首页 | 客服 | 上传赚现
AI助手
德优题库AI助手

AI助手

搜题▪组卷

(1)

服务热线

400-816-0029

    自建题库,共享分红

德优题库QQ交流群

236556. (2017•高新一中•高二下期末) 已知xmxn是函数fx)=lnx+x2﹣(a+2)x的两个极值点,其中mna∈R.
(Ⅰ)求fm)+fn)的取值范围;
(Ⅱ)若,求fn)﹣fm)的最大值.(注:e是自然对数的底数).
共享时间:2017-07-18 难度:2
[考点]
函数在某点取得极值的条件,利用导数研究函数的最值,
[答案]
见试题解答内容
[解析]
解:(Ⅰ)函数fx)的定义域为(0,+∞),
依题意,方程x2﹣(a+2)x+1=0有两个不等的正根mn(其中mn).
,∴a>0,
并且m+na+2,mn=1.
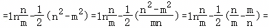
所以,

fm)+fn)的取值范围是(﹣∞,﹣3).   …(7分)
(Ⅱ)当时,
若设,则
于是有,∴,∴te


构造函数(其中te),则
所以gt)在[e,+∞)上单调递减,
fn)﹣fm)的最大值是.        …(15分)
[点评]
本题考查了"函数在某点取得极值的条件,利用导数研究函数的最值,",属于"易错题",熟悉题型是解题的关键。
转载声明:
本题解析属于发布者收集录入,如涉及版权请向平台申诉! !版权申诉
考点说明
灰色代表去掉的考点,绿色代表未变动的考点,红色代表新增的考点
231657. (2015•西工大附中•二模) 设函数fx)=x2+blnx+1),其中b≠0.
(1)若b=﹣12,求fx)在[1,3]的最小值;
(2)如果fx)在定义域内既有极大值又有极小值,求实数b的取值范围.
共享时间:2015-03-25 难度:2 相似度:2
231100. (2016•西安一中•一模) 已知a∈R,函数fx)=xln(﹣x)+(a﹣1)x
(Ⅰ)若fx)在x=﹣e处取得极值,求函数fx)的单调区间;
(Ⅱ)求函数fx)在区间[﹣e2,﹣e﹣1]上的最大值ga).
共享时间:2016-03-14 难度:3 相似度:1.67
168082. (2023•西工大附中•十三模) 已知函数fx)=ex(1+alnx),其中a>0,设f′(x)为fx)导函数.
(Ⅰ)设gx)=exf′(x),若gx)≥2恒成立,求a的范围;
(Ⅱ)设函数fx)的零点为x0,函数f′(x)的极小值点为x1,当a>2时,求证:x0x1
共享时间:2023-07-27 难度:1 相似度:1.5
169764. (2023•师大附中•高二下期末) 已知函数
(1)若a=0,求不等式的解集;
(2)若fx)存在两个不同的零点x1x2x1x2),证明:lnx1+lnx2+x1+x2+x1x2>2+a
共享时间:2023-07-24 难度:1 相似度:1.5
167855. (2024•西工大附中•模拟) 已知函数fx)=axlnxa,且fx)≥0.
(1)求a
(2)设gx)=xfx),证明:gx)存在唯一的极大值点x0,且gx0)<
共享时间:2024-03-05 难度:1 相似度:1.5
168105. (2023•西工大附中•十三模) 已知函数fx)=ex(1+alnx),其中a>0,设f′(x)为fx)导函数.
(Ⅰ)设gx)=exf′(x),若gx)≥2恒成立,求a的范围;
(Ⅱ)设函数fx)的零点为x0,函数f′(x)的极小值点为x1,当a>2时,求证:x0x1
共享时间:2023-07-20 难度:1 相似度:1.5
168229. (2021•西安中学•四模) 已知函数fx)=(x+1)lnxx+1.
(Ⅰ)若xf′(x)≤x2+ax+1,求a的取值范围;
(Ⅱ)证明:(x﹣1)fx)≥0.
共享时间:2021-04-28 难度:1 相似度:1.5
168253. (2021•西安中学•五模) 已知函数fx)=ex﹣1﹣axa∈R).
(1)试讨论函数fx)的零点个数;
(2)若函数gx)=lnex﹣1)﹣lnx,且f[gx)]<fx)在x∈(0,+∞)上恒成立,求实数a的取值范围.
共享时间:2021-05-01 难度:1 相似度:1.5
168344. (2022•长安区一中•三模) 已知函数fx)=ex
(1)若关于x的不等式fx)≥a(sinx+cosx)在上恒成立,求实数a的取值范围;
(2)当时,证明:fx)≥sinx+cosx
共享时间:2022-04-07 难度:1 相似度:1.5
167083. (2023•西安中学•高三上四月) 已知函数fx)=ex+ax2e2x
(1)若曲线在点(2,f(2))处的切线平行于x轴,求函数fx)的单调区间;
(2)若x∈(0,1)时,总有fx)>xexe2x+1,求实数a的取值范围.
共享时间:2023-02-19 难度:1 相似度:1.5
166836. (2024•西安八十五中•一模) 已知函数fx)=a2x+a﹣2x+maxax)(a>0且a≠1).
(1)若m=2,求函数fx)的最小值;
(2)若fx)≥﹣1恒成立,求实数m的取值范围.
共享时间:2024-03-12 难度:1 相似度:1.5
168851. (2021•西工大附中•十二模) .已知函数fx)=lnxgx)=x2
(1)若不等式fx)≤ax﹣1对x∈(0,+∞)恒成立,求实数a的范围;
(2)若正项数列{an}满足a1an+1,数列{an}的前n项和为Sn,求证:+1.
共享时间:2021-07-22 难度:1 相似度:1.5
169375. (2024•师大附中•高二上期末) 已知函数fx)=exxalnx
(1)当a=﹣1时,证明:fx)>﹣1有解;
(2)若对任意:x∈(1,+∞),不等式fx)≤xa恒成立,求实数a的取值范围.
共享时间:2024-02-14 难度:1 相似度:1.5
237362. (2021•西工大附中•高二下期中) 设函数a∈R,e为自然对数的底数).若曲线y=sinx上存在(x0y0)使得ffy0))=y0,求a的取值范围.
共享时间:2021-05-16 难度:1 相似度:1.5
237189. (2021•高新一中•高二上期中) 已知函数,若fx)的图象始终在直线y=2的上方,则实数a的取值范围是       
共享时间:2021-11-18 难度:1 相似度:1.5

dygzsxyn

2017-07-18

高中数学 | 高二下 | 解答题

  • 下载量
  • 浏览量
  • 收益额
  • 0
  • 9
  • 0
相同试题
试题下载
试题内容
调用试题名称
共享人
唐老师
试题题型
解答题
试题难度
试题题源
2020*西工大*期末
下载次数
168次
下载金币
5德优币(当前结余18德优币)
温馨提示
该试题下载至自主题库后,下载、备课永久免费!
试卷设置
试卷名称
省市校区
阶段科目
年份卷型
选择类型
已选考点
在线训练
视频讲解
温馨提示
视频讲解正在加载中、请等待!
温馨提示
对不起!这是别人共享的试题,需要下载到自主题库后,可将该试题添加到白板
视频解析购买
支付方式
德优币数
本次消耗0德优币
温馨提示

客服电话:400-816-0029,服务邮箱:610066832@qq.com

视频资源

试题找茬
纠错类型
纠错描述
温馨提示
共享试题、试卷经平台审核通过后方可展示,并永久享用用户下载分红权!