首页 | 客服 | 上传赚现
AI助手
德优题库AI助手

AI助手

搜题▪组卷

(1)

服务热线

400-816-0029

    自建题库,共享分红

德优题库QQ交流群

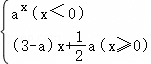
237963. (2015•师大附中•高一上期中) 已知函数fx)=是增函数,则a的取值范围是(  )
A.(1,2)   
B.(1,3)    
C.(2,3)   
D.[2,3)
共享时间:2015-11-17 难度:1
[考点]
由函数的单调性求解函数或参数,
[答案]
D
[解析]
解:若函数fx)=是增函数,
,解得:2≤a<3,
故选:D
[点评]
本题考查了"由函数的单调性求解函数或参数,",属于"基础题",熟悉题型是解题的关键。
转载声明:
本题解析属于发布者收集录入,如涉及版权请向平台申诉! !版权申诉
233032. (2023•西安二中•高三上四月) 已知函数fx)=exax2,定义域为[1,2],且对∀x1x2∈(1,2),当x1x2时都有恒成立,则实数a的取值范围为(  )
A.             
B. 
C.                 
D.
共享时间:2023-02-24 难度:1 相似度:2
170017. (2023•西工大附中•高三上期末) 设函数fx)满足f(﹣x)=fx),且∀x1x2∈(0,+∞)(x1x2)有(x1x2)[fx1)﹣fx2)]>0,则(  )

A.f(﹣2)<f(﹣3)<f(1)  

C.f(﹣3)<f(﹣2)<f(1)                                 

B.f(﹣1)<f(﹣2)<f(3)    

D.f(﹣1)<f(3)<f(﹣2)

共享时间:2023-02-04 难度:1 相似度:2
171556. (2023•滨河中学•高一上期中) 已知函数,满足对任意x1x2,都有成立,则a的取值范围是(  )

A.(0,1)   

C.  

B. 

D.

共享时间:2023-11-16 难度:1 相似度:2
171814. (2022•西安中学•高一上期中) 已知函数是(﹣∞,+∞)上的减函数,则实数a的取值范围是(  )

A.[0,]   

C..[0,+∞)

B.(﹣∞,0]   

D.(﹣]

共享时间:2022-11-28 难度:1 相似度:2
170961. (2024•曲江二中•高一上期中) 若函数R上的单调函数,则实数a取值范围为(  )

A.(1,+∞) 

C.(1,8)    

B..(4,8)

D..[4,8)

共享时间:2024-11-24 难度:1 相似度:2
170959. (2024•曲江二中•高一上期中) 设函数,则不等式fx)>f(1)的解集是(  )

A.(﹣∞,﹣4)∪(1,+∞)      

C.(﹣∞,﹣2)∪(1,+∞)                                   

B.(﹣∞,﹣4)∪(2,+∞)      

D.(﹣∞,﹣2)∪(2,+∞)

共享时间:2024-11-24 难度:1 相似度:2
171816. (2022•西安中学•高一上期中) 下列函数中,在其定义域上为单调递减的函数是(  )
A.y=﹣2x+1                  
B.yx2+1 
C.              
D.
共享时间:2022-11-28 难度:1 相似度:2
170331. (2022•长安区一中•高一上期末) 函数fx)=﹣x3,若bf(log32),,则(  )
A.abc   
B.bac    
C.acb   
D.cba
共享时间:2022-02-23 难度:1 相似度:2
171904. (2022•长安区一中•高一上期中) 已知函数在区间(﹣2,+∞)上单调递增,则ab的取值可以是(  )
A.a=1,
B.a>4,b=2
C.a=﹣1,b=2                    
D.a=2,b=﹣1
共享时间:2022-11-19 难度:1 相似度:2
172061. (2022•铁一中学•高一上期中) 已知函数fx)=R上的减函数,则实数a的取值范围是(  )

A.(0,2)

C.(0,2]         

B.(0,3)   

D..(0,3]

共享时间:2022-11-18 难度:1 相似度:2
170222. (2023•西安三中•高二下期末) 如果函数yfx)在区间I上是减函数,且函数y在区间I上是增函数,那么称函数yfx)是区间I上的“可变函数”,区间I叫作“可变区间”.若函数fx)=x2﹣4x+2是区间I上的“可变函数”,则“可变区间”I为(  )

A.[]                    

C.(﹣∞,]和[,2]                                     

B.(0,]                     

D.[1,]

共享时间:2023-07-07 难度:1 相似度:2
172100. (2022•高新一中•高一上期中) 定义在R上函数fx)满足:∀x1x2x1x2),有(x1x2)(fx1)﹣fx2))<0,则下列关系式一定成立的是(  )

A.fa﹣3)>fa2)            

C.fa)>f(2a

B.         

D.f(π0.3)>f(0.3π

共享时间:2022-11-15 难度:1 相似度:2
172104. (2022•高新一中•高一上期中) 下列函数中在[1,4]单调递增的有(  )

A. 

B.

C.y  

D.y=|x﹣3|

共享时间:2022-11-15 难度:1 相似度:2
171409. (2023•长安区一中•高一上期中) 若函数yfx)在其定义域D的某个子区间M上单调递增,且M上单调递减,则称fx)在M上是“弱增函数”,则(  )

A.fx)=x2,则不存在区间M使fx)为“弱增函数”  

B.,则存在区间M使fx)为“弱增函数”  

C.,则fx)为(0,+∞)上的“弱增函数”

D.fx)=x2+(4﹣ax+a在区间(0,2]上是“弱增函数”,则a=4

共享时间:2023-11-15 难度:1 相似度:2
169241. (2025•西工大附中•高一上期末) 已知是(﹣∞,+∞)上的减函数,那么a的取值范围是(  )

A.  

C.

B.(0,1)      

D.(1,+∞)

共享时间:2025-02-26 难度:1 相似度:2

dygzsxyn

2015-11-17

高中数学 | 高一上 | 选择题

  • 下载量
  • 浏览量
  • 收益额
  • 0
  • 3
  • 0
相同试题
试题下载
试题内容
调用试题名称
共享人
唐老师
试题题型
解答题
试题难度
试题题源
2020*西工大*期末
下载次数
168次
下载金币
5德优币(当前结余18德优币)
温馨提示
该试题下载至自主题库后,下载、备课永久免费!
试卷设置
试卷名称
省市校区
阶段科目
年份卷型
选择类型
已选考点
在线训练
视频讲解
温馨提示
视频讲解正在加载中、请等待!
温馨提示
对不起!这是别人共享的试题,需要下载到自主题库后,可将该试题添加到白板
视频解析购买
支付方式
德优币数
本次消耗0德优币
温馨提示

客服电话:400-816-0029,服务邮箱:610066832@qq.com

视频资源

试题找茬
纠错类型
纠错描述
温馨提示
共享试题、试卷经平台审核通过后方可展示,并永久享用用户下载分红权!