首页 | 客服 | 上传赚现
AI助手
德优题库AI助手

AI助手

搜题▪组卷

(1)

服务热线

400-816-0029

    自建题库,必找德优

德优题库QQ交流群

首页 > 试卷详情
德优网2016陕西省西安市碑林区西北大附中高中数学段考期末高二下

2015-2016学年陕西西北大学附中高二(下)期末数学试卷(文科)

试卷总分:120分    命题人:dygzsxyn    考试时长:120分钟

一、选择题(10小题共0分)
1. (本题4分) 已知集合A={y|y﹣2>0},集合B={x|x2﹣2x≤0},则AB等于(  )
A.[0,+∞)                     B.(﹣∞,2]
C.[0,2)∪(2,+∞)            D..∅
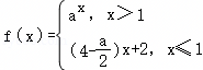
2. (本题4分) 已知函数fx)=,若f[f(0)]=4a,则实数a等于(  )
A.         B.         
C..2        D.9
3. (本题4分) 下列函数中,既是偶函数又在区间(0,+∞)上单调递减的是(  )
A.y=﹣x2+1 
B.ylg|x
C.   
D.yex
4. (本题4分) 以下有关命题的说法错误的是(  )

A.命题“若x2﹣3x+2=0,则x=1”的逆否命题为“若x≠1,则x2﹣3x+2≠0”  

B.x=1是x2﹣3x+2=0的充分不必要条件

C.若“pq”为假命题,则非p为真命题 

D..对于命题p:存在x>0,使得x2﹣3x+2<0,则非p:任意x≤0,使x2﹣3x+2≥0

5. (本题4分) 已知函数fx)=sin(2x+),为了得到gx)=sin2x的图象,则只需将fx)的图象(  )
A.向右平移个长度单位
B..向右平移个长度单位 
C..向左平移个长度单位 
D..向左平移个长度单位
6. (本题4分) 若tanα=,则=(  )
A.      
B..﹣     
C..﹣    
D.
7. (本题4分) 若方程2ax2x﹣1=0在(0,1)内恰有一个零点,则有(  )
A.a<﹣1    
B.a>1     
C..﹣1<a<1  
D.0≤a<1
8. (本题4分) 设2a=5bm,且,则m=(  )
A.      
B..10       
C..20      
D..100
9. (本题4分) 已知sinθ+cosθ=,θ∈(0,π),则tanθ=(  )
A.     
B.       
C.    
D.
10. (本题4分) 已知函数,若abc互不相等,且fa)=fb)=fc),则abc的取值范围是(  )
A.(1,10)   B.(5,6)    
C.(10,12)  D.(20,24)
二、填空题(5小题共0分)
11. (本题4分) 函数y的定义域为     
12. (本题4分) 已知yfx)是奇函数,若gx)=fx)+2且g(1)=1,则g(﹣1)=     
13. (本题4分) 函数y=2sin(x)的单调递减区间为              
14. (本题5分) abc,则abc将用”<”连接得    
15. (本题4分) 已知R上的单调递增函数,则实数a的取值范围是           
三、解答题(7小题共0分)
16. (本题10分) 已知a>0,设命题p:函数yax在R上调单调递增;q:不等式ax2ax+1>0对任意x∈R恒成立,若“pq为真,pq为假,求a的取值范围.
17. (本题10分) 若二次函数fx)的图象经过点(4,3),其在x轴上截得的线段长为2,并且对任意的x∈R,都有f(2﹣x)=fx+2).
(1)求fx)的解析式.
(2)若不等式fx)>2x+mx∈[﹣1,1]上恒成立,求实数m的取值范围.
18. (本题10分) 已知函数fx)=2+log3xx∈[1,9].
(1)求fx)的值域;
(2)求函数yfx2)+[fx)]2的定义域及值域.
19. (本题10分) 已知函数fx)=Asin(ωx+φ),x∈R(其中)的图象与x轴的交点中,相邻两个交点之间的距离为,且图象上一个最低点为
(Ⅰ)求fx)的解析式;
(Ⅱ)当,求fx)的值域.
20. (本题0分) 设奇函数fx)的定义域为[﹣5,5],当x∈[0,5]时,函数yfx)的图象如图所示,则使函数值y<0的x的取值集合为       

21. (本题0分) .函数fx)是定义在R上的偶函数,其图象关于直线x=1对称,若f(1)=2016,则f(2015)=        
22. (本题0分) .函数fx)对任意的ab∈R,都有fa+b)=fa)+fb)﹣1,并且当x>0时fx)>1,
(1)求证:fx)在R上是增函数;
(2)若f(2)=3,解不等式f(3m2m﹣2)<3.
转载声明:
本题解析属于发布者收集录入,如涉及版权请向平台申诉! !版权申诉
温馨提示
对不起!这是别人共享的试卷,需要下载到自主题库后,可将该试卷添加到白板
试题下载
试题内容
调用试题名称
共享人
唐老师
试题题型
解答题
试题难度
试题题源
2020*西工大*期末
下载次数
168次
下载金币
5德优币(当前结余18德优币)
温馨提示
该试题下载至自主题库后,下载、备课永久免费!
相似题
德优题库校正考点说明
操作步骤
领取试卷→修改考点→完成任务→领取赚现
试卷设置
试卷名称
省市校区
阶段科目
年份卷型
选择类型
已选考点
在线训练
可见权限
会员看题 会员看题和答案
试卷下载
试卷名称
调用试卷名称
共享人
唐老师
试卷卷型
1111
试卷难度
试卷来源
2020*西工大*期末
下载次数
168次
下载金币
5德优币(当前结余18德优币)
温馨提示
该试卷下载至自主题库后,下载、备课永久免费!
组卷付费
试卷名称
调用试卷名称
试卷来源
唐老师
试卷形式
全选 卷主 序号 卷型 难度 年份 省市区 题源 金币 操作
8 选择题 2018年 陕西 真题 2币 查看
8 选择题 2018年 陕西 真题 2币 查看
8 选择题 2018年 陕西 真题 2币 查看
8 选择题 2018年 陕西 真题 2币 查看
8 选择题 2018年 陕西 真题 2币 查看
8 选择题 2018年 陕西 真题 2币 查看
下载金币
5德优币(当前结余18德优币)
温馨提示
该试卷下载至自主题库后,下载、备课永久免费!
试题找茬
纠错类型
纠错描述
温馨提示
共享试题、试卷经平台审核通过后方可展示,并永久享用用户下载分红权!
平行组卷明细
2015-2016学年陕西西北大学附中高二(下)期末数学试卷(文科)的细目表
  • 题号
  • 考点
  • 操作
  • 1
  • 并集及其运算,
  • 查看
  • 2
  • 分段函数的应用,
  • 查看
  • 3
  • 函数的单调性,函数的奇偶性,求对数函数及对数型复合函数的单调性,
  • 查看
  • 4
  • 命题的真假判断与应用,
  • 查看
  • 5
  • 三角函数的周期性,
  • 查看
  • 6
  • 三角函数的恒等变换及化简求值,
  • 查看
  • 7
  • 函数的零点,
  • 查看
  • 8
  • 指数式与对数式的互化,对数的运算性质,
  • 查看
  • 9
  • 同角三角函数间的基本关系,
  • 查看
  • 10
  • 分段函数的应用,
  • 查看
  • 11
  • 函数的定义域及其求法,
  • 查看
  • 12
  • 奇函数偶函数的性质,
  • 查看
  • 13
  • 正弦函数的单调性,
  • 查看
  • 14
  • 利用导数研究函数的单调性,
  • 查看
  • 15
  • 由指数函数的单调性求解参数,
  • 查看
  • 16
  • 复合命题及其真假,
  • 查看
  • 17
  • 二次函数的性质与图象,函数恒成立问题,
  • 查看
  • 18
  • 函数的定义域及其求法,函数的值域,
  • 查看
  • 19
  • 正弦函数的定义域和值域,
  • 查看
  • 20
  • 函数的图象与图象的变换,
  • 查看
  • 21
  • 函数的奇偶性,抽象函数的周期性,
  • 查看
  • 22
  • 抽象函数的周期性,
  • 查看
细目重组明细
2015-2016学年陕西西北大学附中高二(下)期末数学试卷(文科)的细目表
  • 题号
  • 考点
  • 选题
  • 1
  • 并集及其运算,
  • 查看
  • 2
  • 分段函数的应用,
  • 查看
  • 3
  • 函数的单调性,函数的奇偶性,求对数函数及对数型复合函数的单调性,
  • 查看
  • 4
  • 命题的真假判断与应用,
  • 查看
  • 5
  • 三角函数的周期性,
  • 查看
  • 6
  • 三角函数的恒等变换及化简求值,
  • 查看
  • 7
  • 函数的零点,
  • 查看
  • 8
  • 指数式与对数式的互化,对数的运算性质,
  • 查看
  • 9
  • 同角三角函数间的基本关系,
  • 查看
  • 10
  • 分段函数的应用,
  • 查看
  • 11
  • 函数的定义域及其求法,
  • 查看
  • 12
  • 奇函数偶函数的性质,
  • 查看
  • 13
  • 正弦函数的单调性,
  • 查看
  • 14
  • 利用导数研究函数的单调性,
  • 查看
  • 15
  • 由指数函数的单调性求解参数,
  • 查看
  • 16
  • 复合命题及其真假,
  • 查看
  • 17
  • 二次函数的性质与图象,函数恒成立问题,
  • 查看
  • 18
  • 函数的定义域及其求法,函数的值域,
  • 查看
  • 19
  • 正弦函数的定义域和值域,
  • 查看
  • 20
  • 函数的图象与图象的变换,
  • 查看
  • 21
  • 函数的奇偶性,抽象函数的周期性,
  • 查看
  • 22
  • 抽象函数的周期性,
  • 查看
视频讲解
温馨提示
视频讲解正在加载中、请等待!
视频解析购买
支付方式
德优币数
本次消耗0德优币
温馨提示

客服电话:400-816-0029,服务邮箱:610066832@qq.com

视频资源

选择考点
存放类型
已选考点

平行组卷卷生成中,请等待

组卷异常提醒
温馨提示
试题篮存在未完成组卷,请前往组卷页面-组卷管理,点击“完成组卷”后,方可修改或添加试卷!
试题改考点
原考点
选择新考点
试题