首页 | 客服 | 上传赚现
AI助手
德优题库AI助手

AI助手

搜题▪组卷

(1)

服务热线

400-816-0029

    自建题库,必找德优

德优题库QQ交流群

首页 > 试卷详情
德优网2016陕西省西安市碑林区西工大附中高中数学模考模拟

2016年陕西省西安市西工大附中高考数学适应性试卷(文科)(四)

试卷总分:150分    命题人:dygzsxyn    考试时长:120分钟

一、选择题(12小题共60分)
1. (本题5分) 集合A={x∈N|x≤6},B={x∈R||2﹣x|>2},则AB=(  )
A.{0,5,6} 
B.{5,6}     
C.{4,6}    
D..{x|4<x≤6}
2. (本题5分) 复数z=1+iz的共轭复数,则zz﹣1=(  )
A.﹣2i      
B.i        
C.i       
D..2i
3. (本题5分) 已知命题p:所有指数函数都是单调函数,则¬p为(  )

A.所有的指数函数都不是单调函数

B.所有的单调函数都不是指数函数

C..存在一个指数函数,它不是单调函数  

D.存在一个单调函数,它不是指数函数

4. (本题5分) 已知几何体的三视图如图所示,可得这个几何体的体积是(  )
A..4       
B..6        
C..12      
D..18
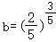
5. (本题5分) a=(,则abc的大小关系是(  )
A.acb   
B.abc  
C.cab
D.bca
6. (本题5分) 已知等差数列{an}的前n项和为Sn,若a4+a2013,且ABC三点共线(O为该直线外一点),则S2016等于(  )
A.2016      
B..1008     
C..22016    
D..21008
7. (本题5分) 为调查高中三年级男生的身高情况,选取了5000人作为样本,如图是此次调查中的某一项流程图,若输出的结果是3800,则身高在170cm以下的频率为(  )

A..0.24    
B..0.38     
C..0.62    
D..0.76
8. (本题5分) 要得到函数y=cos2x的图象,只需将函数y=sin(2x+)的图象沿x轴(  )
A.向左平移个单位              B.向左平移个单位
C.向右平移个单位              D..向右平移个单位
9. (本题5分) 已知实数ab满足0≤a≤2,0≤b≤1,则函数有极值的概率(  )
A.        
B.         
C.      
D.
10. (本题5分) 已知F1F2为椭圆的左、右焦点,若M为椭圆上一点,且△MF1F2的内切圆的周长等于3π,则满足条件的点M有(  )个.
A..0       
B..1        
C.2         
D..4
11. (本题5分) 已知不等式组所表示的平面区域为D,若直线(m+2)x﹣(m+1)y+2=0与平面区域D有公共点,则实数m的取值范围为(  )

A.(﹣4,0)                    

B.[﹣4,0] 

C..(﹣∞,﹣4)∪(0,+∞)   

D.(﹣∞,﹣4]∪[0,+∞)

12. (本题5分) 定义在R上的奇函数fx),当x≥0时,
fx)=
则关于x的函数Fx)=fx)﹣a(0<a<1)的所有零点之和为(  )
A.1﹣2a      B.2a﹣1      
C..1﹣2a   D..2a﹣1
二、填空题(4小题共20分)
13. (本题5分) 已知tanα=2,则sinαcosα=       
14. (本题5分) 德优题库奇函数f(x)的定义域为(-5,5),若x∈[0,5)时,f(x)的图象如图所示,则不等式f(x)<0的解集为       
15. (本题5分) 在△ABC中,若∠A=120°,
h
AB
h
AC
=-1,则|
h
BC
|的最小值是       
16. (本题5分) 已知数列{an}满足an+1-an=2n(n∈N*),a1=3,则
a
n
n
的最小值为       
三、解答题(8小题共70分)
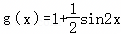
17. (本题12分) 已知函数
I)求函数yfx)图象的对称轴方程;
II)求函数hx)=fx)+gx)的最小正周期和值域.
18. (本题12分) 在平面直角坐标系xoy中,已知四点A(2,0),B(﹣2,0),C(0,﹣2),D(﹣2,﹣2),把坐标系平面沿y轴折为直二面角.
(1)求证:BCAD
(2)求三棱锥CAOD的体积.

19. (本题12分) 汽车业是碳排放量比较大的行业之一,欧盟规定,从2012年开始,将对二氧化碳排放量超过130g/kmM1型汽车进行惩罚,某检测单位对甲、乙两类M1型品牌汽车各抽取5辆进行二氧化碳排放量检测,记录如下(单位:g/km
80 110 120 140 150
100 120 x 100 160
经测算发现,乙品牌M1型汽车二氧化碳排放量的平均值为
(Ⅰ)从被检测的5辆甲类M1型品牌车中任取2辆,则至少有1辆二氧化碳排放量超过130g/km的概率是多少?
(Ⅱ)求表中x的值,并比较甲、乙两品牌M1型汽车二氧化碳排放量的稳定性.
其中,表示的平均数,n表示样本的数量,xi表示个体,s2表示方差)
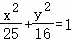
20. (本题12分) 已知F1F2分别是椭圆C+y2=1的左、右焦点.
(1)若P是第一象限内该椭圆上的一点,=﹣,求点P的坐标;
(2)设过定点M(0,2)的直线l与椭圆交于不同的两点AB,且∠AOB为锐角(其中O为坐标原点),求直线l的斜率k的取值范围.
21. (本题12分) 已知函数fx)=e2x﹣1﹣2xkx2
(Ⅰ)当k=0时,求fx)的单调区间;
(Ⅱ)若x≥0时,fx)≥0恒成立,求k的取值范围.
(Ⅲ)试比较n∈N*)的大小关系,并给出证明:(
22. (本题10分) 如图,AB是⊙O的直径,AC是⊙O的切线,BC交⊙O于点E
(Ⅰ)若DAC的中点,证明:DE是⊙O的切线;
(Ⅱ)若OACE,求∠ACB的大小.

23. (本题0分) 在极坐标系中,P为曲线C1p=2cosθ上的任意一点,点Q在射线OP上,且满足|OP|•|OQ|=6,记Q点的轨迹为C2
(Ⅰ)求曲线C2的直角坐标方程;
(Ⅱ)设直线l:θ=分别交C1C2于点AB两点,求|AB|.
24. (本题0分) (Ⅰ)已知c>0,关于x的不等式:x+|x﹣2c|≥2的解集为R.
求实数c的取值范围;
(Ⅱ)若c的最小值为m,又pqr是正实数,且满足p+q+r=3m,求证:p2+q2+r2≥3.
转载声明:
本题解析属于发布者收集录入,如涉及版权请向平台申诉! !版权申诉
温馨提示
对不起!这是别人共享的试卷,需要下载到自主题库后,可将该试卷添加到白板
试题下载
试题内容
调用试题名称
共享人
唐老师
试题题型
解答题
试题难度
试题题源
2020*西工大*期末
下载次数
168次
下载金币
5德优币(当前结余18德优币)
温馨提示
该试题下载至自主题库后,下载、备课永久免费!
相似题
试卷设置
试卷名称
省市校区
阶段科目
年份卷型
选择类型
已选考点
在线训练
可见权限
会员看题 会员看题和答案
试卷下载
试卷名称
调用试卷名称
共享人
唐老师
试卷卷型
1111
试卷难度
试卷来源
2020*西工大*期末
下载次数
168次
下载金币
5德优币(当前结余18德优币)
温馨提示
该试卷下载至自主题库后,下载、备课永久免费!
组卷付费
试卷名称
调用试卷名称
试卷来源
唐老师
试卷形式
全选 卷主 序号 卷型 难度 年份 省市区 题源 金币 操作
8 选择题 2018年 陕西 真题 2币 查看
8 选择题 2018年 陕西 真题 2币 查看
8 选择题 2018年 陕西 真题 2币 查看
8 选择题 2018年 陕西 真题 2币 查看
8 选择题 2018年 陕西 真题 2币 查看
8 选择题 2018年 陕西 真题 2币 查看
下载金币
5德优币(当前结余18德优币)
温馨提示
该试卷下载至自主题库后,下载、备课永久免费!
试题找茬
纠错类型
纠错描述
温馨提示
共享试题、试卷经平台审核通过后方可展示,并永久享用用户下载分红权!
平行组卷明细
2016年陕西省西安市西工大附中高考数学适应性试卷(文科)(四)的细目表
  • 题号
  • 考点
  • 操作
  • 1
  • 交集及其运算,
  • 查看
  • 2
  • 共轭复数,复数的运算,
  • 查看
  • 3
  • 命题的否定,
  • 查看
  • 4
  • 立体几何初步,基本立体图形,
  • 查看
  • 5
  • 指数函数的单调性与最值,
  • 查看
  • 6
  • 等差数列的性质,
  • 查看
  • 7
  • 程序框图,
  • 查看
  • 8
  • 函数y=Asin(ωx+φ)的图象变换,
  • 查看
  • 9
  • 利用导数研究函数的极值,几何概型,
  • 查看
  • 10
  • 直线与圆锥曲线的综合,
  • 查看
  • 11
  • 简单线性规划,
  • 查看
  • 12
  • 分段函数的应用,
  • 查看
  • 13
  • 同角三角函数间的基本关系,
  • 查看
  • 14
  • 奇偶性与单调性的综合,
  • 查看
  • 15
  • 基本不等式及其应用,余弦定理,
  • 查看
  • 16
  • 数列递推式,
  • 查看
  • 17
  • 三角函数的周期性,余弦函数的对称性,三角函数中的恒等变换应用,
  • 查看
  • 18
  • 棱柱、棱锥、棱台的体积,空间中直线与直线之间的位置关系,
  • 查看
  • 19
  • 用样本估计总体的集中趋势参数,用样本估计总体的离散程度参数,
  • 查看
  • 20
  • 直线与椭圆的综合,
  • 查看
  • 21
  • 函数恒成立问题,利用导数研究函数的单调性,利用导数研究函数的最值,
  • 查看
  • 22
  • 圆的切线的判定定理的证明,
  • 查看
  • 23
  • 参数方程化成普通方程,
  • 查看
  • 24
  • 不等式的证明,
  • 查看
细目重组明细
2016年陕西省西安市西工大附中高考数学适应性试卷(文科)(四)的细目表
  • 题号
  • 考点
  • 选题
  • 1
  • 交集及其运算,
  • 查看
  • 2
  • 共轭复数,复数的运算,
  • 查看
  • 3
  • 命题的否定,
  • 查看
  • 4
  • 立体几何初步,基本立体图形,
  • 查看
  • 5
  • 指数函数的单调性与最值,
  • 查看
  • 6
  • 等差数列的性质,
  • 查看
  • 7
  • 程序框图,
  • 查看
  • 8
  • 函数y=Asin(ωx+φ)的图象变换,
  • 查看
  • 9
  • 利用导数研究函数的极值,几何概型,
  • 查看
  • 10
  • 直线与圆锥曲线的综合,
  • 查看
  • 11
  • 简单线性规划,
  • 查看
  • 12
  • 分段函数的应用,
  • 查看
  • 13
  • 同角三角函数间的基本关系,
  • 查看
  • 14
  • 奇偶性与单调性的综合,
  • 查看
  • 15
  • 基本不等式及其应用,余弦定理,
  • 查看
  • 16
  • 数列递推式,
  • 查看
  • 17
  • 三角函数的周期性,余弦函数的对称性,三角函数中的恒等变换应用,
  • 查看
  • 18
  • 棱柱、棱锥、棱台的体积,空间中直线与直线之间的位置关系,
  • 查看
  • 19
  • 用样本估计总体的集中趋势参数,用样本估计总体的离散程度参数,
  • 查看
  • 20
  • 直线与椭圆的综合,
  • 查看
  • 21
  • 函数恒成立问题,利用导数研究函数的单调性,利用导数研究函数的最值,
  • 查看
  • 22
  • 圆的切线的判定定理的证明,
  • 查看
  • 23
  • 参数方程化成普通方程,
  • 查看
  • 24
  • 不等式的证明,
  • 查看
视频讲解
温馨提示
视频讲解正在加载中、请等待!
视频解析购买
支付方式
德优币数
本次消耗0德优币
温馨提示

客服电话:400-816-0029,服务邮箱:610066832@qq.com

视频资源

选择考点
存放类型
已选考点

平行组卷卷生成中,请等待

组卷异常提醒
温馨提示
试题篮存在未完成组卷,请前往组卷页面-组卷管理,点击“完成组卷”后,方可修改或添加试卷!