首页 | 客服 | 上传赚现
AI助手
德优题库AI助手

AI助手

搜题▪组卷

(1)

服务热线

400-816-0029

    自建题库,共享分红

德优题库QQ交流群

237003. (2021•西安一中•高一上期中) .判断下面结论正确的个数是(  )
①函数的单调递减区间是(﹣∞,0)∪(0,+∞);
②对于函数fx),xD,若x1x2D,则函数fx)在D上是增函数;
③函数y=|x|是R上的增函数;
④已知fx+1)=x2+2x+2,则fx)=x2+1.
A.0         
B.1         
C..2       
D..3
共享时间:2021-11-27 难度:1
[考点]
命题的真假判断与应用,
[答案]
C
[解析]
解:对于①,假设①对,令yfx)=f(﹣1)=﹣1,f(1)=1,则f(﹣1)<f(1),﹣1<1,矛盾,所以①错;
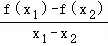
对于②,因为∀x1x2Dx1x2,有fx2)﹣fx1)=•(x2x1)>0,所以fx1)<fx2),所以函数fx)在D上是增函数,所以②对;
对于③,假设③对,令yfx)=|x|,f(﹣1)=1>f(0)=0,矛盾,所以③错;
对于④,令x+1=t,得ft)=t2+1,所以fx)=x2+1,所以④对.
故选:C
[点评]
本题考查了"命题的真假判断与应用,",属于"基础题",熟悉题型是解题的关键。
转载声明:
本题解析属于发布者收集录入,如涉及版权请向平台申诉! !版权申诉
167640. (2024•西安中学•一模) 将函数的图象上所有的点的横坐标缩短到原来的(纵坐标不变),再沿x轴向左平移个单位长度,所得图象对应的函数为gx).关于函数gx),现有如下命题:
①函数gx)的图象关于点对称;
②函数gx)在上是增函数:
③当时,函数gx)的值域为[﹣2,1];
④函数gx)是奇函数.
其中真命题的个数为(  )
A.1         
B.2         
C.3         
D..4
共享时间:2024-03-07 难度:1 相似度:2
168957. (2021•交大附中•四模) 已知函数fx)=sinx+sin(πx),现给出如下结论:①fx)是奇函数;②fx)是周期函数;③fx)在区间(0,π)上有三个零点;④fx)的最大值为2.其中所有正确结论的编号为(  )
A..①③    
B.②③       
C..②④    
D..①④
共享时间:2021-04-20 难度:1 相似度:2
168243. (2021•西安中学•五模) 函数的部分图象如图所示,给下列说法:
①函数fx)的最小正周期为π;
②直线为函数fx)的一条对称轴;
③点为函数fx)的一个对称中心;
④函数fx)的图象向右平移个单位后得到的图象.
其中不正确说法的个数是(  )

A.1         
B..2        
C..3       
D..4
共享时间:2021-05-01 难度:1 相似度:2
168447. (2021•西安中学•七模) 设有下列四个命题:
p1:两两相交且不过同一点的三条直线必在同一平面内.
p2:若直线l⊂平面a,直线m⊥平面a,则ml
p3:过空间中任意三点有且仅有一个平面.
p4:若空间两条直线不相交,则这两条直线平行.
则下述命题中为假命题的是(  )
A.p1p2     
B.p4∨¬p2  
C..¬p3p4 
D.p1p4
共享时间:2021-06-02 难度:1 相似度:2
168474. (2021•西安中学•三模) 如图,已知正方体ABCDA1B1C1D1的棱长为2,E为棱CC1的中点,F为棱AA1上的点,且满足A1FFA=1:2,点FBEGH为过BEF三点的面BMN与正方体ABCDA1B1C1D1的棱的交点,则下列说法错误的是(  )

A.HFBE  

B.三棱锥的体积 V=4 

C..直线MN与面A1B1BA的夹角是45°

D.D1GGC1=1:3

共享时间:2021-04-14 难度:1 相似度:2
168497. (2021•西安中学•三模) 如图所示,在直角梯形BCEF中,∠CBF=∠BCE=90°,AD分别是BFCE上的点,ADBC,且ABDE=2BC=2AF(如图1).将四边形ADEF沿AD折起,连结BEBFCE(如图2).在折起的过程中,下列说法中错误的个数是(  )

AC∥平面BEF
BCEF四点不可能共面;
③若EFCF,则平面ADEF⊥平面ABCD
④平面BCE与平面BEF可能垂直.
A.0         
B..1        
C.2         
D..3
共享时间:2021-04-03 难度:1 相似度:2
167270. (2023•长安区一中•高三上五月) 围绕民宿目的地进行吃住娱乐闭环消费已经成为疫情之后人们出游的新潮流.在用户出行旅游决策中,某机构调查了某地区1000户偏爱酒店的用户与1000户偏爱民宿的用户住宿决策依赖的出行旅游决策平台,得到统计图,则下列说法中不正确的是(  )

A.偏爱民宿用户对小红书平台依赖度最高  

B.在被调查的两种用户住宿决策中,小红书与携程旅行的占比总和相等   

C..小红书在所有被调查用户住宿决策中的占比与携程旅行在所有被调查用户住宿决策中的占比不相等   

D.在被调查的两种用户住宿决策中,同程旅行占比都比抖音的占比高

共享时间:2023-12-29 难度:1 相似度:2
168558. (2021•西安中学•九模) 已知直线l⊥平面α,直线m⊂平面β,则下列四个命题正确的是(  )
①α∥β⇒lm;②α⊥β⇒lm;③lm⇒α⊥β;④lm⇒α∥β.
A..②④    
B.①②       
C..③④    
D..①③
共享时间:2021-06-30 难度:1 相似度:2
168773. (2021•西安中学•八模) 已知函数fx)=ax3+bx2+cx+da≠0),f′(x)=gx),给出下列四个结论,分别是:①a>0;②fx)在R上单调;③fx)有唯一零点;④存在x0,使得gx0)<0.其中有且只有一个是错误的,则错误的一定不可能是(  )
A.①        
B.②         
C..③      
D.
共享时间:2021-06-19 难度:1 相似度:2
168856. (2021•西工大附中•十模) 下列命题中正确的是(  )

A.pq为真命题,则pq为真命题

B.ab>0”是“”的充要条件  

C.命题“x2﹣3x+2=0,则x=1或x=2”的逆否命题为“若x≠1或x≠2,则x2﹣3x+2≠0”

D.命题p:∃x∈R,使得x2+x﹣1<0,则¬p:∀x∈R,使得x2+x﹣1>0

共享时间:2021-07-03 难度:1 相似度:2
169024. (2020•西安中学•三模) α,β是两个平面,mn是两条直线,有下列四个命题:
①如果mnm⊥α,n∥β,那么α⊥β.
②如果m⊥α,n∥α,那么mn
③如果α∥β,m⊂α,那么m∥β.
④如果mn,α∥β,那么m与α所成的角和n与β所成的角相等.
其中正确的命题的个数为(  )
A..1       
B..2        
C..3       
D.4
共享时间:2020-04-01 难度:1 相似度:2
167800. (2024•西安一中•二模) 函数的部分图象如图所示,给下列说法:
①函数fx)的最小正周期为π;
②直线为函数fx)的一条对称轴;
③点为函数fx)的一个对称中心;
④函数fx)的图象向右平移个单位后得到的图象.
其中不正确说法的个数是(  )

A..1       
B..2        
C..3       
D..4
共享时间:2024-03-29 难度:1 相似度:2
169041. (2020•西工大附中•一模) 设α,β为两个不同平面,ab是两条不同的直线,则下列结论正确的是(  )

A.abb⊥α,则a∥α 

B..若a⊂α,b⊂β,则ab是异面直线 

C..若a⊥α,b⊥β,ab,则α⊥β

D.若α∩β=baba∥α且a∥β

共享时间:2020-03-01 难度:1 相似度:2
169115. (2020•西工大附中•三模) 关于函数fx)=3﹣2cosx(cosx﹣sinx),有以下4个结论:
fx)的最小正周期是π;②fx)的图象关于点中心对称;
fx)的最小值为;④fx)在区间内单调递增.
其中所有正确结论的序号是(  )
A.①③④
B..①③          
C..②④    
D..②③④
共享时间:2020-04-03 难度:1 相似度:2
169156. (2020•高新一中•三模) 已知两条直线mn,两个平面α,β,m∥α,n⊥β,则下列正确的是(  )

A.若α∥β,则mn             

C.若α∥β,则m∥β                                       

B.若α⊥β,则n∥α            

D.若α⊥β,则mn

共享时间:2020-04-01 难度:1 相似度:2

dygzsxyn

2021-11-27

高中数学 | 高一上 | 选择题

  • 下载量
  • 浏览量
  • 收益额
  • 0
  • 4
  • 0
相同试题
试题下载
试题内容
调用试题名称
共享人
唐老师
试题题型
解答题
试题难度
试题题源
2020*西工大*期末
下载次数
168次
下载金币
5德优币(当前结余18德优币)
温馨提示
该试题下载至自主题库后,下载、备课永久免费!
试卷设置
试卷名称
省市校区
阶段科目
年份卷型
选择类型
已选考点
在线训练
视频讲解
温馨提示
视频讲解正在加载中、请等待!
温馨提示
对不起!这是别人共享的试题,需要下载到自主题库后,可将该试题添加到白板
视频解析购买
支付方式
德优币数
本次消耗0德优币
温馨提示

客服电话:400-816-0029,服务邮箱:610066832@qq.com

视频资源

试题找茬
纠错类型
纠错描述
温馨提示
共享试题、试卷经平台审核通过后方可展示,并永久享用用户下载分红权!