首页 | 客服 | 上传赚现
AI助手
德优题库AI助手

AI助手

搜题▪组卷

(1)

服务热线

400-816-0029

    自建题库,必找德优

德优题库QQ交流群

首页 > 试卷详情
德优网2015陕西省西安市莲湖区西安一中高中数学模考模拟

2015年陕西省西安一中高考数学二模试卷(文科)

试卷总分:150分    命题人:dygzsxyn    考试时长:120分钟

一、选择题(10小题共50分)
1. (本题5分) 复数z1=3+iz2=1﹣i,则复数的虚部为(  )
A.2         
B.﹣2i       
C..﹣2
D..2i
2. (本题5分) 已知全集UR,则正确表示集合M={x∈R|(x﹣1)(x﹣2)>0}和N={x∈R|x2+x<0}的关系的韦恩(Venn)图是(  )
A.             
B.                                       
C.        
D.
3. (本题5分) 2000辆汽车通过某一段公路时的时速的频率分布直方图如图所示,时速在[50,60)的汽车大约有(  )

A..30辆    
B.60辆      
C..300辆  
D..600辆
4. (本题5分) ”是“”的(  )
A.充分而不必要条件
B.必要而不充分条件
C.充分必要条件
D..既不充分也不必要条件
5. (本题5分) 已知某个几何体的三视图如图(主视图中的弧线是半圆),根据图中标出的尺寸,可得这个几何体的体积是(单位:cm3)(  )
A..π      
B..2π      
C..4π     
D..8π
6. (本题5分) 欧阳修《卖油翁》中写到:(翁)乃取一葫芦置于地,以钱覆其口,徐以杓酌油沥之,自钱孔入,而钱不湿.可见“行行出状元”,卖油翁的技艺让人叹为观止.若铜钱是直径为3cm的圆,中间有边长为1cm的正方形孔,若你随机向铜钱上滴一滴油,则油(油滴的大小忽略不计)正好落入孔中的概率是(  )
A.
B.           
C.
D.
7. (本题5分) 已知函数fx)=sin(2x+)(x∈R),为了得到函数gx)=cos2x的图象,只需将yfx)的图象(  )
A.向左平移个单位              B.向右平移个单位
C.向左平移个单位              D.向右平移个单位
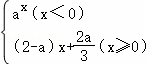
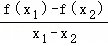
8. (本题5分) 已知函数fx)=满足对任意x1x2,都有>0 成立,则a的取值范围是(  )
A.(1,2]     B.(1,2)    
C. D..[
9. (本题5分) 阅读如图所示的程序框图,运行相应的程序,输出的结果是(  )

A.20        
B..21       
C..200     
D..210
10. (本题5分) 设点P为椭圆+=1上的一点,F1F2是该椭圆的左、右焦点,若∠F1PF2=60°,则△PF1F2的面积为(  )
A.5      
B..3     
C.   
D.
二、填空题(7小题共25分)
11. (本题5分) Pxy)在不等式组表示的平面区域上运动,则z的取值范围为                 
12. (本题5分) x+y=8,则3x+2y的最小值为         
13. (本题5分) 定义已知a=30.3b=0.33c=log30.3,则(a*b)*c    (结果用abc表示).
14. (本题5分) 直线ax+by+c=0与圆x2+y2=4相交于两点AB,若c2a2+b2O为坐标原点,则             
15. (本题5分) (几何证明选讲选做题)已知PA是圆O的切线,切点为APA=2.AC是圆O的直径,PC与圆O交于点BPB=1,则AB            
16. (本题0分) (不等式选讲选做题)已知关于x的不等式|x﹣1|+|x|≤k无解,则实数k的取值范围是                
17. (本题0分) (坐标系与参数方程选做题)已知极坐标的极点在直角坐标系的原点O处,极轴与x轴的正半轴重合,曲线C的参数方程为,直线l的极坐标方程为ρsin(θ﹣)=,则直线l与曲线C的交点个数为     
三、解答题(6小题共75分)
18. (本题12分) 函数fx)=Asin(ωx+φ)(A>0,ω>0,|φ|<)在区间[﹣]上的图象如图所示.
(Ⅰ)求fx)的解析式;
(Ⅱ)设△ABC三内角ABC所对边分别为abc,求fx)在(0,B]上的值域.
19. (本题12分) 如图所示,凸多面体ABCED中,AD⊥平面ABCCE⊥平面ABCACADAB=1,BCCE=2,FBC的中点.
(Ⅰ)求证:AF∥平面BDE
(Ⅱ)求证:平面BDE⊥平面BCE
III)求三棱锥FADB的体积.

20. (本题12分) 欣欣服装厂在2010年第一季度共生产ABC三种品牌的男女休闲服装2000件,如下表所示
品牌 A B C
女羽绒服 373 x y
男羽绒服 377 370 z
现从这些服装中随机抽取一件进行检验,已知抽到品牌B女服装的概率是0.19.
(1)求x的值;
(2)现用分层抽样的方法在生产的这些服装中随机抽取48件进行检验,问应在品牌C中抽取多少件?
(3)已知y≥245,z≥245,求品牌C中生产的女服装比男服装多的概率.
21. (本题12分) 数列{an}满足a1=1,n∈N+).
(1)证明:数列是等差数列;
(2)求数列{an}的通项公式an
(3)设bnnn+1)an,求数列{bn}的前n项和Sn
22. (本题13分) 已知中心在原点,焦点在x轴上的椭圆C的离心率为,且经过点M
(Ⅰ)求椭圆C的方程;
(Ⅱ)是否存在过点P(2,1)的直线l1与椭圆C相交于不同的两点AB,满足?若存在,求出直线l1的方程;若不存在,请说明理由.
23. (本题14分) 对于函数fx)和gx),若存在常数km,对于任意x∈R,不等式fx)≥kx+mgx)都成立,则称直线
ykx+m是函数fx),gx)的分界线.已知函数fx)=exax+1)(e为自然对数的底,a∈R为常数).
(Ⅰ)讨论函数fx)的单调性;
(Ⅱ)设a=1,试探究函数fx)与函数gx)=﹣x2+2x+1是否存在“分界线”?若存在,求出分界线方程;若不存在,试说明理由.
转载声明:
本题解析属于发布者收集录入,如涉及版权请向平台申诉! !版权申诉
温馨提示
对不起!这是别人共享的试卷,需要下载到自主题库后,可将该试卷添加到白板
试题下载
试题内容
调用试题名称
共享人
唐老师
试题题型
解答题
试题难度
试题题源
2020*西工大*期末
下载次数
168次
下载金币
5德优币(当前结余18德优币)
温馨提示
该试题下载至自主题库后,下载、备课永久免费!
相似题
试卷设置
试卷名称
省市校区
阶段科目
年份卷型
选择类型
已选考点
在线训练
可见权限
会员看题 会员看题和答案
试卷下载
试卷名称
调用试卷名称
共享人
唐老师
试卷卷型
1111
试卷难度
试卷来源
2020*西工大*期末
下载次数
168次
下载金币
5德优币(当前结余18德优币)
温馨提示
该试卷下载至自主题库后,下载、备课永久免费!
组卷付费
试卷名称
调用试卷名称
试卷来源
唐老师
试卷形式
全选 卷主 序号 卷型 难度 年份 省市区 题源 金币 操作
8 选择题 2018年 陕西 真题 2币 查看
8 选择题 2018年 陕西 真题 2币 查看
8 选择题 2018年 陕西 真题 2币 查看
8 选择题 2018年 陕西 真题 2币 查看
8 选择题 2018年 陕西 真题 2币 查看
8 选择题 2018年 陕西 真题 2币 查看
下载金币
5德优币(当前结余18德优币)
温馨提示
该试卷下载至自主题库后,下载、备课永久免费!
试题找茬
纠错类型
纠错描述
温馨提示
共享试题、试卷经平台审核通过后方可展示,并永久享用用户下载分红权!
平行组卷明细
2015年陕西省西安一中高考数学二模试卷(文科)的细目表
  • 题号
  • 考点
  • 操作
  • 1
  • 复数的除法运算,
  • 查看
  • 2
  • Venn图表集合的包含关系,
  • 查看
  • 3
  • 频率分布直方图的应用,
  • 查看
  • 4
  • 充分条件与必要条件,任意角的三角函数的定义,
  • 查看
  • 5
  • 三视图,
  • 查看
  • 6
  • 几何概型,
  • 查看
  • 7
  • 函数y=Asin(ωx+φ)的图象变换,
  • 查看
  • 8
  • 由函数的单调性求解函数或参数,
  • 查看
  • 9
  • 程序框图,
  • 查看
  • 10
  • 椭圆的几何特征,
  • 查看
  • 11
  • 简单线性规划,
  • 查看
  • 12
  • 基本不等式及其应用,
  • 查看
  • 13
  • 对数值大小的比较,
  • 查看
  • 14
  • 数量积表示两个平面向量的夹角,
  • 查看
  • 15
  • 与圆有关的比例线段,
  • 查看
  • 16
  • 绝对值不等式的解法,
  • 查看
  • 17
  • 参数方程化成普通方程,
  • 查看
  • 18
  • 正弦函数的图象,正弦定理,
  • 查看
  • 19
  • 棱柱、棱锥、棱台的体积,直线与平面平行,平面与平面垂直,
  • 查看
  • 20
  • 相互独立事件和相互独立事件的概率乘法公式,分层随机抽样,
  • 查看
  • 21
  • 错位相减法,数列递推式,
  • 查看
  • 22
  • 直线与椭圆的综合,
  • 查看
  • 23
  • 利用导数研究函数的单调性,
  • 查看
细目重组明细
2015年陕西省西安一中高考数学二模试卷(文科)的细目表
  • 题号
  • 考点
  • 选题
  • 1
  • 复数的除法运算,
  • 查看
  • 2
  • Venn图表集合的包含关系,
  • 查看
  • 3
  • 频率分布直方图的应用,
  • 查看
  • 4
  • 充分条件与必要条件,任意角的三角函数的定义,
  • 查看
  • 5
  • 三视图,
  • 查看
  • 6
  • 几何概型,
  • 查看
  • 7
  • 函数y=Asin(ωx+φ)的图象变换,
  • 查看
  • 8
  • 由函数的单调性求解函数或参数,
  • 查看
  • 9
  • 程序框图,
  • 查看
  • 10
  • 椭圆的几何特征,
  • 查看
  • 11
  • 简单线性规划,
  • 查看
  • 12
  • 基本不等式及其应用,
  • 查看
  • 13
  • 对数值大小的比较,
  • 查看
  • 14
  • 数量积表示两个平面向量的夹角,
  • 查看
  • 15
  • 与圆有关的比例线段,
  • 查看
  • 16
  • 绝对值不等式的解法,
  • 查看
  • 17
  • 参数方程化成普通方程,
  • 查看
  • 18
  • 正弦函数的图象,正弦定理,
  • 查看
  • 19
  • 棱柱、棱锥、棱台的体积,直线与平面平行,平面与平面垂直,
  • 查看
  • 20
  • 相互独立事件和相互独立事件的概率乘法公式,分层随机抽样,
  • 查看
  • 21
  • 错位相减法,数列递推式,
  • 查看
  • 22
  • 直线与椭圆的综合,
  • 查看
  • 23
  • 利用导数研究函数的单调性,
  • 查看
视频讲解
温馨提示
视频讲解正在加载中、请等待!
视频解析购买
支付方式
德优币数
本次消耗0德优币
温馨提示

客服电话:400-816-0029,服务邮箱:610066832@qq.com

视频资源

选择考点
存放类型
已选考点

平行组卷卷生成中,请等待

组卷异常提醒
温馨提示
试题篮存在未完成组卷,请前往组卷页面-组卷管理,点击“完成组卷”后,方可修改或添加试卷!