首页 | 客服 | 上传赚现
AI助手
德优题库AI助手

AI助手

搜题▪组卷

(1)

服务热线

400-816-0029

    自建题库,共享分红

德优题库QQ交流群

237427. (2021•铁一中学•高二下期中) 在直角坐标系xOy中,曲线C1的参数方程为t为参数).在以原点为极点,x轴的正半轴为极轴的极坐标系中,曲线C2的极坐标方程为
(1)求曲线C1和曲线C2的直角坐标方程;
(2)若曲线C2与曲线C1交于点ABM(﹣2,2),求的值.
共享时间:2021-05-29 难度:1
[考点]
参数方程化成普通方程,
[答案]
(1)xy+4=0;(2)
[解析]
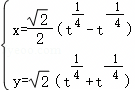
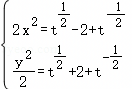
解:(1)曲线C1的参数方程为t为参数).整理得
两式相减得:

曲线C2的极坐标方程为,根据,转换为直角坐标方程为:
xy+4=0,
(2)由于点M(﹣2,2)满足直线的方程,
故转换为参数方程为t为参数),
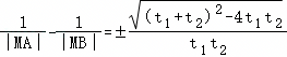
把直线的参数式代入
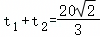
得到:
所以

[点评]
本题考查了"参数方程化成普通方程,",属于"常考题",熟悉题型是解题的关键。
转载声明:
本题解析属于发布者收集录入,如涉及版权请向平台申诉! !版权申诉
168783. (2021•西安中学•八模) 在平面直角坐标系xOy中,已知曲线C的参数方程为t>0,α为参数).以坐标原点O为极点,x轴的正半轴为极轴,取相同的长度单位建立极坐标系,直线l的极坐标方程为
(1)当t=1时,求曲线C上的点到直线l的距离的最大值;
(2)若曲线C上的所有点都在直线l的下方,求实数t的取值范围.
共享时间:2021-06-19 难度:1 相似度:2
168415. (2021•西安中学•十模) 在平面直角坐标系xOy中,曲线C的参数方程为(β为参数),以坐标原点O为极点,x轴的正半轴为极轴建立极坐标系.
(1)求曲线C的极坐标方程:
(2)若点MN为曲线C上两点,且满足,求的最大值.
共享时间:2021-07-03 难度:1 相似度:2
168175. (2023•西工大附中•八模) 在平面直角坐标系xOy中,曲线C的参数方程是(φ为参数).以直角坐标系的原点O为极点,x轴的正半轴为极轴建立极坐标系,已知直线l的极坐标方程为2ρcos(θ+)﹣1=0.
(1)求直线l的直角坐标方程和曲线C的普通方程;
(2)若直线lx轴交于点P,与曲线C分别交于AB两点,求|PA|•|PB|的值.
共享时间:2023-06-15 难度:1 相似度:2
168198. (2023•西工大附中•八模) 在平面直角坐标系xOy中,曲线C的参数方程是(φ为参数).以直角坐标系的原点O为极点,x轴的正半轴为极轴建立极坐标系,已知直线l的极坐标方程为2ρcos(θ+)﹣1=0.
(1)求直线l的直角坐标方程和曲线C的普通方程;
(2)若直线lx轴交于点P,与曲线C分别交于AB两点,求|PA|•|PB|的值.
共享时间:2023-06-11 难度:1 相似度:2
168231. (2021•西安中学•四模) 已知在平面直角坐标系xOy中,直线l的参数方程为t为参数),曲线C1的方程为x2+y2x=0,以坐标原点为极点,x轴的正半轴为极轴建立极坐标系.
(1)求直线l和曲线C1的极坐标系方程;
(2)曲线C2:θ=α(ρ>0,0<α<)分别交直线l和曲线C1MN,求+|ON|的最大值.
共享时间:2021-04-28 难度:1 相似度:2
168254. (2021•西安中学•五模) .在平面直角坐标系xOy中,曲线C的参数方程为(φ为参数).
(Ⅰ)以坐标原点O为极点,x轴的正半轴为极轴建立极坐标系,求曲线C的极坐标方程;
(Ⅱ)若射线θ=α与曲线C有两个不同的交点AB,求的取值范围.
共享时间:2021-05-01 难度:1 相似度:2
168277. (2021•西安中学•五模) 在平面直角坐标系xOy中,倾斜角为的直线l的参数方程为t为参数).以坐标原点为极点,以x轴的正半轴为极轴,建立极坐标系,曲线C的极坐标方程是ρsin2θ﹣4cosθ=0.
(Ⅰ)写出直线l的普通方程和曲线C的直角坐标方程;
(Ⅱ)若直线l经过曲线C的焦点F且与曲线C相交于AB两点,设线段AB的中点为Q,求|FQ|的值.
共享时间:2021-05-15 难度:1 相似度:2
168300. (2022•西工大附中•一模) 已知心形线是由一个圆上的一个定点,当该圆绕着与其相切且半径相同的另外一个圆周上滚动时,这个定点的轨迹,因为其形状像心的形状而得名.在极坐标系Ox中,方程ρ=a(1﹣sinθ)(a>0)表示的曲线C1就是一条心形线,如图,以极轴Ox所在直线为x轴,极点O为坐标原点的直角坐标系xOy中,已知曲线C2的参数方程为t为参数).
(1)求曲线C2的极坐标方程;
(2)求曲线C1C2交点个数.

共享时间:2022-03-12 难度:1 相似度:2
168323. (2021•西安中学•十模) 在直角坐标系xOy中,曲线C的参数方程为(θ为参数),以坐标原点为极点,x轴正半轴为极轴建立极坐标系,直线l的极坐标方程为ρcos()=
(1)求直线l的直角坐标方程和曲线C的普通方程;
(2)直线l与曲线C交于MN两点,设点P的坐标为(0,﹣2),求|PM|2+|PN|2的值.
共享时间:2021-07-10 难度:1 相似度:2
168346. (2022•长安区一中•三模) 在直角坐标系xOy中,曲线C的参数方程为t为参数).以坐标原点O为极点,x轴的非负半轴为极轴建立极坐标系,直线l的极坐标方程为ρcosθ﹣ρsinθ﹣4=0.
(1)求Cl的直角坐标方程;
(2)若P为曲线C上任意一点,直线lx轴、y轴的交点分别为AB,求△PAB面积的最大值.
共享时间:2022-04-07 难度:1 相似度:2
168369. (2022•长安区一中•三模) 在直角坐标系xOy中,曲线C的参数方程为t为参数).以坐标原点O为极点,x轴的非负半轴为极轴建立极坐标系,直线l的极坐标方程为ρcosθ﹣ρsinθ﹣4=0.
(1)求Cl的直角坐标方程;
(2)若P为曲线C上任意一点,直线lx轴、y轴的交点分别为AB,求△PAB面积的最大值.
共享时间:2022-04-05 难度:1 相似度:2
168438. (2021•西安中学•七模) 在平面直角坐标系xOy中,曲线C1的参数方程为t为参数),以坐标原点O为极点,x轴正半轴为极轴建立极坐标系,曲线C2的极坐标方程为
(1)求曲线C1的普通方程和C2的直角坐标方程;
(2)设点P是曲线C1C2的公共点,求圆心在极轴上,且经过极点和点P的圆的极坐标方程.
共享时间:2021-06-06 难度:1 相似度:2
168106. (2023•西工大附中•十三模) 在极坐标系中,曲线C的极坐标方程是ρ=4acosθ(a>0),以极点O为原点,极轴为x轴正半轴建立平面直角坐标系,直线l的参数方程为t为参数).直线l与曲线C交于MN两点.
(1)求曲线C的参数方程与直线l的普通方程;
(2)若SOMN=2,求实数a的值.
共享时间:2023-07-20 难度:1 相似度:2
168461. (2021•西安中学•七模) 在直角坐标系xOy中,曲线C的参数方程为(α为参数),直线l的方程为ykx,以坐标原点O为极点,x轴正半轴为极轴建立极坐标系.
(1)求曲线C的极坐标方程;
(2)曲线C与直线l交于AB两点,若|OA|+|OB|=2,求k的值.
共享时间:2021-06-02 难度:1 相似度:2
168484. (2021•西安中学•三模) 在平面直角坐标系xOy中,直线l的参数方程为t为参数),以坐标原点为极点,x轴的正半轴为极轴建立极坐标系,曲线C的极坐标方程为ρ2,且直线l经过曲线C的左焦点F
(Ⅰ)求直线l的普通方程;
(Ⅱ)设曲线C的内接矩形的周长为L,求L的最大值.
共享时间:2021-04-14 难度:1 相似度:2

dygzsxyn

2021-05-29

高中数学 | 高二下 | 解答题

  • 下载量
  • 浏览量
  • 收益额
  • 0
  • 3
  • 0
相同试题
试题下载
试题内容
调用试题名称
共享人
唐老师
试题题型
解答题
试题难度
试题题源
2020*西工大*期末
下载次数
168次
下载金币
5德优币(当前结余18德优币)
温馨提示
该试题下载至自主题库后,下载、备课永久免费!
试卷设置
试卷名称
省市校区
阶段科目
年份卷型
选择类型
已选考点
在线训练
视频讲解
温馨提示
视频讲解正在加载中、请等待!
温馨提示
对不起!这是别人共享的试题,需要下载到自主题库后,可将该试题添加到白板
视频解析购买
支付方式
德优币数
本次消耗0德优币
温馨提示

客服电话:400-816-0029,服务邮箱:610066832@qq.com

视频资源

试题找茬
纠错类型
纠错描述
温馨提示
共享试题、试卷经平台审核通过后方可展示,并永久享用用户下载分红权!