一、选择题(10小题共40分)
1.
(本题4分)
已知集合A={x|1<x≤3},B={x|x<4,x∈Z},则A∩B=( )
A.(2,3)
B.[2,3]
C.{2,3}
D.{2,3,4}
2.
(本题4分)
下列函数中,在R上的单调递增的是( )
A.y=|x|
B.y=x3
C.y=log2x
D.
3.
(本题4分)
在映射f:A→B中,A=B={(x,y)|x,y∈R},且f:(x,y)→(x﹣y,x+y),则B中元素(﹣1,2)在f作用下的原像是( )
A.
B.(﹣3,1)
C.(﹣1,2)
D.
4.
(本题4分)
函数f(x)=
+lg(x+1)的定义域为( )
A.(﹣1,1)
B.(﹣1,+∞)
C.(1,+∞)
D.(﹣∞,1)
5.
(本题4分)
设函数f(x)=
,则f(f(3))的值是( )
6.
(本题4分)
设a=20.3,b=0.32,c=log20.3,则a,b,c的大小关系是( )
A.a<b<c
B.b<c<a
C.c<a<b
D.c<b<a
7.
(本题4分)
函数f(x)=2x+3x的零点所在的一个区间是( )
A.(﹣2,﹣1)
B.(﹣1,0)
C.(0,1)
D.(1,2)
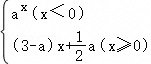
8.
(本题4分)
已知函数f(x)=
是增函数,则a的取值范围是( )
|
A.(1,2)
|
B.(1,3)
|
|
C.(2,3)
|
D.[2,3)
|
9.
(本题4分)
如图,函数f(x)的图象为折线ACB,则不等式f(x)≥log2(x+1)的解集是( )
A.{x|﹣1<x≤0}
B.{x|﹣1≤x≤1}
C.{x|﹣1<x≤1}
D.{x|﹣1<x≤2}
10.
(本题4分)
已知f(x),g(x)均为奇函数,且F(x)=af(x)+bg(x)+2在(﹣∞,0)上的最小值是﹣1,则函数F(x)在(0,+∞)上的最大值是( )