首页 | 客服 | 上传赚现
AI助手
德优题库AI助手

AI助手

搜题▪组卷

(1)

服务热线

400-816-0029

    自建题库,必找德优

德优题库QQ交流群

首页 > 试卷详情
德优网2017陕西省西安市未央区西安中学高中数学考试期末高一下

2016-2017学年陕西省西安中学平行班高一(下)期末数学试卷

试卷总分:100分    命题人:dygzsxyn    考试时长:120分钟

一、选择题(10小题共40分)
1. (本题4分) 已知ab∈R且ab,则下列不等关系正确的是(  )
A.a2b2     
B.|a|<|b|   
C.>1   
D.a3b3
2. (本题4分) 已知0<x<1,则x(3﹣3x)取最大值时x的值为(  )
A.      
B.       
C.        
D.
3. (本题4分) 在△ABC中,角ABC所对的边分别为abc,若a=1,bA=30°,则角B等于(  )
A..60°或120°                
B.30°或150°
C..60°
D.120°
4. (本题4分) 已知{an}是等比数列,且an>0,a2a4+2a3a5+a4a6=25,那么a3+a5的值等于(  )
A..5       
B..10       
C.15        
D.20
5. (本题4分) 在等差数列{an}中,3(a3+a5)+2(a7+a10+a13)=24,则此数列前13项的和是(  )
A..13      
B..26       
C..52      
D..56
6. (本题4分) 已知数列{an}的前n项和为Sn,且,则Sn取最小值时,n的值是(  )
A..3       
B..4        
C..5       
D..6
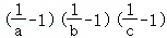
7. (本题4分) abc都是正实数,且a+b+c=1,则的取值范围是(  )
A.[0,)  
B..[8,+∞)
C..[1,8)
D..[,1)
8. (本题4分) 如图,要测量底部不能到达的某铁塔AB的高度,在塔的同一侧选择CD两观测点,且在CD两点测得塔顶的仰角分别为45°、30°.在水平面上测得∠BCD=120°,CD两地相距600m,则铁塔AB的高度是(  )

A.120m   
B.480m      
C..240m 
D..600m
9. (本题4分) 某货运员拟运送甲、乙两种货物,每件货物的体积、重量、可获利润如表所示:
  体积(升/件) 重量(公斤/件) 利润(元/件)
20 10 8
10 20 10
在一次运输中,货物总体积不超过110升,总重量不超过100公斤,那么在合理的安排下,一次运输获得的最大利润为(  )

A.65元     

B..62元    

C.60元     

D..56元

10. (本题4分) 已知数列{an}的前n项和是Sn,且满足an+3SnSn﹣1=0(n≥2),若,则a1=(  )
A.      
B.         
C..5       
D.1
二、填空题(5小题共20分)
11. (本题4分) 不等式<1的解集为      
12. (本题4分) ab是实数,且a+b=3,则2a+2b的最小值是    .
13. (本题4分) 一个等比数列前n项和为48,前2n项和为60,则前3n项和为     .
14. (本题4分) ABC中,a•cosAb•cosB,则该三角形的形状为    
15. (本题4分) 已知平面区域D由以A(2,4)、B(5,2)、C(3,1)为顶点的三角形内部和边界组成,若在区域D上有无穷多个点(xy)可使目标函数zx+my取得最小值,则m          .
三、解答题(4小题共40分)
16. (本题10分) 在等差数列{an}中,a2=4,a4+a7=15.
(1)求数列{an}的通项公式;
(2)设bn+2n,求b1+b2+b3+…+b9的值.
17. (本题10分) 已知ABC为△ABC的三内角,且其对边分别为abc,若acosC+ccosA=﹣2bcosA
(1)求角A的值;
(2)若a=2b+c=4,求△ABC的面积.
18. (本题10分) 已知函数fx)=x2﹣(m+1)x+mgx)=﹣(m+4)x﹣4+mm∈R.
(1)比较fx)与gx)的大小;
(2)解不等式fx)≤0.
19. (本题10分) 已知函数fx)=x2﹣(a+1)x+1(a∈R).
(1)若关于x的不等式fx)≥0的解集为R,求实数a的取值范围;
(2)若关于x的不等式fx)<0的解集是{x|bx<2},求ab的值;
(3)若关于x的不等式fx)≤0的解集是 P,集合Q={x|0≤x≤1},若 P∩Q=∅,求实数a的取值范围.
转载声明:
本题解析属于发布者收集录入,如涉及版权请向平台申诉! !版权申诉
温馨提示
对不起!这是别人共享的试卷,需要下载到自主题库后,可将该试卷添加到白板
试题下载
试题内容
调用试题名称
共享人
唐老师
试题题型
解答题
试题难度
试题题源
2020*西工大*期末
下载次数
168次
下载金币
5德优币(当前结余18德优币)
温馨提示
该试题下载至自主题库后,下载、备课永久免费!
相似题
试卷设置
试卷名称
省市校区
阶段科目
年份卷型
选择类型
已选考点
在线训练
可见权限
会员看题 会员看题和答案
试卷下载
试卷名称
调用试卷名称
共享人
唐老师
试卷卷型
1111
试卷难度
试卷来源
2020*西工大*期末
下载次数
168次
下载金币
5德优币(当前结余18德优币)
温馨提示
该试卷下载至自主题库后,下载、备课永久免费!
组卷付费
试卷名称
调用试卷名称
试卷来源
唐老师
试卷形式
全选 卷主 序号 卷型 难度 年份 省市区 题源 金币 操作
8 选择题 2018年 陕西 真题 2币 查看
8 选择题 2018年 陕西 真题 2币 查看
8 选择题 2018年 陕西 真题 2币 查看
8 选择题 2018年 陕西 真题 2币 查看
8 选择题 2018年 陕西 真题 2币 查看
8 选择题 2018年 陕西 真题 2币 查看
下载金币
5德优币(当前结余18德优币)
温馨提示
该试卷下载至自主题库后,下载、备课永久免费!
试题找茬
纠错类型
纠错描述
温馨提示
共享试题、试卷经平台审核通过后方可展示,并永久享用用户下载分红权!
平行组卷明细
2016-2017学年陕西省西安中学平行班高一(下)期末数学试卷的细目表
  • 题号
  • 考点
  • 操作
  • 1
  • 不等式比较大小,
  • 查看
  • 2
  • 基本不等式及其应用,
  • 查看
  • 3
  • 正弦定理,
  • 查看
  • 4
  • 等比数列的性质,
  • 查看
  • 5
  • 等差数列的性质,等差数列的前n项和,
  • 查看
  • 6
  • 数列递推式,
  • 查看
  • 7
  • 基本不等式及其应用,
  • 查看
  • 8
  • 解三角形,
  • 查看
  • 9
  • 简单线性规划,
  • 查看
  • 10
  • 数列的求和,
  • 查看
  • 11
  • 其他不等式的解法,
  • 查看
  • 12
  • 基本不等式及其应用,
  • 查看
  • 13
  • 等比数列的性质,
  • 查看
  • 14
  • 正弦定理,余弦定理,
  • 查看
  • 15
  • 简单线性规划,经验回归方程与经验回归直线,
  • 查看
  • 16
  • 等差数列的通项公式,数列的求和,
  • 查看
  • 17
  • 正弦定理,
  • 查看
  • 18
  • 不等式比较大小,一元二次不等式及其应用,
  • 查看
  • 19
  • 交集及其运算,一元二次不等式及其应用,
  • 查看
细目重组明细
2016-2017学年陕西省西安中学平行班高一(下)期末数学试卷的细目表
  • 题号
  • 考点
  • 选题
  • 1
  • 不等式比较大小,
  • 查看
  • 2
  • 基本不等式及其应用,
  • 查看
  • 3
  • 正弦定理,
  • 查看
  • 4
  • 等比数列的性质,
  • 查看
  • 5
  • 等差数列的性质,等差数列的前n项和,
  • 查看
  • 6
  • 数列递推式,
  • 查看
  • 7
  • 基本不等式及其应用,
  • 查看
  • 8
  • 解三角形,
  • 查看
  • 9
  • 简单线性规划,
  • 查看
  • 10
  • 数列的求和,
  • 查看
  • 11
  • 其他不等式的解法,
  • 查看
  • 12
  • 基本不等式及其应用,
  • 查看
  • 13
  • 等比数列的性质,
  • 查看
  • 14
  • 正弦定理,余弦定理,
  • 查看
  • 15
  • 简单线性规划,经验回归方程与经验回归直线,
  • 查看
  • 16
  • 等差数列的通项公式,数列的求和,
  • 查看
  • 17
  • 正弦定理,
  • 查看
  • 18
  • 不等式比较大小,一元二次不等式及其应用,
  • 查看
  • 19
  • 交集及其运算,一元二次不等式及其应用,
  • 查看
视频讲解
温馨提示
视频讲解正在加载中、请等待!
视频解析购买
支付方式
德优币数
本次消耗0德优币
温馨提示

客服电话:400-816-0029,服务邮箱:610066832@qq.com

视频资源

选择考点
存放类型
已选考点

平行组卷卷生成中,请等待

组卷异常提醒
温馨提示
试题篮存在未完成组卷,请前往组卷页面-组卷管理,点击“完成组卷”后,方可修改或添加试卷!