首页 | 客服 | 上传赚现
AI助手
德优题库AI助手

AI助手

搜题▪组卷

(1)

服务热线

400-816-0029

    自建题库,必找德优

德优题库QQ交流群

首页 > 试卷详情
德优网2017陕西省西安市未央区西安中学高中数学考试期末高二上

2017-2018学年陕西省西安中学平行班高二(上)期末数学试卷(文科)

试卷总分:150分    命题人:dygzsxyn    考试时长:120分钟

一、选择题(12小题共60分)
1. (本题5分) 给出命题:若ab都是偶数,则a+b是偶数.在它的逆命题、否命题、逆否命题三个命题中,真命题的个数是(  )
A.3         
B.2         
C..1       
D.0
2. (本题5分) pb=0,q:函数yax2+bx+c是偶函数,则pq的(  )
A.充要条件
B.充分不必要条件  
C..必要不充分条件
D..既不充分也不必要条件
3. (本题5分) 已知椭圆x2+my2=1的长轴长是短轴长的2倍,则实数m的值是(  )
A.2         
B.或4     
C.        
D.或2
4. (本题5分) 命题“对任意a∈R,都有a2≥0”的否定为(  )
A.对任意a∈R,都有a2<0         B.对任意a∈R,都有a2<0                                       
C..存在a∈R,使得a2<0         D.存在a∉R,使得a2<0
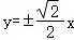
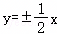
5. (本题5分) 设双曲线的虚轴长为2,焦距为,则双曲线的渐近线方程为(  )
A. 
B.y=±2x  
C. 
D.
6. (本题5分) f′(x)是函数fx)的导函数,yf′(x)的图象如图所示,则yfx)的图象最有可能的是(  )

A.         
B.                                       
C.           
D.
7. (本题5分) 已知P:等腰梯形的对角线不相等,Q:π>3,则下列判断错误的是(  )

A..“PQ”为假,“PQ”为真  

B..“PQ”为假,“非P”为假

C.PQ”为真,“非Q”为假  

D.PQ”为假,“非P”为真

8. (本题5分) 已知函数fx)的导数为f′(x),若有fx)=3x2+2xf′(2),则f′(2)=(  )
A.﹣12      
B.12        
C..6       
D..﹣6
9. (本题5分) 已知F是抛物线y2=4x的焦点,M是抛物线上的一个动点,P(3,1)是一个定点,则|MP|+|MF|的最小值为(  )
A.2         
B.3         
C.4         
D..5
10. (本题5分) 已知函数fx)=,则f=(  )
A.    
B.1     
C..2  
D..2
11. (本题5分) 已知F是双曲线Cx2=1的右焦点,PC上一点,且PFx轴垂直,点A的坐标是(1,3),则△APF的面积为(  )
A.        
B.         
C.      
D.
12. (本题5分) fx)=+blnx在(1,+∞)上是减函数,则b的取值范围是(  )
A.(﹣∞,1] 
B..(﹣∞,1)                
C.[1,+∞)
D..(1,+∞)
二、填空题(4小题共20分)
13. (本题5分) MF(4,0)距离比它到直线x+6=0距离小2,则M的轨迹方程为       .
14. (本题5分) 以下命题:
①“x=1”是“x2﹣3x+2=0”的充分不必要条件;
②命题“若x2﹣3x+2=0,则x=1”的逆否命题为“若x≠1,则x2﹣3x+2≠0”;
③对于命题p:∃x>0,使得x2+x+1<0,则¬p:∀x≤0,均有x2+x+1≥0;
④若“pq”为假命题,则pq均为假命题;
其中正确命题的序号为      (把所有正确命题的序号都填上).
15. (本题5分) 已知函数fx)=xlnx,若该函数在xx0处的切线的斜率是2,则x0的值为     
16. (本题5分) 椭圆,点AB1B2F依次为其左顶点、下顶点、上顶点和右焦点,若直线AB2与直线B1F的交点恰在直线上,则椭圆的离心率为         .
三、解答题(6小题共70分)
17. (本题10分) 根据条件,求下列曲线的方程.
(1)已知两定点F1(﹣5,0),F2(5,0),曲线上的点PF1F2距离之差的绝对值为6,求曲线的方程;
(2)在y轴上的一个焦点与短轴两端点的连线互相垂直,且焦距为6的椭圆的标准方程.
18. (本题12分) 已知函数fx)=x3+ax2+bx+cx=﹣x=1时都取得极值.
(1)求ab的值;
(2)求函数fx)的单调区间.
19. (本题12分) 已知m>0,p:(x+1)(x﹣5)≤0,q:1﹣mx≤1+m
(1)若pq的充分条件,求实数m的取值范围;
(2)若m=5,“pq”为真命题,“pq”为假命题,求实数x的取值范围.
20. (本题12分) 工厂需要围建一个面积为512m2的矩形堆料场,一过可以利用原有的墙壁,其他三边需要砌新的墙壁,我们知道,砌起的新墙的总长度y(单位:m)是利用原有墙壁长度x(单位:m)的函数.
(1)写出y关于x的函数解析式,确定x的取值范围:
(2)随着x的变化,y的变化有何规律?
(3)堆料场的长、宽比为多少时,需要砌起的新墙用的材料最省?
21. (本题12分) 已知抛物线的标准方程是y2=8x
(1)求它的焦点坐标和准线方程.
(2)直线L过已知抛物线的焦点且倾斜角为45°,并与抛物线相交于AB两点,求弦AB的长度.
22. (本题12分) 已知函数gx)=exx+1).
(1)求函数gx)在(0,1)处的切线方程;
(2)设x>0,讨论函数hx)=gx)﹣ax3+x2)(a>0)的零点个数.
转载声明:
本题解析属于发布者收集录入,如涉及版权请向平台申诉! !版权申诉
温馨提示
对不起!这是别人共享的试卷,需要下载到自主题库后,可将该试卷添加到白板
试题下载
试题内容
调用试题名称
共享人
唐老师
试题题型
解答题
试题难度
试题题源
2020*西工大*期末
下载次数
168次
下载金币
5德优币(当前结余18德优币)
温馨提示
该试题下载至自主题库后,下载、备课永久免费!
相似题
试卷设置
试卷名称
省市校区
阶段科目
年份卷型
选择类型
已选考点
在线训练
可见权限
会员看题 会员看题和答案
试卷下载
试卷名称
调用试卷名称
共享人
唐老师
试卷卷型
1111
试卷难度
试卷来源
2020*西工大*期末
下载次数
168次
下载金币
5德优币(当前结余18德优币)
温馨提示
该试卷下载至自主题库后,下载、备课永久免费!
组卷付费
试卷名称
调用试卷名称
试卷来源
唐老师
试卷形式
全选 卷主 序号 卷型 难度 年份 省市区 题源 金币 操作
8 选择题 2018年 陕西 真题 2币 查看
8 选择题 2018年 陕西 真题 2币 查看
8 选择题 2018年 陕西 真题 2币 查看
8 选择题 2018年 陕西 真题 2币 查看
8 选择题 2018年 陕西 真题 2币 查看
8 选择题 2018年 陕西 真题 2币 查看
下载金币
5德优币(当前结余18德优币)
温馨提示
该试卷下载至自主题库后,下载、备课永久免费!
试题找茬
纠错类型
纠错描述
温馨提示
共享试题、试卷经平台审核通过后方可展示,并永久享用用户下载分红权!
平行组卷明细
2017-2018学年陕西省西安中学平行班高二(上)期末数学试卷(文科)的细目表
  • 题号
  • 考点
  • 操作
  • 1
  • 四种命题的真假关系,
  • 查看
  • 2
  • 充分条件与必要条件,函数的奇偶性,
  • 查看
  • 3
  • 椭圆的几何特征,
  • 查看
  • 4
  • 全称量词命题的否定,
  • 查看
  • 5
  • 双曲线的几何特征,
  • 查看
  • 6
  • 函数图象趋势与导数大小的关系,
  • 查看
  • 7
  • 复合命题及其真假,
  • 查看
  • 8
  • 基本初等函数的导数,
  • 查看
  • 9
  • 抛物线的焦点与准线,
  • 查看
  • 10
  • 基本初等函数的导数,
  • 查看
  • 11
  • 双曲线的几何特征,
  • 查看
  • 12
  • 利用导数研究函数的单调性,
  • 查看
  • 13
  • 点到直线的距离公式,
  • 查看
  • 14
  • 命题的真假判断与应用,
  • 查看
  • 15
  • 利用导数研究曲线上某点切线方程,
  • 查看
  • 16
  • 椭圆的几何特征,
  • 查看
  • 17
  • 双曲线的标准方程,
  • 查看
  • 18
  • 利用导数求解函数的单调性和单调区间,
  • 查看
  • 19
  • 充分条件与必要条件,复合命题及其真假,
  • 查看
  • 20
  • 函数解析式的求解及常用方法,根据实际问题选择函数类型,
  • 查看
  • 21
  • 抛物线的焦点与准线,
  • 查看
  • 22
  • 函数零点的判定定理,利用导数研究曲线上某点切线方程,
  • 查看
细目重组明细
2017-2018学年陕西省西安中学平行班高二(上)期末数学试卷(文科)的细目表
  • 题号
  • 考点
  • 选题
  • 1
  • 四种命题的真假关系,
  • 查看
  • 2
  • 充分条件与必要条件,函数的奇偶性,
  • 查看
  • 3
  • 椭圆的几何特征,
  • 查看
  • 4
  • 全称量词命题的否定,
  • 查看
  • 5
  • 双曲线的几何特征,
  • 查看
  • 6
  • 函数图象趋势与导数大小的关系,
  • 查看
  • 7
  • 复合命题及其真假,
  • 查看
  • 8
  • 基本初等函数的导数,
  • 查看
  • 9
  • 抛物线的焦点与准线,
  • 查看
  • 10
  • 基本初等函数的导数,
  • 查看
  • 11
  • 双曲线的几何特征,
  • 查看
  • 12
  • 利用导数研究函数的单调性,
  • 查看
  • 13
  • 点到直线的距离公式,
  • 查看
  • 14
  • 命题的真假判断与应用,
  • 查看
  • 15
  • 利用导数研究曲线上某点切线方程,
  • 查看
  • 16
  • 椭圆的几何特征,
  • 查看
  • 17
  • 双曲线的标准方程,
  • 查看
  • 18
  • 利用导数求解函数的单调性和单调区间,
  • 查看
  • 19
  • 充分条件与必要条件,复合命题及其真假,
  • 查看
  • 20
  • 函数解析式的求解及常用方法,根据实际问题选择函数类型,
  • 查看
  • 21
  • 抛物线的焦点与准线,
  • 查看
  • 22
  • 函数零点的判定定理,利用导数研究曲线上某点切线方程,
  • 查看
视频讲解
温馨提示
视频讲解正在加载中、请等待!
视频解析购买
支付方式
德优币数
本次消耗0德优币
温馨提示

客服电话:400-816-0029,服务邮箱:610066832@qq.com

视频资源

选择考点
存放类型
已选考点

平行组卷卷生成中,请等待

组卷异常提醒
温馨提示
试题篮存在未完成组卷,请前往组卷页面-组卷管理,点击“完成组卷”后,方可修改或添加试卷!