首页 | 客服 | 上传赚现
AI助手
德优题库AI助手

AI助手

搜题▪组卷

(1)

服务热线

400-816-0029

    自建题库,必找德优

德优题库QQ交流群

首页 > 试卷详情
德优网2023陕西省西安市碑林区交大附中高中数学考试月考高三上

2023-2024学年陕西省西安交大附中高三(上)第六次诊断数学试卷(文科)

试卷总分:150分    命题人:dygzsxyn    考试时长:120分钟

一、选择题(12小题共60分)
1. (本题5分) 若集合,则AB=(  )
A.[﹣1,1) 
B.(0,1]     
C..[0,1) 
D.(0,1)
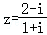
2. (本题5分) 设复数,则=(  )
A.     
B.        
C.     
D.
3. (本题5分) 已知平面α,β,直线l满足lα,则“l⊥β”是“α⊥β”的(  )
A.充分不必要条件  
B.必要不充分条件  
C.充要条件
D.既不充分也不必要条件
4. (本题5分) 已知等差数列{an}的前n项和为Sna5a7是关于x的方程x2﹣4x+k=0的两根,则S11=(  )
A.22        
B..24       
C..26      
D..28
5. (本题5分) 已知向量的夹角为60°,且,则=(  )
A.    
B.     
C.44        
D..52
6. (本题5分) 函数fx)=x2+4x+5在区间[m,0]上的值域为[1,5],则实数m的取值范围是(  )
A.m≤﹣2    
B.﹣4≤m≤﹣2
C..﹣2≤m≤0  
D..﹣4≤m≤0
7. (本题5分) 为了得到函数y(sin2x+cos2x)的图象,只需把函数y=2sin2x图象上所有的点(  )
A.向左平移个单位长度 B.向左平移个单位长度
C..向右平移个单位长度  D.向右平移个单位长度
8. (本题5分) 如图,网格纸中小正方形的边长为1,粗线画出的是某几何体的三视图,则该几何体的体积为(  )
A.2         
B.       
C.      
D..8
9. (本题5分) 已知,若15cos2θ﹣14cosθ+11=0,则tanθ=(  )
A.        
B.     
C.
D.
10. (本题5分) 在△ABC中,角ABC所对的边分别为abc,若sin2A﹣sin2C+sin2B=sinAsinB,且△ABC的外接圆的半径为,则三角形ABC面积的最大值为(  )
A.       
B.    
C.   
D.
11. (本题5分) 正三棱柱ABCA1B1C1的底面边长是4,侧棱长是6,MN分别为BB1CC1的中点,若点P是三棱柱内(含棱柱的表面)的动点,MP∥平面AB1N,则动点P的轨迹面积是(  )
A.5      
B.5         
C.    
D.
12. (本题5分) 已知函数有两个极值点,则t的取值范围为(  )
A.e3,+∞)   
B.
C.
D.
二、填空题(4小题共20分)
13. (本题5分) 已知函数fx)=ax3+bx2的图象在(1,f(1))处的切线方程为7xy﹣4=0,则ab     
14. (本题5分) 已知点M是圆(x﹣4)2+y2=16上的动点,点N是圆x2+(y﹣3)2=9上的动点,则|MN|的最大值为      
15. (本题5分) 若实数xy满足约束条件,则x2+y2的取值范围为      
16. (本题5分) 已知椭圆的左、右焦点分别为F1F2,点PC上异于左、右顶点的一点,△PF1F2外接圆的圆心为MO为坐标原点,则的最小值为       
三、解答题(7小题共70分)
17. (本题12分) 已知数列{an}满足a1=5,an+1=2an﹣2n+1.
(1)令bnan﹣2n﹣1,求证:数列{bn}为等比数列;
(2)求数列{an}的前n项和为Tn
18. (本题12分) 某骑行爱好者近段时间在专业人士指导下对骑行情况进行了统计,各次骑行期间的身体综合指标评分x与对应用时y(单位:小时)如下表:
身体综合指标评分(x 1 2 3 4 5
用时(y/小时) 10 8.5 8 7 6.5
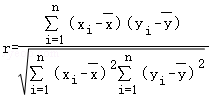
(1)由上表数据看出,可用线性回归模型拟合yx的关系,请用相关系数如以说明;
(2)建立y关于x的回归方程.
参考数据和参考公式:相关系数
19. (本题12分) 已知直线,与双曲线的左支交于AB两点.
(1)求实数k的取值范围;
(2)若△OAB的面积为O为坐标原点),求此时直线l的斜率k的值.
20. (本题12分) 如图,在三棱柱ABCA1B1C1中,AA1AC=2,∠A1AC=60°,,点DEF分别为线段BCAA1A1C1的中点,且BCA1D
(1)证明:平面ACC1A1⊥平面ABC
(2)若AB=1,求三棱锥A1DEF的体积.

21. (本题12分) 已知函数
(1)当m=0时,求fx)在(1,f(1))处的切线方程;
(2)设函数,若Fx)≥0恒成立,求nm的最小值.
22. (本题10分) 在直角坐标系xOy中,直线,曲线C2的参数方程是(θ为参数),以坐标原点为极点,x轴的正半轴为极轴建立极坐标系.
(1)求C1的极坐标方程和C2的普通方程;
(2)把C1绕坐标原点沿逆时针方向旋转得到直线C3C3C2交于AB两点,求|AB|.
23. (本题0分) .设函数fx)=|2x+1|﹣|x﹣4|.
(1)解不等式fx)>0;
(2)若fx)+3|x﹣4|≥m对一切实数x均成立,求m的取值范围.
转载声明:
本题解析属于发布者收集录入,如涉及版权请向平台申诉! !版权申诉

dygzsxyn

2023-03-02

高中数学 | 考试 | 难度:2.04

  • 下载量
  • 浏览量
  • 收益额
  • 0
  • 12
  • 0
下载试卷 收藏
平行组卷 细目重组
试卷分析 加入白板
加卷篮 更多功能
温馨提示
对不起!这是别人共享的试卷,需要下载到自主题库后,可将该试卷添加到白板
试题下载
试题内容
调用试题名称
共享人
唐老师
试题题型
解答题
试题难度
试题题源
2020*西工大*期末
下载次数
168次
下载金币
5德优币(当前结余18德优币)
温馨提示
该试题下载至自主题库后,下载、备课永久免费!
相似题
试卷设置
试卷名称
省市校区
阶段科目
年份卷型
选择类型
已选考点
在线训练
可见权限
会员看题 会员看题和答案
试卷下载
试卷名称
调用试卷名称
共享人
唐老师
试卷卷型
1111
试卷难度
试卷来源
2020*西工大*期末
下载次数
168次
下载金币
5德优币(当前结余18德优币)
温馨提示
该试卷下载至自主题库后,下载、备课永久免费!
组卷付费
试卷名称
调用试卷名称
试卷来源
唐老师
试卷形式
全选 卷主 序号 卷型 难度 年份 省市区 题源 金币 操作
8 选择题 2018年 陕西 真题 2币 查看
8 选择题 2018年 陕西 真题 2币 查看
8 选择题 2018年 陕西 真题 2币 查看
8 选择题 2018年 陕西 真题 2币 查看
8 选择题 2018年 陕西 真题 2币 查看
8 选择题 2018年 陕西 真题 2币 查看
下载金币
5德优币(当前结余18德优币)
温馨提示
该试卷下载至自主题库后,下载、备课永久免费!
试题找茬
纠错类型
纠错描述
温馨提示
共享试题、试卷经平台审核通过后方可展示,并永久享用用户下载分红权!
平行组卷明细
2023-2024学年陕西省西安交大附中高三(上)第六次诊断数学试卷(文科)的细目表
  • 题号
  • 考点
  • 操作
  • 1
  • 交集及其运算,指、对数不等式的解法,
  • 查看
  • 2
  • 共轭复数,复数的模,复数的运算,
  • 查看
  • 3
  • 充分条件与必要条件,直线与平面垂直,平面与平面垂直,
  • 查看
  • 4
  • 一元二次方程的根的分布与系数的关系,等差数列的前n项和,
  • 查看
  • 5
  • 平面向量的数量积运算,
  • 查看
  • 6
  • 二次函数的定义域,
  • 查看
  • 7
  • 函数y=Asin(ωx+φ)的图象变换,
  • 查看
  • 8
  • 三视图,
  • 查看
  • 9
  • 同角三角函数间的基本关系,两角和与差的三角函数,
  • 查看
  • 10
  • 利用正弦定理解三角形,
  • 查看
  • 11
  • 轨迹方程,
  • 查看
  • 12
  • 利用导数研究函数的极值,
  • 查看
  • 13
  • 利用导数研究曲线上某点切线方程,
  • 查看
  • 14
  • 直线与圆的位置关系,圆与圆的位置关系及其判定,
  • 查看
  • 15
  • 简单线性规划,
  • 查看
  • 16
  • 椭圆的几何特征,
  • 查看
  • 17
  • 等比数列的概念与判定,数列求和的其他方法,
  • 查看
  • 18
  • 样本相关系数,一元线性回归模型,
  • 查看
  • 19
  • 双曲线的几何特征,直线与双曲线的综合,
  • 查看
  • 20
  • 棱柱、棱锥、棱台的体积,平面与平面垂直,
  • 查看
  • 21
  • 利用导数研究函数的最值,利用导数研究曲线上某点切线方程,
  • 查看
  • 22
  • 参数方程化成普通方程,
  • 查看
  • 23
  • 绝对值不等式的解法,
  • 查看
细目重组明细
2023-2024学年陕西省西安交大附中高三(上)第六次诊断数学试卷(文科)的细目表
  • 题号
  • 考点
  • 选题
  • 1
  • 交集及其运算,指、对数不等式的解法,
  • 查看
  • 2
  • 共轭复数,复数的模,复数的运算,
  • 查看
  • 3
  • 充分条件与必要条件,直线与平面垂直,平面与平面垂直,
  • 查看
  • 4
  • 一元二次方程的根的分布与系数的关系,等差数列的前n项和,
  • 查看
  • 5
  • 平面向量的数量积运算,
  • 查看
  • 6
  • 二次函数的定义域,
  • 查看
  • 7
  • 函数y=Asin(ωx+φ)的图象变换,
  • 查看
  • 8
  • 三视图,
  • 查看
  • 9
  • 同角三角函数间的基本关系,两角和与差的三角函数,
  • 查看
  • 10
  • 利用正弦定理解三角形,
  • 查看
  • 11
  • 轨迹方程,
  • 查看
  • 12
  • 利用导数研究函数的极值,
  • 查看
  • 13
  • 利用导数研究曲线上某点切线方程,
  • 查看
  • 14
  • 直线与圆的位置关系,圆与圆的位置关系及其判定,
  • 查看
  • 15
  • 简单线性规划,
  • 查看
  • 16
  • 椭圆的几何特征,
  • 查看
  • 17
  • 等比数列的概念与判定,数列求和的其他方法,
  • 查看
  • 18
  • 样本相关系数,一元线性回归模型,
  • 查看
  • 19
  • 双曲线的几何特征,直线与双曲线的综合,
  • 查看
  • 20
  • 棱柱、棱锥、棱台的体积,平面与平面垂直,
  • 查看
  • 21
  • 利用导数研究函数的最值,利用导数研究曲线上某点切线方程,
  • 查看
  • 22
  • 参数方程化成普通方程,
  • 查看
  • 23
  • 绝对值不等式的解法,
  • 查看
视频讲解
温馨提示
视频讲解正在加载中、请等待!
视频解析购买
支付方式
德优币数
本次消耗0德优币
温馨提示

客服电话:400-816-0029,服务邮箱:610066832@qq.com

视频资源

选择考点
存放类型
已选考点

平行组卷卷生成中,请等待

组卷异常提醒
温馨提示
试题篮存在未完成组卷,请前往组卷页面-组卷管理,点击“完成组卷”后,方可修改或添加试卷!