首页 | 客服 | 上传赚现
AI助手
德优题库AI助手

AI助手

搜题▪组卷

(1)

服务热线

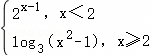
400-816-0029

    自建题库,必找德优

德优题库QQ交流群

首页 > 试卷详情
德优网2021陕西省西安市莲湖区西安一中高中数学考试期中高一上

2021-2022学年陕西省西安一中高一(上)期中数学试卷

试卷总分:80分    命题人:dygzsxyn    考试时长:120分钟

一、选择题(12小题共24分)
1. (本题2分) 设集合A={x|0≤x≤2},B={x∈N|1≤x≤3},则AB=(  )
A.{1,2}
B.{1,2,3}       
C..{x|1≤x≤2}
D..{x|0≤x≤3}
2. (本题2分) 设全集U={2,4,a2},集合A={4,a+3},∁UA={1},则a的取值为(  )
A.﹣3       
B..3        
C..﹣1     
D..1
3. (本题2分) .已知集合A={2,﹣2},B={x|x2ax+4=0},若ABA,则实数a满足(  )
A.a=4    
B.a=﹣4   
C..{﹣4,4}
D..{a|﹣4≤a≤4}
4. (本题2分) fx)=,则ff(2))的值为(  )
A..0        B..1        
C..2        D..3
5. (本题2分) .已知a=20.5b=log2c=0.5﹣2.1,则abc的大小关系为(  )
A.cba   
B.bca  
C.bac 
D.cab
6. (本题2分) .判断下面结论正确的个数是(  )
①函数的单调递减区间是(﹣∞,0)∪(0,+∞);
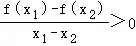
②对于函数fx),xD,若x1x2D,则函数fx)在D上是增函数;
③函数y=|x|是R上的增函数;
④已知fx+1)=x2+2x+2,则fx)=x2+1.
A.0         
B.1         
C..2       
D..3
7. (本题2分) 已知λ∈R,函数fx)=,函数fx)恰有2个零点,则λ的取值范围是(  )
A.(﹣∞,1]∪(4,+∞)          B..(1,3]∪(4,+∞)                                       
C.(1,3)∪[4,+∞)            D.(﹣∞,1)∪(4,+∞)
8. (本题2分) 函数fx)=的图像大致为(  )
A.           
B.
C.           
D.
9. (本题2分) 若关于x的方程4x﹣2xa有两个不相等实数根,则a的取值范围是(  )
A.(0,+∞) 
B.(﹣,+∞)                 
C..(﹣∞,)   
D..(﹣,0)
10. (本题2分) 已知fx)为定义在R上的奇函数,当x≥0时,有fx+1)=﹣fx),且当x∈[0,1)时,fx)=log2x+1),下列命题正确的是(  )

A.f(2021)+f(﹣2022)=0

B.函数fx)在定义域上是周期为2的函数

C.直线yx与函数fx)的图象有2个交点   

D.函数fx)的值域为[﹣1,1]

11. (本题2分) 根据《民用建筑工程室内环境污染控制标准》.文化娱乐场所室内甲醛浓度≤0.1mg/m3为安全范围.已知某新建文化娱乐场所施工过程中使用了甲醛喷剂,处于良好的通风环境下时,竣工1周后室内甲醛浓度为6.25mg/m3,3周后室内甲醛浓度为1mg/m3,且室内甲醛浓度ρ(t)(单位:mg/m3)与竣工后保持良好通风的时间tt∈N*)(单位:周)近似满足函数关系式ρ(t)=eat+b,则该文化娱乐场所竣工后的甲醛浓度若要达到安全开放标准,至少需要放置的时间为(  )
A.5周      
B.6周       
C.7周      
D..8周
12. (本题2分) 已知函数fx)是定义在R上的奇函数,当x<0时,fx)=2﹣|x+2|.若对任意的x∈[﹣1,2],fx+a)>fx)成立,则实数a的取值范围是(  )
A..(0,2)                    B.(0,2)∪(﹣∞,﹣6)                                       
C.(﹣2,0)                     D.(﹣2,0)∪(6,+∞)
二、填空题(4小题共16分)
13. (本题4分) .已知2a=3,则8a 27 a﹣log26=    
14. (本题4分) 直线y=1与曲线yx2﹣|x|+a有四个交点,则a的取值范围是     
15. (本题4分) lgalgb是方程2x2﹣4x+1=0的两个根,则    
16. (本题4分) 太阳光通过一层普通玻璃时,其中的紫外线只会损失原来强度的,而通过某型号的防紫外线玻璃则能将其中的紫外线过滤为原来强度的.设太阳光中原来的紫外线的强度为kk>0),则要达到上述型号的防紫外线玻璃的过滤效果,至少需要的普通玻璃层数为       .(参考数据:lg3≈0.477).
三、解答题(4小题共40分)
17. (本题10分) 已知集合A={x|1≤x≤4},B={x|log3x>1},全集为R
(1)A∩(∁RB);
(2)已知集合M={x|a+1<x<2a﹣1},若MAM,求实数a的取值范围.
18. (本题10分) 已知函数
(1)判断函数在区间[0,+∞)上的单调性,并用定义证明你的结论;
(2)若在R上是单调函数,求实数a的取值范围.
19. (本题10分) 已知函数fx)=为偶函数.
(1)求实数t值;
(2)记集合E={y|yfx),x∈{1,2,3}},λ=lg22+lg2lg5+lg5﹣1,判断λ与E的关系;
(3)当x∈[ab](a>0,b>0)时,若函数fx)的值域为[2﹣,2﹣],求实数ab的值.
20. (本题10分) 已知函数
(1)若实数a=﹣1,当x∈[﹣3,2]时,函数yfx)+m存在零点,求实数m的取值范围;
(2)定义在D上的函数fx),如果满足:对任意xD,存在常数M≥0,都有|fx)|≤M成立,则称fx)是D上的有界函数,其中M称为函数fx)的一个上界.若函数fx)在[0,+∞)上是以5为上界的有界函数,求实数a的取值范围.
转载声明:
本题解析属于发布者收集录入,如涉及版权请向平台申诉! !版权申诉
温馨提示
对不起!这是别人共享的试卷,需要下载到自主题库后,可将该试卷添加到白板
试题下载
试题内容
调用试题名称
共享人
唐老师
试题题型
解答题
试题难度
试题题源
2020*西工大*期末
下载次数
168次
下载金币
5德优币(当前结余18德优币)
温馨提示
该试题下载至自主题库后,下载、备课永久免费!
相似题
试卷设置
试卷名称
省市校区
阶段科目
年份卷型
选择类型
已选考点
在线训练
可见权限
会员看题 会员看题和答案
试卷下载
试卷名称
调用试卷名称
共享人
唐老师
试卷卷型
1111
试卷难度
试卷来源
2020*西工大*期末
下载次数
168次
下载金币
5德优币(当前结余18德优币)
温馨提示
该试卷下载至自主题库后,下载、备课永久免费!
组卷付费
试卷名称
调用试卷名称
试卷来源
唐老师
试卷形式
全选 卷主 序号 卷型 难度 年份 省市区 题源 金币 操作
8 选择题 2018年 陕西 真题 2币 查看
8 选择题 2018年 陕西 真题 2币 查看
8 选择题 2018年 陕西 真题 2币 查看
8 选择题 2018年 陕西 真题 2币 查看
8 选择题 2018年 陕西 真题 2币 查看
8 选择题 2018年 陕西 真题 2币 查看
下载金币
5德优币(当前结余18德优币)
温馨提示
该试卷下载至自主题库后,下载、备课永久免费!
试题找茬
纠错类型
纠错描述
温馨提示
共享试题、试卷经平台审核通过后方可展示,并永久享用用户下载分红权!
平行组卷明细
2021-2022学年陕西省西安一中高一(上)期中数学试卷的细目表
  • 题号
  • 考点
  • 操作
  • 1
  • 交集及其运算,
  • 查看
  • 2
  • 集合补集关系的应用,
  • 查看
  • 3
  • 并集及其运算,
  • 查看
  • 4
  • 函数的值,
  • 查看
  • 5
  • 对数值大小的比较,
  • 查看
  • 6
  • 命题的真假判断与应用,
  • 查看
  • 7
  • 分段函数的应用,
  • 查看
  • 8
  • 函数的图象与图象的变换,
  • 查看
  • 9
  • 函数的零点与方程根的关系,
  • 查看
  • 10
  • 函数的奇偶性,抽象函数的周期性,
  • 查看
  • 11
  • 根据实际问题选择函数类型,
  • 查看
  • 12
  • 函数的奇偶性,不等式恒成立的问题,
  • 查看
  • 13
  • 指数式与对数式的互化,对数的运算性质,
  • 查看
  • 14
  • 函数的零点与方程根的关系,
  • 查看
  • 15
  • 根与系数的关系,
  • 查看
  • 16
  • 根据实际问题选择函数类型,
  • 查看
  • 17
  • 交、并、补集的混合运算,集合交并补混合关系的应用,指、对数不等式的解法,
  • 查看
  • 18
  • 由函数的单调性求解函数或参数,
  • 查看
  • 19
  • 函数的奇偶性,
  • 查看
  • 20
  • 求指数函数及指数型复合函数的最值,函数与方程的综合运用,
  • 查看
细目重组明细
2021-2022学年陕西省西安一中高一(上)期中数学试卷的细目表
  • 题号
  • 考点
  • 选题
  • 1
  • 交集及其运算,
  • 查看
  • 2
  • 集合补集关系的应用,
  • 查看
  • 3
  • 并集及其运算,
  • 查看
  • 4
  • 函数的值,
  • 查看
  • 5
  • 对数值大小的比较,
  • 查看
  • 6
  • 命题的真假判断与应用,
  • 查看
  • 7
  • 分段函数的应用,
  • 查看
  • 8
  • 函数的图象与图象的变换,
  • 查看
  • 9
  • 函数的零点与方程根的关系,
  • 查看
  • 10
  • 函数的奇偶性,抽象函数的周期性,
  • 查看
  • 11
  • 根据实际问题选择函数类型,
  • 查看
  • 12
  • 函数的奇偶性,不等式恒成立的问题,
  • 查看
  • 13
  • 指数式与对数式的互化,对数的运算性质,
  • 查看
  • 14
  • 函数的零点与方程根的关系,
  • 查看
  • 15
  • 根与系数的关系,
  • 查看
  • 16
  • 根据实际问题选择函数类型,
  • 查看
  • 17
  • 交、并、补集的混合运算,集合交并补混合关系的应用,指、对数不等式的解法,
  • 查看
  • 18
  • 由函数的单调性求解函数或参数,
  • 查看
  • 19
  • 函数的奇偶性,
  • 查看
  • 20
  • 求指数函数及指数型复合函数的最值,函数与方程的综合运用,
  • 查看
视频讲解
温馨提示
视频讲解正在加载中、请等待!
视频解析购买
支付方式
德优币数
本次消耗0德优币
温馨提示

客服电话:400-816-0029,服务邮箱:610066832@qq.com

视频资源

选择考点
存放类型
已选考点

平行组卷卷生成中,请等待

组卷异常提醒
温馨提示
试题篮存在未完成组卷,请前往组卷页面-组卷管理,点击“完成组卷”后,方可修改或添加试卷!