首页 | 客服 | 上传赚现
AI助手
德优题库AI助手

AI助手

搜题▪组卷

(1)

服务热线

400-816-0029

    自建题库,共享分红

德优题库QQ交流群

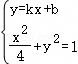
236555. (2017•高新一中•高二下期末) 如图,直线ykx+b与椭圆=1交于AB两点,记△AOB的面积为S
(Ⅰ)求在k=0,0<b<1的条件下,S的最大值;
(Ⅱ)当|AB|=2,S=1时,求直线AB的方程.

共享时间:2017-07-18 难度:3
[考点]
直线的一般式方程与直线的性质,椭圆的几何特征,直线与圆锥曲线的综合,
[答案]
见试题解答内容
[解析]
解:(Ⅰ)设点A的坐标为(x1b),点B的坐标为(x2b),
,解得
所以b2+1﹣b2=1.
当且仅当时,S取到最大值1.

(Ⅱ)解:由
,①
Δ=4k2b2+1,
.②
OAB的距离为d,则
又因为
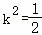
所以b2k2+1,代入②式并整理,得
解得,代入①式检验,Δ>0,
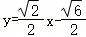
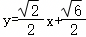
故直线AB的方程是,或
[点评]
本题考查了"直线的一般式方程与直线的性质,椭圆的几何特征,直线与圆锥曲线的综合,",属于"难典题",熟悉题型是解题的关键。
转载声明:
本题解析属于发布者收集录入,如涉及版权请向平台申诉! !版权申诉
169921. (2023•长安区一中•高二下期末) 已知椭圆C1=1(ab>0)的左,右焦点分别为F1F2P为椭圆上的一点,△PF1F2的周长为6,|PF2|的最小值为1,F1为抛物线C2y2=2pxp>0)的焦点.
(1)求椭圆C1与抛物线C2的方程;
(2)过椭圆C1的左顶点Q的直线l交抛物线C2AB两点,点O为原点,射线OAOB分别交椭圆于CD两点,△OCD的面积为S1,△OAB的面积为S2,则是否存在直线l使得S2?若存在,求出直线l的方程;若不存在,请说明理由.
共享时间:2023-07-19 难度:2 相似度:1.67
167566. (2023•关山中学•高二上一月) 已知在△ABC中,AB的坐标分别为(﹣1,2),(4,3),AC的中点My轴上,BC的中点Nx轴上.
(1)求点C的坐标;
(2)求直线MN的方程.
共享时间:2023-10-16 难度:1 相似度:1.33
169792. (2023•师大附中•高二上期末) 如图,已知椭圆,过其左焦点且斜率为1的直线与椭圆及其准线的交点从左到右的顺序为ABCD,设fm)=||AB|﹣|CD||.
(1)求fm)的解析式;
(2)求fm)的最值.

共享时间:2023-02-13 难度:1 相似度:1.33
169551. (2024•铁一中学•高二上期末) 设点P是椭圆上任意一点,过点P作椭圆的切线,与椭圆交于AB两点.
(1)求证:|PA|=|PB|;
(2)△OAB的面积是否为定值?若是,求出这个定值;若不是,请说明理由.

共享时间:2024-02-22 难度:1 相似度:1.33
169194. (2020•交大附中•三模) 已知椭圆C1+=1的离心率与双曲线y2=1的离心率互为倒数,直线lyx+2与以原点为圆心,以椭圆C1的短半轴长为半径的圆相切.
(1)求椭圆C1的方程;
(2)设椭圆C1的左焦点为F1,右焦点为F2,直线l1过点F1且垂直于椭圆的长轴,动直线l2垂直l1于点P,线段PF2垂直平分线交l2于点M,求点M的轨迹C2的方程;
(3)设第(2)问中的C2x轴交于点Q,不同的两点RSC2上,且满足,求的取值范围.
共享时间:2020-04-15 难度:1 相似度:1.33
168919. (2021•高陵一中•二模) 已知离心率为的椭圆C的一个顶点恰好是抛物线x2=4y的焦点,过点M(4,0)且斜率为k的直线交椭圆CAB两点.
(Ⅰ)求椭圆C的方程;
(Ⅱ)求k的取值范围;
(Ⅲ)若k≠0,AP关于x轴对称,直线BPx轴于N,求证:|ON|为定值.
共享时间:2021-03-23 难度:1 相似度:1.33
168735. (2021•西安中学•仿真) 如图,椭圆C1的一个顶点为P(0,﹣1),离心率为l1l2是过点P且互相垂直的两条直线,其中,l1交圆C2x2+y2=4于AB两点,l2交椭圆C1于另一点D
(Ⅰ)求椭圆C1的方程;
(Ⅱ)求△ABD面积取最大值时,直线l1的方程.

共享时间:2021-06-10 难度:1 相似度:1.33
168713. (2021•西安中学•仿真) 如图,椭圆C1的一个顶点为P(0,﹣1),离心率为l1l2是过点P且互相垂直的两条直线,其中,l1交圆C2x2+y2=4于AB两点,l2交椭圆C1于另一点D
(Ⅰ)求椭圆C1的方程;
(Ⅱ)若△ABD面积为,求直线l1的方程.

共享时间:2021-06-05 难度:1 相似度:1.33
168620. (2021•西安中学•二模) 已知离心率为的椭圆C的一个顶点恰好是抛物线x2=4y的焦点,过点M(4,0)且斜率为k的直线交椭圆CAB两点.
(Ⅰ)求椭圆C的方程;
(Ⅱ)求k的取值范围;
(Ⅲ)若k≠0,AP关于x轴对称,直线BPx轴于N,求证:|ON|为定值.
共享时间:2021-03-17 难度:1 相似度:1.33
168435. (2021•西安中学•七模) 如图,已知椭圆的离心率为E的左顶点为A、上顶点为B,点P在椭圆上,且△PF1F2的周长为
(Ⅰ)求椭圆的方程;
(Ⅱ)设CD是椭圆E上两不同点,CDAB,直线CDx轴、y轴分别交于MN两点,且的取值范围.

共享时间:2021-06-06 难度:1 相似度:1.33
168413. (2021•西安中学•十模) 已知椭圆C+=1的左、右顶点分别为AB,右焦点为F,折线|x﹣1|=mym≠0)与C交于MN两点.
(1)当m=2时,求|MF|+|NF|的值;
(2)直线AMBN交于点P,证明:点P在定直线上.
共享时间:2021-07-03 难度:1 相似度:1.33
168196. (2023•西工大附中•八模) 如图,椭圆C1=1(ab>0)的左右焦点分别为的F1F2,离心率为;过抛物线C2x2=4by焦点F的直线交抛物线于MN两点,当|MF|=时,M点在x轴上的射影为F1.连结NOMO并延长分别交C1AB两点,连接AB;△OMN与△OAB的面积分别记为SOMNSOAB,设λ=
(Ⅰ)求椭圆C1和抛物线C2的方程;
(Ⅱ)求λ的取值范围.

共享时间:2023-06-11 难度:1 相似度:1.33
168173. (2023•西工大附中•八模) 如图,椭圆C1=1(ab>0)的左右焦点分别为的F1F2,离心率为;过抛物线C2x2=4by焦点F的直线交抛物线于MN两点,当|MF|=时,M点在x轴上的射影为F1.连结NOMO并延长分别交C1AB两点,连接AB;△OMN与△OAB的面积分别记为SOMNSOAB,设λ=
(Ⅰ)求椭圆C1和抛物线C2的方程;
(Ⅱ)求λ的取值范围.

共享时间:2023-06-15 难度:1 相似度:1.33
166563. (2024•华清中学•高二上一月) F1F2为椭圆C+=1的两个焦点,MC上一点且在第一象限.若△MF1F2为等腰三角形,则M的坐标为             
共享时间:2024-10-24 难度:1 相似度:1.33
166680. (2024•高新一中•高二上二月) 在平面直角坐标系xOy中,已知点,||MF1|﹣|MF2||=4,动点M的轨迹为C
(Ⅰ)求C的方程;
(Ⅱ)若直线ly=﹣x+tCAB两点,且|AB|=2,求直线l的方程.
共享时间:2024-12-27 难度:1 相似度:1.33

dygzsxyn

2017-07-18

高中数学 | 高二下 | 解答题

  • 下载量
  • 浏览量
  • 收益额
  • 0
  • 3
  • 0
相同试题
试题下载
试题内容
调用试题名称
共享人
唐老师
试题题型
解答题
试题难度
试题题源
2020*西工大*期末
下载次数
168次
下载金币
5德优币(当前结余18德优币)
温馨提示
该试题下载至自主题库后,下载、备课永久免费!
试卷设置
试卷名称
省市校区
阶段科目
年份卷型
选择类型
已选考点
在线训练
视频讲解
温馨提示
视频讲解正在加载中、请等待!
温馨提示
对不起!这是别人共享的试题,需要下载到自主题库后,可将该试题添加到白板
视频解析购买
支付方式
德优币数
本次消耗0德优币
温馨提示

客服电话:400-816-0029,服务邮箱:610066832@qq.com

视频资源

试题找茬
纠错类型
纠错描述
温馨提示
共享试题、试卷经平台审核通过后方可展示,并永久享用用户下载分红权!