首页 | 客服 | 上传赚现
AI助手
德优题库AI助手

AI助手

搜题▪组卷

(1)

服务热线

400-816-0029

    自建题库,共享分红

德优题库QQ交流群

232957. (2023•交大附中•高三上六月) 某骑行爱好者近段时间在专业人士指导下对骑行情况进行了统计,各次骑行期间的身体综合指标评分x与对应用时y(单位:小时)如下表:
身体综合指标评分(x 1 2 3 4 5
用时(y/小时) 10 8.5 8 7 6.5
(1)由上表数据看出,可用线性回归模型拟合yx的关系,请用相关系数如以说明;
(2)建立y关于x的回归方程.
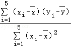
参考数据和参考公式:相关系数
共享时间:2023-03-02 难度:2
[考点]
样本相关系数,一元线性回归模型,
[答案]
(1)答案见解析;
(2)
[解析]
解:(1)由题意得


因此相关系数
即相关系数近似为﹣0.98,yx负相关,且相关程度相当高,从而可用线性回归模型拟合yx的关系;
(2)由(1)中数据,
所以y关于x的回归方程为
[点评]
本题考查了"样本相关系数,一元线性回归模型,",属于"易错题",熟悉题型是解题的关键。
转载声明:
本题解析属于发布者收集录入,如涉及版权请向平台申诉! !版权申诉
232024. (2023•西咸新区•高三上一月) 大学生刘铭去某工厂实习,实习结束时从自己制作的某种零件中随机选取了10个样品,测量每个零件的横截面积(单位:mm2)和耗材量(单位:mm3),得到如下数据:
样本号i 1 2 3 4 5 6 7 8 9 10 总和
零件的横截面积xi 0.03 0.05 0.04 0.07 0.07 0.04 0.05 0.06 0.06 0.05 0.52
耗材量yi 0.24 0.40 0.23 0.55 0.50 0.34 0.35 0.45 0.43 0.41 3.9
并计算得
(Ⅰ)估算刘铭同学制作的这种零件平均每个零件的横截面积以及平均一个零件的耗材量;
(Ⅱ)求刘铭同学制作的这种零件的横截面积和耗材量的样本相关系数(精确到0.01);
(Ⅲ)刘铭同学测量了自己实习期制作的所有这种零件的横截面积,并得到所有这种零件的横截面积的和为182mm2,若这种零件的耗材量和其横截面积近似成正比,请帮刘铭计算一下他制作的零件的总耗材量的估计值.
附:相关系数
共享时间:2023-10-19 难度:3 相似度:0.83

dygzsxyn

2023-03-02

高中数学 | 高三上 | 解答题

  • 下载量
  • 浏览量
  • 收益额
  • 0
  • 3
  • 0
相同试题
试题下载
试题内容
调用试题名称
共享人
唐老师
试题题型
解答题
试题难度
试题题源
2020*西工大*期末
下载次数
168次
下载金币
5德优币(当前结余18德优币)
温馨提示
该试题下载至自主题库后,下载、备课永久免费!
试卷设置
试卷名称
省市校区
阶段科目
年份卷型
选择类型
已选考点
在线训练
视频讲解
温馨提示
视频讲解正在加载中、请等待!
温馨提示
对不起!这是别人共享的试题,需要下载到自主题库后,可将该试题添加到白板
视频解析购买
支付方式
德优币数
本次消耗0德优币
温馨提示

客服电话:400-816-0029,服务邮箱:610066832@qq.com

视频资源

试题找茬
纠错类型
纠错描述
温馨提示
共享试题、试卷经平台审核通过后方可展示,并永久享用用户下载分红权!