服务热线
搜题▪组卷
试卷总分:116分 命题人:dygzsxyn 考试时长:120分钟

A.若函数f(x)的定义域为(1,4),则函数f(x2)的定义域为(﹣2,﹣1)∪(1,2)
B.y=x+1和
表示同一函数
C.定义在R上的偶函数f(x)在(﹣∞,0)和(0,+∞)上具有相反的单调性
D.若关于x的不等式ax2+bx+2>0恒成立,则b2﹣8a<0
A.使关于x的方程x2+(a2﹣1)x+a﹣2=0的一根比1大且另一根比1小,则a的取值范围是﹣2<a<1
B.x2﹣kx+k﹣1<0在(1,2)上恒成立,则实数k的取值范围是k≥3
C.关于x的不等式ax﹣b>0的解集是(1,+∞),则关于x的不等式
的解集是{x|x<﹣1或x>2}
D.若不等式ax2+bx+c>0的解集为{x|x<﹣2或x>4},则abc<0
A.函数
在定义域内是减函数
B.若g(x)是奇函数,则一定有g(0)=0
C.若定义在R上的函数f(x)的值域为[﹣1,2],则f(2x﹣1)的值域为[﹣1,2]
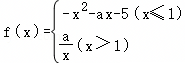
D.若函数
在(﹣∞,+∞)上是增函数,则a的取值范围是(﹣∞,﹣2]
dygzsxyn
2023-10-24
高中数学 | 段考 | 难度:1.23
| 下载试卷 | 收藏 |
| 平行组卷 | 细目重组 |
| 试卷分析 | 加入白板 |
| 加卷篮 | 更多功能 |
平行组卷卷生成中,请等待