首页 | 客服 | 上传赚现
AI助手
德优题库AI助手

AI助手

搜题▪组卷

(1)

服务热线

400-816-0029

    自建题库,必找德优

德优题库QQ交流群

首页 > 试卷详情
德优网2016陕西省西安市碑林区西工大附中高中数学模考模拟

2016年陕西省西安市西工大附中高考数学第十次适应性试卷(理科)

试卷总分:150分    命题人:dygzsxyn    考试时长:120分钟

一、选择题(12小题共60分)
1. (本题5分) 已知全集UR,集合A={x|﹣2<x<2},B={x|(1+x)(3﹣x)≥0},则A∩(∁RB)等于(  )
A.(﹣1,2)
B..(﹣2,﹣1] 
C..(﹣2,﹣1)
D.(2,3)
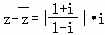
2. (本题5分) 设复数z的共轭复数为,且满足i为虚数单位,则复数z的虚部是(  )
A.        
B..2        
C.      
D..﹣2
3. (本题5分) 已知某批零件的长度误差(单位:毫米)服从正态分布N(0,22),从中随机取一件,其长度误差落在区间(2,4)内的概率为(附:若随机变量ξ服从正态分布N(μ,σ2),则P(μ﹣σ<ξ<μ+σ)=0.6826,P(μ﹣2σ<ξ<μ+2σ)=0.9544.)(  )
A.0.0456
B.0.1359         
C.0.2718    
D..0.3174
4. (本题5分) 已知a>1,,则fx)<1成立的一个充分不必要条件是(  )
A.0<x<1   
B..﹣1<x<0
C..﹣2<x<0  
D.﹣2<x<1
5. (本题5分) 定义运算a*b为执行如图所示的程序框图输出的S值,则(sin)*()的值为(  )

A.
B.      
C.      
D.
6. (本题5分) 已知向量=(3,1),=(1,3),=(k,﹣2),若()∥,则向量与向量的夹角的余弦值是(  )
A.      
B.         
C.     
D.
7. (本题5分) fx)=sinωx(ω>0)的图象向右平移个单位长度后,所得图象与函数y=cosωx的图象重合,则ω的最小值是(  )
A.      
B..3        
C.6         
D..9
8. (本题5分) 已知一个棱长为2的正 方体,被一个平面截后所得几何体的三视图如图所示,则该截面的面积为(  )
A.    
B..4        
C.        
D..5
9. (本题5分) 已知异面直线ab成80°角,A为空间中一点,则过Aab都成40°角的平面共有(  )
A.1个      
B.2个       
C..3个    
D.4个
10. (本题5分) 已知AB为经过抛物线y2=6x焦点F的弦,C为抛物线的准线与x轴的交点,若弦AB的斜率为,则∠ACB的正切值为(  )
A.     
B.    
C..1       
D.不存在
11. (本题5分) 已知实数列{an}是等比数列,若a2a5a8=﹣8,则++(  )
A.有最大值                   
B.有最小值
C..有最大值                  
D.有最小值
12. (本题5分) 已知fx)=|xex|,方程f2x)+tfx)+1=0(t∈R)有四个实数根,则t的取值范围为(  )
A.,+∞)                 B..(﹣∞,﹣)                                       
C.(﹣,﹣2)               D..(2,
二、填空题(4小题共20分)
13. (本题5分) 若数列{an}是正项数列,且++…+n2+3nn∈N*),则++…+    
14. (本题5分) x+)(2x5的展开式中各项系数的和为2,则该展开式中常数项为      
15. (本题5分) Pab)向圆(x﹣2)2+(y﹣3)2=1引切线PTT为切点,若|PT|=|PO|(O为坐标原点),则切线|PT|的最小值为           
16. (本题5分) 若实数xy满足不等式组,若xy为整数,则3x+4y的最小值为    
三、解答题(8小题共70分)
17. (本题12分) 已知函数fx)=sinxcosx+sin2x+x∈R),
(Ⅰ)当x∈[﹣]时,求函数fx)的最小值和最大值;
(Ⅱ)设△ABC的内角ABC的对应边分别为abc,且cfC)=2,若向量)与向量)共线,求ab的值.
18. (本题12分) 在三棱柱ABCA1B1C1中,侧面ABB1A1为矩形,AB=2,AA1=2DAA1的中点,BDAB1交于点O,且CO⊥平面ABB1A1
(1)证明:CDAB1
(2)若OCOA,求直线CD与平面ABC所成角的正弦值.

19. (本题12分) 某工厂生产甲,乙两种芯片,其质量按测试指标划分为:指标大于或等于82为合格品,小于82为次品.现随机抽取这两种芯片各100件进行检测,检测结果统计如表:
测试指标 [70,76) [76,82) [82,88) [88,94) [94,100]
芯片甲 8 12 40 32 8
芯片乙 7 18 40 29 6
(Ⅰ)试分别估计芯片甲,芯片乙为合格品的概率;
(Ⅱ)生产一件芯片甲,若是合格品可盈利40元,若是次品则亏损5元;生产一件芯片乙,若是合格品可盈利50元,若是次品则亏损10元.在(1)的前提下,记X为生产1件芯片甲和1件芯片乙所得的总利润,求随机变量X的概率分布及生产1件芯片甲和1件芯片乙所得总利润的平均值.
20. (本题12分) 已知双曲线C=1(ab>0),F1F2C的左、右焦点,PC右支上一点,且使∠F1PF2,又△F1PF2的面积为3a2
(Ⅰ)求双曲线C的离心率e
(Ⅱ)设AC的左顶点,Q为第一象限内C上任意一点,问是否存在常数λ(λ>0),使得∠QF2A=λ∠QAF2恒成立,若存在,求出λ的值,若不存在,请说明理由.
21. (本题12分) 已知函数fx)=a+blnx+1)+1的图象在x=1处的切线方程为x+2y﹣3=0.
(Ⅰ)求ab的值;
(Ⅱ)证明:当x>0时,恒有lnx
(Ⅲ)证明:对于任意给定的正数M,总存在正实数x0,使得当xx0时,恒有Mlnx
22. (本题10分) 如图,△ABC的外接圆的切线AEBC的延长线相交于点E,∠BAC的平分线与BC相交于点DAE=2BD=2.
(1)求证:EAED
(2)求DCBE的值.

23. (本题0分) .在平面直角坐标系xOy中,曲线C的参数方程为(α为参数),在以原点为极点,x轴正半轴为极轴的极坐标系中,直线l的极坐标方程为
(Ⅰ)求C的普通方程和l的倾斜角;
(Ⅱ)设点P(0,2),lC交于AB两点,求|PA|+|PB|.
24. (本题0分) 已知实数mn满足:关于x的不等式|x2+mx+n|≤|3x2﹣6x﹣9|的解集为R
(1)求mn的值;
(2)若abc∈R+,且a+b+cmn,求证:++
转载声明:
本题解析属于发布者收集录入,如涉及版权请向平台申诉! !版权申诉

dygzsxyn

2016-06-20

高中数学 | 模考 | 难度:1.71

  • 下载量
  • 浏览量
  • 收益额
  • 96
  • 19
  • 0
下载试卷 收藏
平行组卷 细目重组
试卷分析 加入白板
加卷篮 更多功能
温馨提示
对不起!这是别人共享的试卷,需要下载到自主题库后,可将该试卷添加到白板
试题下载
试题内容
调用试题名称
共享人
唐老师
试题题型
解答题
试题难度
试题题源
2020*西工大*期末
下载次数
168次
下载金币
5德优币(当前结余18德优币)
温馨提示
该试题下载至自主题库后,下载、备课永久免费!
相似题
德优题库校正考点说明
操作步骤
领取试卷→修改考点→完成任务→领取赚现
试卷设置
试卷名称
省市校区
阶段科目
年份卷型
选择类型
已选考点
在线训练
可见权限
会员看题 会员看题和答案
试卷下载
试卷名称
调用试卷名称
共享人
唐老师
试卷卷型
1111
试卷难度
试卷来源
2020*西工大*期末
下载次数
168次
下载金币
5德优币(当前结余18德优币)
温馨提示
该试卷下载至自主题库后,下载、备课永久免费!
组卷付费
试卷名称
调用试卷名称
试卷来源
唐老师
试卷形式
全选 卷主 序号 卷型 难度 年份 省市区 题源 金币 操作
8 选择题 2018年 陕西 真题 2币 查看
8 选择题 2018年 陕西 真题 2币 查看
8 选择题 2018年 陕西 真题 2币 查看
8 选择题 2018年 陕西 真题 2币 查看
8 选择题 2018年 陕西 真题 2币 查看
8 选择题 2018年 陕西 真题 2币 查看
下载金币
5德优币(当前结余18德优币)
温馨提示
该试卷下载至自主题库后,下载、备课永久免费!
试题找茬
纠错类型
纠错描述
温馨提示
共享试题、试卷经平台审核通过后方可展示,并永久享用用户下载分红权!
平行组卷明细
2016年陕西省西安市西工大附中高考数学第十次适应性试卷(理科)的细目表
  • 题号
  • 考点
  • 操作
  • 1
  • 交、并、补集的混合运算,
  • 查看
  • 2
  • 共轭复数,复数的运算,
  • 查看
  • 3
  • 正态分布曲线的特点及曲线所表示的意义,
  • 查看
  • 4
  • 充分条件与必要条件,指数函数的单调性与最值,
  • 查看
  • 5
  • 程序框图,
  • 查看
  • 6
  • 平面向量共线(平行)的坐标表示,数量积表示两个平面向量的夹角,
  • 查看
  • 7
  • 函数y=Asin(ωx+φ)的图象变换,
  • 查看
  • 8
  • 三视图,
  • 查看
  • 9
  • 空间中直线与平面之间的位置关系,
  • 查看
  • 10
  • 抛物线的焦点与准线,
  • 查看
  • 11
  • 等比数列的通项公式,
  • 查看
  • 12
  • 利用导数研究函数的单调性,
  • 查看
  • 13
  • 数列的求和,
  • 查看
  • 14
  • 二项展开式的通项与项的系数,
  • 查看
  • 15
  • 圆的切线方程,
  • 查看
  • 16
  • 简单线性规划,
  • 查看
  • 17
  • 三角函数中的恒等变换应用,余弦定理,
  • 查看
  • 18
  • 直线与平面垂直,直线与平面所成的角,
  • 查看
  • 19
  • 离散型随机变量的均值(数学期望),
  • 查看
  • 20
  • 双曲线的几何特征,
  • 查看
  • 21
  • 利用导数研究函数的最值,利用导数研究曲线上某点切线方程,
  • 查看
  • 22
  • 相似三角形的判定,相似三角形的性质,与圆有关的比例线段,
  • 查看
  • 23
  • 参数方程化成普通方程,
  • 查看
  • 24
  • 绝对值不等式的解法,不等式的证明,
  • 查看
细目重组明细
2016年陕西省西安市西工大附中高考数学第十次适应性试卷(理科)的细目表
  • 题号
  • 考点
  • 选题
  • 1
  • 交、并、补集的混合运算,
  • 查看
  • 2
  • 共轭复数,复数的运算,
  • 查看
  • 3
  • 正态分布曲线的特点及曲线所表示的意义,
  • 查看
  • 4
  • 充分条件与必要条件,指数函数的单调性与最值,
  • 查看
  • 5
  • 程序框图,
  • 查看
  • 6
  • 平面向量共线(平行)的坐标表示,数量积表示两个平面向量的夹角,
  • 查看
  • 7
  • 函数y=Asin(ωx+φ)的图象变换,
  • 查看
  • 8
  • 三视图,
  • 查看
  • 9
  • 空间中直线与平面之间的位置关系,
  • 查看
  • 10
  • 抛物线的焦点与准线,
  • 查看
  • 11
  • 等比数列的通项公式,
  • 查看
  • 12
  • 利用导数研究函数的单调性,
  • 查看
  • 13
  • 数列的求和,
  • 查看
  • 14
  • 二项展开式的通项与项的系数,
  • 查看
  • 15
  • 圆的切线方程,
  • 查看
  • 16
  • 简单线性规划,
  • 查看
  • 17
  • 三角函数中的恒等变换应用,余弦定理,
  • 查看
  • 18
  • 直线与平面垂直,直线与平面所成的角,
  • 查看
  • 19
  • 离散型随机变量的均值(数学期望),
  • 查看
  • 20
  • 双曲线的几何特征,
  • 查看
  • 21
  • 利用导数研究函数的最值,利用导数研究曲线上某点切线方程,
  • 查看
  • 22
  • 相似三角形的判定,相似三角形的性质,与圆有关的比例线段,
  • 查看
  • 23
  • 参数方程化成普通方程,
  • 查看
  • 24
  • 绝对值不等式的解法,不等式的证明,
  • 查看
视频讲解
温馨提示
视频讲解正在加载中、请等待!
视频解析购买
支付方式
德优币数
本次消耗0德优币
温馨提示

客服电话:400-816-0029,服务邮箱:610066832@qq.com

视频资源

选择考点
存放类型
已选考点

平行组卷卷生成中,请等待

组卷异常提醒
温馨提示
试题篮存在未完成组卷,请前往组卷页面-组卷管理,点击“完成组卷”后,方可修改或添加试卷!
试题改考点
原考点
选择新考点
试题