首页 | 客服 | 上传赚现
AI助手
德优题库AI助手

AI助手

搜题▪组卷

(1)

服务热线

400-816-0029

    自建题库,必找德优

德优题库QQ交流群

首页 > 试卷详情
德优网2015陕西省西安市新城区西安八十三中高中数学模考模拟

2015年陕西省西安八十三中高考数学二模试卷(理科)

试卷总分:150分    命题人:dygzsxyn    考试时长:120分钟

一、选择题(12小题共60分)
1. (本题5分) 已知集合M={x||x﹣3|<4},集合N={x|≤0,x∈Z},那么M∩N=(  )
A.{x|﹣1<x≤1}
B.{﹣1,0} 
C.{0}       
D.{0,1}
2. (本题5分) 已知=(cos40°,sin40°),=(cos80°,﹣sin80°),则=(  )
A.1         
B.       
C.      
D.
3. (本题5分) 如图,一个简单空间几何体的三视图其主视图与左视图都是边长为2的正三角形,其俯视图轮廓为正方形,则其体积是(  )
A.      
B.      
C.     
D.
4. (本题5分) 已知Sn是等差数列{an}的前n项和,若a2+a5+a8=12,则S9等于(  )
A.18        
B..36       
C.72        
D.无法确定
5. (本题5分) 圆(x+2)2+y2=5关于直线xy+1=0对称的圆的方程为(  )
A.x﹣2)2+y2=5                 B.x2+(y﹣2)2=5   
C.x﹣1)2+(y﹣1)2=5          D..(x+1)2+(y+1)2=5
6. (本题5分) 已知抛物线y2=8x的焦点与双曲线的一个焦点重合,则该双曲线的离心率为(  )
A.  
B.      
C.     
D..3
7. (本题5分) 记等比数列{an}的前n项和为Sn,若S3=2,S6=18,则等于(  )
A..﹣3     
B..5        
C.﹣31      
D.33
8. (本题5分) P是△ABC所在平面内一点,若=λ+,其中λ∈R,则P点一定在(  )
A.ABC内部                     B.AC边所在直线上  
C.AB边所在直线上              D.BC边所在直线上
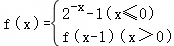
9. (本题5分) 定义运算ab为执行如图所示的程序框图输出的S值,则的值为(  )

A.4         
B.3         
C.2         
D.﹣1
10. (本题5分) 在△ABC中,已知2sinAcosB=sinC,那么△ABC一定是(  )
A.直角三角形                    B.等腰三角形   
C.等腰直角三角形                 D.正三角形
11. (本题5分) 两个三口之家,共4个大人,2个小孩,约定星期日乘“奥迪”、“捷达”两辆轿车结伴郊游,每辆车最多只能乘坐4人,其中两个小孩不能独坐一辆车,则不同的乘车方法种数是(  )
A.58        
B.50        
C.48        
D.40
12. (本题5分) 已知函数,若方程fx)=x+a有且只有两个不相等的实数根,则实数a的取值范围是(  )
A.(﹣∞,1]  B..(0,1) 
C.[0,+∞)  D.(﹣∞,1)
二、填空题(4小题共20分)
13. (本题5分) 在1+(1+x)+(1+x2+…+(1+x9的展开式中,x2项的系数是      .(用数字作答)
14. (本题5分) 在平面直角坐标系xOy上的区域D不等式组给定.若Mxy)为D上的动点,点N的坐标为(1,3),则z的最小值为       
15. (本题5分) 把边长为的正方形ABCD沿对角线AC折成一个直二面角BACD,则四面体ABCD的外接球的体积为         
16. (本题5分) 观察下列等式
13=1
13+23=9
13+23+33=36
13+23+33+43=100

照此规律,第n个等式可为               
三、解答题(8小题共70分)
17. (本题12分) 已知△ABC的内角ABC所对边分别为abc,设向量
(1)求tanA•tanB的值;
(2)求的最大值.
18. (本题12分) 如图,已知正三棱柱ABCA1B1C1的各棱长都是4,EBC的中点,动点F在线段CA1上,且不与点CA1重合.
(1)若=4,求平面AEF与平面ACF的夹角的余弦值;
(2)求点F到直线AB距离d的最小值.

19. (本题12分) 已知在等比数列{an}中,a1=1,且a2a1a3﹣1的等差中项.
(1)求数列{an}的通项公式;
(2)若数列{bn}满足bn=2n﹣1+ann∈N*),求{bn}的前n项和Sn
20. (本题12分) 已知椭圆C的中心在坐标原点,短轴长为4,且有一个焦点与抛物线的焦点重合.
(1)求椭圆C的方程.
(2)已知经过定点M(2,0)且斜率不为0的直线l交椭圆CAB两点,试问在x轴上是否另存在一个定点P使得PM始终平分∠APB?若存在求出P点坐标,若不存在请说明理由.
21. (本题12分) 已知函数fx)=exax﹣1,其中a为实数,
(1)若a=1,求函数fx)的最小值;
(2)若方程fx)=0在(0,2]上有实数解,求a的取值范围;
(3)设akbkk=1,2…,n)均为正数,且a1b1+a2b2anbnb1+b2bn,求证:<1.
22. (本题10分) 如图,⊙O的直径AB的延长线与弦CD的延长线相交于点PE为⊙O上一点,DEAB于点F,且AB=2BP=4,
(1)求PF的长度.
(2)若圆F与圆O内切,直线PT与圆F切于点T,求线段PT的长度.

23. (本题0分) 在直角坐标系xOy中,曲线C1的参数方程为(α为参数)MC1上的动点,P点满足=2P点的轨迹为曲线C2
(Ⅰ)求C2的方程;
(Ⅱ)在以O为极点,x轴的正半轴为极轴的极坐标系中,射线θ=C1的异于极点的交点为A,与C2的异于极点的交点为B,求|AB|.
24. (本题0分) 已知函数fx)=|x﹣2|,gx)=﹣|x+3|+m
(1)解关于x的不等式fx)+a﹣1>0(a∈R);
(2)若函数fx)的图象恒在函数gx)图象的上方,求m的取值范围.
转载声明:
本题解析属于发布者收集录入,如涉及版权请向平台申诉! !版权申诉
温馨提示
对不起!这是别人共享的试卷,需要下载到自主题库后,可将该试卷添加到白板
试题下载
试题内容
调用试题名称
共享人
唐老师
试题题型
解答题
试题难度
试题题源
2020*西工大*期末
下载次数
168次
下载金币
5德优币(当前结余18德优币)
温馨提示
该试题下载至自主题库后,下载、备课永久免费!
相似题
试卷设置
试卷名称
省市校区
阶段科目
年份卷型
选择类型
已选考点
在线训练
可见权限
会员看题 会员看题和答案
试卷下载
试卷名称
调用试卷名称
共享人
唐老师
试卷卷型
1111
试卷难度
试卷来源
2020*西工大*期末
下载次数
168次
下载金币
5德优币(当前结余18德优币)
温馨提示
该试卷下载至自主题库后,下载、备课永久免费!
组卷付费
试卷名称
调用试卷名称
试卷来源
唐老师
试卷形式
全选 卷主 序号 卷型 难度 年份 省市区 题源 金币 操作
8 选择题 2018年 陕西 真题 2币 查看
8 选择题 2018年 陕西 真题 2币 查看
8 选择题 2018年 陕西 真题 2币 查看
8 选择题 2018年 陕西 真题 2币 查看
8 选择题 2018年 陕西 真题 2币 查看
8 选择题 2018年 陕西 真题 2币 查看
下载金币
5德优币(当前结余18德优币)
温馨提示
该试卷下载至自主题库后,下载、备课永久免费!
试题找茬
纠错类型
纠错描述
温馨提示
共享试题、试卷经平台审核通过后方可展示,并永久享用用户下载分红权!
平行组卷明细
2015年陕西省西安八十三中高考数学二模试卷(理科)的细目表
  • 题号
  • 考点
  • 操作
  • 1
  • 交集及其运算,
  • 查看
  • 2
  • 两角和与差的三角函数,平面向量数量积的性质及其运算,
  • 查看
  • 3
  • 三视图,
  • 查看
  • 4
  • 等差数列的通项公式,等差数列的前n项和,
  • 查看
  • 5
  • 圆的标准方程,
  • 查看
  • 6
  • 抛物线的焦点与准线,双曲线的几何特征,
  • 查看
  • 7
  • 等比数列的性质,
  • 查看
  • 8
  • 数量积表示两个平面向量的夹角,
  • 查看
  • 9
  • 程序框图,
  • 查看
  • 10
  • 三角形的形状判断,
  • 查看
  • 11
  • 排列组合的综合应用,
  • 查看
  • 12
  • 函数的零点与方程根的关系,
  • 查看
  • 13
  • 二项式定理,
  • 查看
  • 14
  • 简单线性规划,
  • 查看
  • 15
  • 球的体积和表面积,
  • 查看
  • 16
  • 归纳推理,
  • 查看
  • 17
  • 基本不等式及其应用,同角三角函数间的基本关系,余弦定理,
  • 查看
  • 18
  • 二面角的平面角及求法,点、线、面间的距离计算,
  • 查看
  • 19
  • 数列的求和,等差数列与等比数列的综合,
  • 查看
  • 20
  • 椭圆的标准方程,直线与圆锥曲线的综合,
  • 查看
  • 21
  • 利用导数求解函数的最值,
  • 查看
  • 22
  • 与圆有关的比例线段,
  • 查看
  • 23
  • 参数方程化成普通方程,
  • 查看
  • 24
  • 绝对值不等式的解法,
  • 查看
细目重组明细
2015年陕西省西安八十三中高考数学二模试卷(理科)的细目表
  • 题号
  • 考点
  • 选题
  • 1
  • 交集及其运算,
  • 查看
  • 2
  • 两角和与差的三角函数,平面向量数量积的性质及其运算,
  • 查看
  • 3
  • 三视图,
  • 查看
  • 4
  • 等差数列的通项公式,等差数列的前n项和,
  • 查看
  • 5
  • 圆的标准方程,
  • 查看
  • 6
  • 抛物线的焦点与准线,双曲线的几何特征,
  • 查看
  • 7
  • 等比数列的性质,
  • 查看
  • 8
  • 数量积表示两个平面向量的夹角,
  • 查看
  • 9
  • 程序框图,
  • 查看
  • 10
  • 三角形的形状判断,
  • 查看
  • 11
  • 排列组合的综合应用,
  • 查看
  • 12
  • 函数的零点与方程根的关系,
  • 查看
  • 13
  • 二项式定理,
  • 查看
  • 14
  • 简单线性规划,
  • 查看
  • 15
  • 球的体积和表面积,
  • 查看
  • 16
  • 归纳推理,
  • 查看
  • 17
  • 基本不等式及其应用,同角三角函数间的基本关系,余弦定理,
  • 查看
  • 18
  • 二面角的平面角及求法,点、线、面间的距离计算,
  • 查看
  • 19
  • 数列的求和,等差数列与等比数列的综合,
  • 查看
  • 20
  • 椭圆的标准方程,直线与圆锥曲线的综合,
  • 查看
  • 21
  • 利用导数求解函数的最值,
  • 查看
  • 22
  • 与圆有关的比例线段,
  • 查看
  • 23
  • 参数方程化成普通方程,
  • 查看
  • 24
  • 绝对值不等式的解法,
  • 查看
视频讲解
温馨提示
视频讲解正在加载中、请等待!
视频解析购买
支付方式
德优币数
本次消耗0德优币
温馨提示

客服电话:400-816-0029,服务邮箱:610066832@qq.com

视频资源

选择考点
存放类型
已选考点

平行组卷卷生成中,请等待

组卷异常提醒
温馨提示
试题篮存在未完成组卷,请前往组卷页面-组卷管理,点击“完成组卷”后,方可修改或添加试卷!