首页 | 客服 | 上传赚现
AI助手
德优题库AI助手

AI助手

搜题▪组卷

(1)

服务热线

400-816-0029

    自建题库,必找德优

德优题库QQ交流群

首页 > 试卷详情
德优网2023陕西省西安市西咸新区高中数学考试月考高三上

2023-2024学年陕西省西安市西咸新区高三(上)月考数学试卷(理科)

试卷总分:150分    命题人:dygzsxyn    考试时长:120分钟

一、选择题(12小题共60分)
1. (本题5分) i为虚数单位,则复数的虚部为(  )
A.       
B.      
C.    
D.
2. (本题5分) 已知全集UR,集合A={x|x≥2或x≤﹣3},B={x|0≤x≤4},则(∁UA)∩B=(  )
A.[0,2)   
B..[0,3)  
C..(2,4]
D..(3,4]
3. (本题5分) “二十四节气”是中国古代劳动人民伟大的智慧结晶,其划分如图所示.小明打算在网上搜集一些与二十四节气有关的古诗.他准备在春季的6个节气与夏季的6个节气中共选出3个节气,则小明选取节气的不同情况的种数是(  )

A.90
B..180              
C..220     
D.360
4. (本题5分) 已知pa>1,q,则pq的(  )
A.充分不必要条件  
B..必要不充分条件
C.充要条件
D.既不充分也不必要条件
5. (本题5分) 把函数yfx)图象上所有点的横坐标伸长到原来的2倍,纵坐标不变,再把所得曲线向右平移个单位长度,得到函数的图象,则fx)=(  )
A.                B.   
C.                D.
6. (本题5分) 若函数fx)=lg(1﹣ax)在区间(0,1)内单调递减,则实数a的取值范围为(  )
A..(0,+∞)
B.(0,1)
C..(0,1]       
D..(﹣∞,0)
7. (本题5分) 在长方体ABCDA1B1C1D1中,AB=3,AD=4,AA1=2,则异面直线ACBC1所成角的余弦值是(  )
A.     
B.      
C.
D.
8. (本题5分) 若实数xy满足约束条件的最小值为(  )

A.       

B.       

C.      

D.

9. (本题5分) 已知圆锥的底面半径为4,其侧面展开图是一个圆心角为的扇形,则该圆锥的体积为(  )
A.48π      
B..45π     
C.16π      
D..15π
10. (本题5分) F1A分别是椭圆的左焦点和右顶点,点P为椭圆上异于A点的任意一点,则使得成立的点P的个数为(  )
A.1         
B.2         
C..3       
D..4
11. (本题5分) 定义在R上的函数fx)满足fx+2)=fx),yfx+1)是偶函数,若fx)在(0,1)上单调递增,afln2),,则(  )
A.bac   
B.cab    
C.abc   
D.bca
12. (本题5分) 已知双曲线的焦点关于渐近线的对称点在双曲线E上,则双曲线E的离心率为(  )
A..2       
B.       
C.     
D.
二、填空题(4小题共20分)
13. (本题5分) 一个路口的红绿灯,红灯的时间为40秒,黄灯的时间为5秒,绿灯的时间为45秒,则当你到达该路口时,看见黄灯的概率为          
14. (本题5分) 已知函数fx)=2sin(ωx+φ)图象的相邻两条对称轴之间的距离为,且关于点对称,则φ的值为            
15. (本题5分) 在△ABC中,ABAC=5,BC=6,EF分别为边BCAB的中点,则          
16. (本题5分) 已知函数fx)=x2﹣2xlogax既有极小值又有极大值,则实数a的取值范围是     
三、解答题(7小题共70分)
17. (本题12分) 设等差数列{an}的前n项和为Sna5=3,S5=35.
(1)求{an}的通项公式;
(2)若bn=|an|,求数列{bn}的前n项和Tn
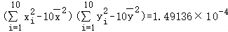
18. (本题12分) 大学生刘铭去某工厂实习,实习结束时从自己制作的某种零件中随机选取了10个样品,测量每个零件的横截面积(单位:mm2)和耗材量(单位:mm3),得到如下数据:
样本号i 1 2 3 4 5 6 7 8 9 10 总和
零件的横截面积xi 0.03 0.05 0.04 0.07 0.07 0.04 0.05 0.06 0.06 0.05 0.52
耗材量yi 0.24 0.40 0.23 0.55 0.50 0.34 0.35 0.45 0.43 0.41 3.9
并计算得
(Ⅰ)估算刘铭同学制作的这种零件平均每个零件的横截面积以及平均一个零件的耗材量;
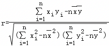
(Ⅱ)求刘铭同学制作的这种零件的横截面积和耗材量的样本相关系数(精确到0.01);
(Ⅲ)刘铭同学测量了自己实习期制作的所有这种零件的横截面积,并得到所有这种零件的横截面积的和为182mm2,若这种零件的耗材量和其横截面积近似成正比,请帮刘铭计算一下他制作的零件的总耗材量的估计值.
附:相关系数
19. (本题12分) 已知抛物线y2=2pxp>0)的焦点为F,点A(2,y0)为抛物线上一点,且|AF|=4.
(1)求抛物线的方程;
(2)不过原点的直线lyx+m与抛物线交于不同两点PQ,若OPOQ,求m的值.
20. (本题12分) 如图,在三棱锥PABC中,PA⊥底面ABC,∠ABC=90°.
(1)求证:平面PAB⊥平面PBC
(2)若MPC的中点,二面角PBCA的大小为45°且,求直线AM与平面PBC所成角的正切值.

21. (本题12分) 已知曲线Cfx)=sin2x+aexxa∈R).
(1)若曲线C过点P(0,﹣1),求曲线C在点P处的切线方程;
(2)若0<a≤1,讨论的零点个数.
22. (本题10分) 在直角坐标系xOy中,⊙M的圆心为M(4,4),半径为4.
(1)写出⊙M的一个参数方程;
(2)直线l与⊙M相切,且与x轴和y轴的正半轴分别交于AB两点,若|OA|=|OB|,以坐标原点为极点,x轴正半轴为极轴建立极坐标系,求直线l的极坐标方程.
23. (本题0分) .已知函数fx)=|x﹣1|+|x+1|.
(1)求不等式fx)<3的解集;
(2)若二次函数y=﹣x2﹣2x+m与函数yfx)的图象恒有公共点,求实数m的取值范围.
转载声明:
本题解析属于发布者收集录入,如涉及版权请向平台申诉! !版权申诉

dygzsxyn

2023-10-19

高中数学 | 考试 | 难度:1.78

  • 下载量
  • 浏览量
  • 收益额
  • 0
  • 14
  • 0
下载试卷 收藏
平行组卷 细目重组
试卷分析 加入白板
加卷篮 更多功能
温馨提示
对不起!这是别人共享的试卷,需要下载到自主题库后,可将该试卷添加到白板
试题下载
试题内容
调用试题名称
共享人
唐老师
试题题型
解答题
试题难度
试题题源
2020*西工大*期末
下载次数
168次
下载金币
5德优币(当前结余18德优币)
温馨提示
该试题下载至自主题库后,下载、备课永久免费!
相似题
试卷设置
试卷名称
省市校区
阶段科目
年份卷型
选择类型
已选考点
在线训练
可见权限
会员看题 会员看题和答案
试卷下载
试卷名称
调用试卷名称
共享人
唐老师
试卷卷型
1111
试卷难度
试卷来源
2020*西工大*期末
下载次数
168次
下载金币
5德优币(当前结余18德优币)
温馨提示
该试卷下载至自主题库后,下载、备课永久免费!
组卷付费
试卷名称
调用试卷名称
试卷来源
唐老师
试卷形式
全选 卷主 序号 卷型 难度 年份 省市区 题源 金币 操作
8 选择题 2018年 陕西 真题 2币 查看
8 选择题 2018年 陕西 真题 2币 查看
8 选择题 2018年 陕西 真题 2币 查看
8 选择题 2018年 陕西 真题 2币 查看
8 选择题 2018年 陕西 真题 2币 查看
8 选择题 2018年 陕西 真题 2币 查看
下载金币
5德优币(当前结余18德优币)
温馨提示
该试卷下载至自主题库后,下载、备课永久免费!
试题找茬
纠错类型
纠错描述
温馨提示
共享试题、试卷经平台审核通过后方可展示,并永久享用用户下载分红权!
平行组卷明细
2023-2024学年陕西省西安市西咸新区高三(上)月考数学试卷(理科)的细目表
  • 题号
  • 考点
  • 操作
  • 1
  • 复数的除法运算,
  • 查看
  • 2
  • 交、并、补集的混合运算,
  • 查看
  • 3
  • 排列组合的综合应用,
  • 查看
  • 4
  • 充分条件与必要条件,
  • 查看
  • 5
  • 函数y=Asin(ωx+φ)的图象变换,
  • 查看
  • 6
  • 复合函数的单调性,对数函数的图象,
  • 查看
  • 7
  • 异面直线及其所成的角,
  • 查看
  • 8
  • 简单线性规划,
  • 查看
  • 9
  • 旋转体(圆柱、圆锥、圆台)的体积,
  • 查看
  • 10
  • 椭圆的几何特征,
  • 查看
  • 11
  • 奇偶性与单调性的综合,抽象函数的周期性,
  • 查看
  • 12
  • 双曲线的几何特征,
  • 查看
  • 13
  • 几何概型,
  • 查看
  • 14
  • 正弦函数的图象,
  • 查看
  • 15
  • 平面向量数量积的性质及其运算,
  • 查看
  • 16
  • 利用导数研究函数的极值,
  • 查看
  • 17
  • 等差数列的前n项和,数列的求和,
  • 查看
  • 18
  • 离散型随机变量的均值(数学期望),样本相关系数,经验回归方程与经验回归直线,
  • 查看
  • 19
  • 抛物线的焦点与准线,直线与抛物线的综合,
  • 查看
  • 20
  • 平面与平面垂直,直线与平面所成的角,二面角的平面角及求法,
  • 查看
  • 21
  • 判定函数零点的存在性,利用导数研究函数的单调性,利用导数研究曲线上某点切线方程,
  • 查看
  • 22
  • 参数方程化成普通方程,
  • 查看
  • 23
  • 绝对值不等式的解法,
  • 查看
细目重组明细
2023-2024学年陕西省西安市西咸新区高三(上)月考数学试卷(理科)的细目表
  • 题号
  • 考点
  • 选题
  • 1
  • 复数的除法运算,
  • 查看
  • 2
  • 交、并、补集的混合运算,
  • 查看
  • 3
  • 排列组合的综合应用,
  • 查看
  • 4
  • 充分条件与必要条件,
  • 查看
  • 5
  • 函数y=Asin(ωx+φ)的图象变换,
  • 查看
  • 6
  • 复合函数的单调性,对数函数的图象,
  • 查看
  • 7
  • 异面直线及其所成的角,
  • 查看
  • 8
  • 简单线性规划,
  • 查看
  • 9
  • 旋转体(圆柱、圆锥、圆台)的体积,
  • 查看
  • 10
  • 椭圆的几何特征,
  • 查看
  • 11
  • 奇偶性与单调性的综合,抽象函数的周期性,
  • 查看
  • 12
  • 双曲线的几何特征,
  • 查看
  • 13
  • 几何概型,
  • 查看
  • 14
  • 正弦函数的图象,
  • 查看
  • 15
  • 平面向量数量积的性质及其运算,
  • 查看
  • 16
  • 利用导数研究函数的极值,
  • 查看
  • 17
  • 等差数列的前n项和,数列的求和,
  • 查看
  • 18
  • 离散型随机变量的均值(数学期望),样本相关系数,经验回归方程与经验回归直线,
  • 查看
  • 19
  • 抛物线的焦点与准线,直线与抛物线的综合,
  • 查看
  • 20
  • 平面与平面垂直,直线与平面所成的角,二面角的平面角及求法,
  • 查看
  • 21
  • 判定函数零点的存在性,利用导数研究函数的单调性,利用导数研究曲线上某点切线方程,
  • 查看
  • 22
  • 参数方程化成普通方程,
  • 查看
  • 23
  • 绝对值不等式的解法,
  • 查看
视频讲解
温馨提示
视频讲解正在加载中、请等待!
视频解析购买
支付方式
德优币数
本次消耗0德优币
温馨提示

客服电话:400-816-0029,服务邮箱:610066832@qq.com

视频资源

选择考点
存放类型
已选考点

平行组卷卷生成中,请等待

组卷异常提醒
温馨提示
试题篮存在未完成组卷,请前往组卷页面-组卷管理,点击“完成组卷”后,方可修改或添加试卷!