首页 | 客服 | 上传赚现
AI助手
德优题库AI助手

AI助手

搜题▪组卷

(1)

服务热线

400-816-0029

    自建题库,共享分红

德优题库QQ交流群

231553. (2015•西安一中•二模) Pxy)在不等式组表示的平面区域上运动,则z的取值范围为                 
共享时间:2015-03-25 难度:1
[考点]
简单线性规划,
[答案]
见试题解答内容
[解析]
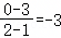
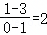
解:不等式对应的平面区域如图:(阴影部分).
z的几何意义表示为区域内的点(xy)到点(1,3)的斜率,
由图象可知:
zkADzkBD
kADkBD
z≥2或z≤﹣3,
故答案为:z≥2或z≤﹣3.

[点评]
本题考查了"简单线性规划,",属于"基础题",熟悉题型是解题的关键。
转载声明:
本题解析属于发布者收集录入,如涉及版权请向平台申诉! !版权申诉
167055. (2023•西安中学•高三上一月) xy满足约束条件,则z=2xy的最大值为       
共享时间:2023-10-30 难度:1 相似度:2
232258. (2023•铁一中学•高三上一月) 设实数xy满足,则的最大值是          
共享时间:2023-10-22 难度:1 相似度:2
231215. (2016•西工大附中•十模) 若实数xy满足不等式组,若xy为整数,则3x+4y的最小值为    
共享时间:2016-06-20 难度:1 相似度:2
231508. (2015•西安中学•一模) D是不等式组表示的平面区域,则D中的点Pxy)到直线x+y=10距离的最大值是       
共享时间:2015-03-05 难度:1 相似度:2
231531. (2015•西安一中•一模) D是不等式组表示的平面区域,则D中的点Pxy)到直线x+y=10距离的最大值是         
共享时间:2015-03-01 难度:1 相似度:2
231604. (2015•西工大附中•三模) 若直线y=2x上存在点(xy)满足约束条件,则实数m的取值范围       
共享时间:2015-04-07 难度:1 相似度:2
231650. (2015•西工大附中•二模) 已知不等式组表示的平面区域为M,若直线ykx﹣3k与平面区域M有公共点,则k的范围是       
共享时间:2015-03-25 难度:1 相似度:2
231698. (2015•西安八十三中•二模) 在平面直角坐标系xOy上的区域D不等式组给定.若Mxy)为D上的动点,点N的坐标为(1,3),则z的最小值为       
共享时间:2015-03-15 难度:1 相似度:2
231720. (2014•师大附中•八模) xy满足,则z=3x+y的最大值是    
共享时间:2014-06-12 难度:1 相似度:2
231743. (2014•师大附中•八模) xy满足,则z=3x+y的最大值是     
共享时间:2014-06-13 难度:1 相似度:2
232630. (2023•鄠邑二中•高三上三月) 已知xy满足约束条件,则z=3x+y﹣1的最小值为      
共享时间:2023-01-29 难度:1 相似度:2
168006. (2023•师大附中•十模) 已知实数xy满足约束条件,则z=3x+4y的最大值是     
共享时间:2023-07-02 难度:1 相似度:2
232954. (2023•交大附中•高三上六月) 若实数xy满足约束条件,则x2+y2的取值范围为      
共享时间:2023-03-02 难度:1 相似度:2
236038. (2019•西安中学•高二下期末) 已知实数xy满足不等式组,则2xy的最大值是     
共享时间:2019-07-23 难度:1 相似度:2
236126. (2018•高新一中•高二上期末) 实数xy满足,则目标函数z=2x+y的最小值是      
共享时间:2018-02-03 难度:1 相似度:2

dygzsxyn

2015-03-25

高中数学 | | 填空题

  • 下载量
  • 浏览量
  • 收益额
  • 0
  • 3
  • 0
相同试题
试题下载
试题内容
调用试题名称
共享人
唐老师
试题题型
解答题
试题难度
试题题源
2020*西工大*期末
下载次数
168次
下载金币
5德优币(当前结余18德优币)
温馨提示
该试题下载至自主题库后,下载、备课永久免费!
试卷设置
试卷名称
省市校区
阶段科目
年份卷型
选择类型
已选考点
在线训练
视频讲解
温馨提示
视频讲解正在加载中、请等待!
温馨提示
对不起!这是别人共享的试题,需要下载到自主题库后,可将该试题添加到白板
视频解析购买
支付方式
德优币数
本次消耗0德优币
温馨提示

客服电话:400-816-0029,服务邮箱:610066832@qq.com

视频资源

试题找茬
纠错类型
纠错描述
温馨提示
共享试题、试卷经平台审核通过后方可展示,并永久享用用户下载分红权!