服务热线
搜题▪组卷
试卷总分:120分 命题人:dygzsxyn 考试时长:120分钟
|
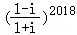
A.[0, |
B.(0, |
|
C..(﹣∞,0]∪[ |
D.(﹣∞,0)∪( |




dygzsxyn
2017-07-18
高中数学 | 段考 | 难度:1.52
| 下载试卷 | 收藏 |
| 平行组卷 | 细目重组 |
| 试卷分析 | 加入白板 |
| 加卷篮 | 更多功能 |
平行组卷卷生成中,请等待