷
试卷总分:126分 命题人:dygzsxyn 考试时长:120分钟
| A.充分而不必要条件 | B.必要不充分条件 |
| C.充分必要条件 | D.既不充分也不必要条件 |
| A.(5,﹣6) |
B. |
| C.(10,﹣12) |
D. |
A.在统计学中,回归分析是检验两个分类变量是否有关系的一种统计方法
B.线性回归方程对应的直线
=
x+
至少经过其样本数据点(x1,y1),(x2,y2),(x3,y3),(xn,yn)中的一个点
C.在残差图中,残差点分布的带状区域的宽度越狭窄,其模型拟合的精度越高
D.在回归分析中,相关指数R2为0.98的模型比相关指数R2为0.80的模型拟合的效果差
| P(K2≥k0) | 0.05 | 0.01 |
| k0 | 3.841 | 6.635 |
| A.24人 | B.22人 |
| C.20人 | D.18人 |

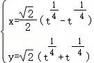
(t为参数).在以原点为极点,x轴的正半轴为极轴的极坐标系中,曲线C2的极坐标方程为| 教师评分(满分12分) | 11 | 10 | 9 |
| 各分数所占比例 |
dygzsxyn
2021-05-29
高中数学 | 段考 | 难度:1.18
| 下载试卷 | 收藏 |
| 平行组卷 | 细目重组 |
| 试卷分析 | 加入白板 |
| 加卷篮 | 更多功能 |
平行组卷卷生成中,请等待