首页 | 客服 | 上传赚现
AI助手
德优题库AI助手

AI助手

搜题▪组卷

(1)

服务热线

400-816-0029

    自建题库,共享分红

德优题库QQ交流群

231974. (2024•师大附中•高一下二月) 已知正方体ABCDA1B1C1D1中,MN分别为CC1C1D的中点,则(  )

A.直线MNA1C所成角的余弦值为

B..平面BMN与平面BC1D1夹角的余弦值为

C.BC1上存在点Q,使得B1QBD1

D.B1D上存在点P,使得PA∥平面BMN

共享时间:2024-06-19 难度:3
[考点]
异面直线及其所成的角,直线与平面平行,空间向量法求解二面角及两平面的夹角,
[答案]
BC
[解析]
解:以D为坐标原点,建立如图所示的空间直角坐标系,
设正方体的棱长为1,

所以A(1,0,0),D(0,0,0),B(1,1,0),C(0,1,0),A1(1,0,1),
D1(0,0,1),B1(1,1,1),C1(0,1,1),
对于A
直线MNA1C所成角的余弦值为:
,故A错误;
对于B
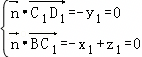
设平面BMN的法向量为
则由,可得
x=1,可得y=0,z=2,所以

设平面BC1D1的法向量为
则由,可得
x1=1,可得y1=0,z1=1,所以
则平面BMN与平面BC1D1夹角的余弦值为:
,故B正确;
对于C,因为QBC1上,设Qx0,1,z0),
所以,0≤λ≤1,

所以x0=λ,z0=﹣λ+1,所以Q(λ,1,﹣λ+1),

所以,解得
BC1上存在点,使得B1QBD1,故C正确;
对于D,因为MNDCAB,所以NMBA四点共面,
A∈平面BMN
所以B1D上不存在点P,使得PA∥平面BMN,故D错误.
故选:BC
[点评]
本题考查了"异面直线及其所成的角,直线与平面平行,空间向量法求解二面角及两平面的夹角,",属于"典型题",熟悉题型是解题的关键。
转载声明:
本题解析属于发布者收集录入,如涉及版权请向平台申诉! !版权申诉
233113. (2023•西安八十五中•高二上一月) 如图,四棱锥中,底面ABCD是正方形,SA⊥平面ABCDSAABOP分别是ACSC的中点,M是棱SD上的动点,则(  )

A.OMAP

B.存在点M,使OM∥平面SBC 

C..存在点M,使直线OMAB所成的角为30°

D..点M到平面ABCD与平面SAB的距离和为定值

共享时间:2023-10-28 难度:3 相似度:1.34
232192. (2024•铁一中学•高一下一月) 正月十五元宵节,中国民间有观赏花灯的习俗.在2024年元宵节,小明制作了一个“半正多面体”形状的花灯(图1).半正多面体是由两种或两种以上的正多边形围成的多面体,体现了数学的对称美.图2是一个棱数为24的半正多面体,它的所有顶点都在同一个正方体的表面上,且此正方体的棱长为2,关于该半正多面体的四个结论中正确结论的是(  )

A.棱长为

B.两条棱所在直线异面时,这两条异面直线所成角的大小是60°  

C.表面积为  

D.外接球的体积为

共享时间:2024-04-20 难度:2 相似度:0.83
232347. (2023•铁一中学•高二上一月) 已知棱长为a的正方体ABCDA1B1C1D1MB1C1中点,点P在正方体的表面上运动,且总满足MP垂直于MC,则下列结论正确的是(  )

A.P的轨迹中包含AA1的中点   

B.P在侧面AA1D1D内的轨迹的长为 

C.MP长度的最大值为  

D.直线CC1与直线MP所成角的余弦值的最大值为

共享时间:2023-10-22 难度:2 相似度:0.83
166516. (2024•城关中学•高二上二月) 在直三棱柱ABCA1B1C1中,∠BAC=90°,ABACAA1=2,EF分别是BCA1C1的中点,D在线段B1C1上,则下面说法中正确的有(  )

A.EF∥平面AA1B1B  

B.直线EF与平面ABC所成角的正弦值为

C.DB1C1的中点,若MB1A1的中点,则F到平面BDM的距离是   

D.直线BD与直线EF所成角最小时,线段BD长为

共享时间:2024-12-24 难度:3 相似度:0.66
169541. (2024•铁一中学•高二上期末) 如图,在正方体ABCDA1B1C1D1AB=2,P是正方形ABCD内部(含边界)的一个动点,则(  )

A.存在唯一点P,使得D1PB1C   

B.当点PAC上移动时,直线D1P与直线B1D所成角不变

C.直线D1P与平面ABCD所成角的最小值为  

D..当D1P=3时,点P的轨迹为圆的一部分

共享时间:2024-02-22 难度:3 相似度:0.66
232649. (2023•鄠邑二中•高二上一月) 如图,正方体ABCDA1B1C1D1的棱长为1,正方形ABCD的中心为O,棱CC1B1C1的中点分别为EF,则(  )

A.  

B.   

C..异面直线OD1EF所成角的余弦值为 

D..点F到直线OD1的距度为

共享时间:2023-10-11 难度:3 相似度:0.66
232885. (2024•交大附中•高一下二月) 如图,棱长为2的正方体ABCDA1B1C1D1中,点EFG分别是棱ADDD1CD的中点,则(  )

A.直线A1GC1E为异面直线  

B.直线A1G与平面DD1C1C所成角的正切值为

C..过点C1EF的平面截正方体的截面面积为  

D.三棱锥BAEF外接球的表面积为14π

共享时间:2024-06-19 难度:3 相似度:0.66
233201. (2023•长安区一中•高一下二月) 如图,已知正方体ABCDA1B1C1D1的棱长为1,则下列结论中正确的是(  )

A.E是直线AC上的动点,则D1E∥平面A1BC1 

B.E是直线BD1上的动点,F是直线BD上的动点,则EFAC

C..若E是△ABC内(包括边界)的动点,则直线D1E与平面ABC所成角的正切值的取值范围是 

D.E是平面BA1C1内的动点,则三棱锥D1AEC的体积为定值

共享时间:2023-06-23 难度:3 相似度:0.66
166461. (2024•铁一中学•高三上三月) 已知正方体ABCDA1B1C1D1的棱长为2,棱AB的中点为M,过点M作正方体的截面α,且B1D⊥α,若点N在截面α内运动(包含边界),则(  )

A.当|MN|最大时,MNBC所成的角为 

B.三棱锥A1BNC1的体积为定值

C.若|DN|=2,则点N的轨迹长度为2π

D.N∈平面A1BCD1,则BN+NC1的最小值为

共享时间:2024-01-29 难度:4 相似度:0.58
166517. (2024•城关中学•高二上二月) 在长方体ABCDA1B1C1D1中,|AB|=4cm,|BC|=|CC1|=2cmEF分别为ABCD的中点,P是线段A1B1(不含端点)上的任意一点,下述说法正确的是(  )

A.存在点P,使直线PE与平面PDF所成角取得最大值

B.存在点P,使直线PD与平面PEB所成角取得最大值

C.存在点P,使平面PDE与平面PFB的夹角取得最大值   

D.存在点P,使平面PDF与平面PEB的夹角取得最大值

共享时间:2024-12-24 难度:4 相似度:0.58
169623. (2024•西安三中•高二上期末) 如图,直三棱柱ABCA1B1C1中,ACBC=1,AA1=2,D是棱AA1的中点,DC1BD.则(  )

A.直线DC1BC所成角为90°

B.三棱锥DBCC1的体积为 

C.二面角A1BDC1的大小为60°

D..直三棱柱ABCA1B1C1外接球的表面积为6π

共享时间:2024-02-04 难度:4 相似度:0.58
171155. (2024•西安八十五中•高二上期中) 已知正方体ABCDA1B1C1D1的边长为2,EFGH分别为CC1BCCDBB1的中点,则下列结论正确的是(  )

A.B1GEF  

B.A1H∥平面AEF  

C.B1到平面AEF的距离为2

D.二面角EAFC的大小为

共享时间:2024-11-25 难度:4 相似度:0.58
232455. (2023•南开中学•高二上二月) 在正方体ABCDA1B1C1D1中,则(  )

A.直线A1C1与直线BD所成角为90°   

B..直线A1C1与平面A1BD所成角的正弦值为

C.二面角C1A1BD的余弦值为

D..如果AB=1,那么点C1到平面A1BD的距离为

共享时间:2023-12-28 难度:4 相似度:0.58
233315. (2023•西工大附中•高一下二月) 如图所示,在长方体ABCDA1B1C1D1中,BB1B1D1,点ECC1上的一个动点,若平面BED1交棱AA1于点F,给出下列命题,其中真命题的是(  )

A..四棱锥B1BED1F的体积恒为定值 

B..存在点E,使得B1D⊥平面BD1E

C.对于棱CC1上任意一点E,在棱AD上均有相应的点G,使得CG∥平面EBD1

D.存在唯一的点E,使得截面四边形BED1F的周长取得最小值

共享时间:2023-06-23 难度:4 相似度:0.58
233433. (2023•铁一中学•高一下二月) 在正三棱锥PABC中,DE分别是棱ACPB的中点,M是棱PC上的任意一点,则下列结论正确的是(  )

A.PBAC

B..异面直线DEAB所成角的余弦值是   

C.AM+MB的最小值是4  

D..三棱锥PABC内切球的半径是

共享时间:2023-06-22 难度:4 相似度:0.58

dygzsxyn

2024-06-19

高中数学 | 高一下 | 多选题

  • 下载量
  • 浏览量
  • 收益额
  • 0
  • 3
  • 0
相同试题
试题下载
试题内容
调用试题名称
共享人
唐老师
试题题型
解答题
试题难度
试题题源
2020*西工大*期末
下载次数
168次
下载金币
5德优币(当前结余18德优币)
温馨提示
该试题下载至自主题库后,下载、备课永久免费!
试卷设置
试卷名称
省市校区
阶段科目
年份卷型
选择类型
已选考点
在线训练
视频讲解
温馨提示
视频讲解正在加载中、请等待!
温馨提示
对不起!这是别人共享的试题,需要下载到自主题库后,可将该试题添加到白板
视频解析购买
支付方式
德优币数
本次消耗0德优币
温馨提示

客服电话:400-816-0029,服务邮箱:610066832@qq.com

视频资源

试题找茬
纠错类型
纠错描述
温馨提示
共享试题、试卷经平台审核通过后方可展示,并永久享用用户下载分红权!