首页 | 客服 | 上传赚现
AI助手
德优题库AI助手

AI助手

搜题▪组卷

(1)

服务热线

400-816-0029

    自建题库,共享分红

德优题库QQ交流群

232024. (2023•西咸新区•高三上一月) 大学生刘铭去某工厂实习,实习结束时从自己制作的某种零件中随机选取了10个样品,测量每个零件的横截面积(单位:mm2)和耗材量(单位:mm3),得到如下数据:
样本号i 1 2 3 4 5 6 7 8 9 10 总和
零件的横截面积xi 0.03 0.05 0.04 0.07 0.07 0.04 0.05 0.06 0.06 0.05 0.52
耗材量yi 0.24 0.40 0.23 0.55 0.50 0.34 0.35 0.45 0.43 0.41 3.9
并计算得
(Ⅰ)估算刘铭同学制作的这种零件平均每个零件的横截面积以及平均一个零件的耗材量;
(Ⅱ)求刘铭同学制作的这种零件的横截面积和耗材量的样本相关系数(精确到0.01);
(Ⅲ)刘铭同学测量了自己实习期制作的所有这种零件的横截面积,并得到所有这种零件的横截面积的和为182mm2,若这种零件的耗材量和其横截面积近似成正比,请帮刘铭计算一下他制作的零件的总耗材量的估计值.
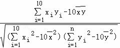
附:相关系数
共享时间:2023-10-19 难度:3
[考点]
离散型随机变量的均值(数学期望),样本相关系数,经验回归方程与经验回归直线,
[答案]
(Ⅰ)平均每个零件的横截面积为0.052mm2,一个零件的耗材量0.39mm3
(Ⅱ)0.94;
(Ⅲ)1365mm3
[解析]
解:(Ⅰ)样本中10个这种零件的横截面积的平均值
样本中10个这种零件的耗材量的平均值
由此可估算刘铭同学制作的这种零件平均每个零件的横截面积为0.052mm2,平均一个零件的耗材量为0.39mm3
(Ⅱ)r
(Ⅲ)设这种零件的总耗材量的估计值为tmm3
又已知这种零件的耗材量和其横截面积近似成正比,
,解得t=1365mm3
故这种零件的总耗材量的估计值为1365mm3
[点评]
本题考查了"离散型随机变量的均值(数学期望),样本相关系数,经验回归方程与经验回归直线,",属于"典型题",熟悉题型是解题的关键。
转载声明:
本题解析属于发布者收集录入,如涉及版权请向平台申诉! !版权申诉
170392. (2022•长安区一中•高二下期末) 甲、乙两个乒乓球运动员进行乒乓球比赛,已知每一局甲胜的概率为0.6,乙胜的概率为0.4,比赛时可以用三局二胜或五局三胜制,问:
(1)在哪一种比赛制度下,甲获胜的可能性大?
(2)若采用三局二胜制,求比赛场次ξ的分布列及数学期望.
共享时间:2022-07-21 难度:1 相似度:1.33
168803. (2021•西工大附中•十三模) 某新兴科技公司为了确定新研发的产品下一季度的营销计划,需了解月宣传费x(单位:万元)对月销售量y(单位:千件)的影响,收集了2020年3月至2020年8月共6个月的月宣传费x和月销售量y的数据如表:
月份 3 4 5 6 7 8
宣传费x 5 6 7 8 9 10
月销售量y 0.4 3.5 5.2 7.0 8.6 10.7
现分别用模型①和模型②对以上数据进行拟合,得到回归模型,并计算出模型的残差如表:
(模型①和模型②的残差分别为,残差=实际值﹣预报值)
x 5 6 7 8 9 10
y 0.4 3.5 5.3 7.0 8.6 10.7
﹣0.6 0.54 0.28 0.12 ﹣0.24 ﹣0.1
﹣0.63 1.71 2.10 1.63 ﹣0.7 ﹣5.42
(1)根据上表的残差数据,应选择哪个模型来拟合月宣传费x与月销售量y的关系较为合适,简要说明理由;
(2)为了优化模型,将(1)中选择的模型残差绝对值最大所对应的一组数据(xy)剔除,根据剩余的5组数据,求该模型的回归方程,并预测月宣传费为12万元时,该公司的月销售量.
(剔除数据前的参考数据:=7.5,=5.9,zlny≈﹣1.41,ln10.7≈2.37,e4.034≈56.49.)
参考公式:
共享时间:2021-07-22 难度:1 相似度:1.33
168320. (2021•西安中学•十模) 有一种速度叫中国速度,有一种骄傲叫中国高铁.中国高铁经过十几年的发展,取得了举世瞩目的成就,使我国完成了从较落后向先进铁路国的跨越式转变.中国的高铁技术不但越来越成熟,而且还走向国外,帮助不少国家修建了高铁.高铁可以说是中国一张行走的名片.截至到2020年,中国高铁运营里程已经达到3.9万公里.如表是2013年至2020年中国高铁每年的运营里程统计表,它反映了中国高铁近几年的飞速发展:
年份 2013 2014 2015 2016 2017 2018 2019 2020
年份代码x 1 2 3 4 5 6 7 8
运营里程y(万公里) 1.3 1.6 1.9 2.2 2.5 2.9 3.5 3.9
根据以上数据,回答下面问题.
(Ⅰ)甲同学用曲线ybx+a来拟合,并算得相关系数r1=0.97,乙同学用曲线ycedx来拟合,并算得转化为线性回归方程所对应的相关系数r2=0.99,试问哪一个更适合作为y关于x的回归方程类型,并说明理由;
(Ⅱ)根据(Ⅰ)的判断结果及表中数据,求y关于x的回归方程(系数精确到0.01).
参考公式:用最小二乘法求线性回归方程的系数公式:
参考数据:=42.00,
wlny=1.15.
共享时间:2021-07-10 难度:1 相似度:1.33
168343. (2022•长安区一中•三模) 新冠疫情在西方国家大流行,国际卫生组织对某国家进行新型冠状病毒感染率抽样调查.在某地抽取n人,每人一份血样,共nn∈N*)份,为快速有效地检验出感染过新型冠状病毒者,下面给出两种方案:
方案甲:逐份检验,需要检验n次;
方案乙:混合检验,把受检验者的血样分组,假设某组有kk∈N*k≥2)份,分别从k份血样中取出一部分血液混合在一起检验,若检验结果为阴性,则说明这k个人全部为阴性,因而这k个人的血样只要检验这一次就够了;若检验结果为阳性,为了明确这k个人中究竟哪些人感染过新型冠状病毒,就要对这k个人的血样再逐份检验,因此这k个人的总检验次数就为k+1.
假设在接受检验的人中,每个人血样检验结果是阳性还是阴性是相互独立的,且每个人血样的检验结果是阳性的概率为p(0<p<1).
(Ⅰ)若n=5,p=0.2,用甲方案进行检验,求5人中恰有2人感染过新型冠状病毒的概率;
(Ⅱ)记ξ为用方案乙对k个人的血样总共需要检验的次数.
①当k=5,p=0.2时,求E(ξ);
②从统计学的角度分析,p在什么范围内取值,用方案乙能减少总检验次数?
(参考数据:0.84=0.41,0.85=0.33,0.86=0.26)
共享时间:2022-04-07 难度:1 相似度:1.33
168389. (2023•交大附中•十三模) 某体育频道为了解某地电视观众对卡塔尔世界杯的收看情况,随机抽取了该地200名观众进行调查,下表是根据所有调查结果制作的观众日均收看世界杯时间(单位:时)的频率分布表:
日均收看世界杯时间(时) [0.5,1] (1,1.5] (1.5,2] (2,2.5] (2.5,3] (3,3.5]
频率 0.1 0.18 0.22 0.25 0.2 0.05
如果把日均收看世界杯的时间高于2.5小时的观众称为“足球迷”.
(1)根据已知条件完成下面的2×2列联表,并判断是否有99.9%的把握认为该地的电视观众是否为“足球迷”与性别有关;
  非足球迷 足球迷 合计
70    
  40  
合计      
(2)将样本的频率分布当作总体的概率分布,现从该地的电视观众中随机抽取4人,记这4人中的“足球迷”人数为X,求随机变量X的分布列和数学期望.
参考公式:,其中na+b+c+d
参考数据:
PK2k0 0.10 0.05 0.025 0.010 0.005 0.001
k0 2.706 3.841 5.024 6.635 7.879 10.828
共享时间:2023-07-21 难度:1 相似度:1.33
168480. (2021•西安中学•三模) 某地区2021年清明节前后3天每天下雨的概率为50%,通过模拟实验的方法来计算该地区这3天中恰好有2天下雨的概率.用随机数xx∈N,且0≤x≤9)表示是否下雨:当x∈[0,m](m∈Z)时表示该地区下雨,当x∈[m+1,9]时,表示该地区不下雨,从随机数表中随机取得20组数如下:
332  714  740  945  593  468  491  272  073  445
992  772  951  431  169  332  435  027  898  719
(1)求出m的值,并根据上述数表求出该地区清明节前后3天中恰好有2天下雨的概率;
(2)从2012年到2020年该地区清明节当天降雨量(单位:mm)如表:(其中降雨量为0表示没有下雨).
时间 2012 2013 2014 2015 2016 2017 2018 2019 2020
年份t 1 2 3 4 5 6 7 8 9
降雨量y 29 28 26 27 25 23 24 22 21
经研究表明:从2012年至2021年,该地区清明节有降雨的年份的降雨量y与年份t成线性回归,求回归直线方程,并计算如果该地区2021年(t=10)清明节有降雨的话,降雨量为多少?(精确到0.01)
参考公式:
参考数据:
共享时间:2021-04-14 难度:1 相似度:1.33
168596. (2021•西安中学•九模) 交强险是车主必须为机动车购买的险种,若普通6座以下私家车投保交强险第一年的费用(基准保费)统一为a元,在下一年续保时,实行的是费率浮动机制,保费与上一年度车辆发生道路交通事故的情况相联系,发生交通事故的次数越多,费率也就越高,具体浮动情况如表:
交强险浮动因素和浮动费率比率表
  浮动因素 浮动比率
A1 上一个年度未发生有责任道路交通事故 下浮10%
A2 上两个年度未发生有责任道路交通事故 下浮20%
A3 上三个及以上年度未发生有责任道路交通事故 下浮30%
A4 上一个年度发生一次有责任不涉及死亡的道路交通事故 0%
A5 上一个年度发生两次及两次以上有责任道路交通事故 上浮10%
A6 上一个年度发生有责任道路交通死亡事故 上浮30%
某机构为了研究某一品牌普通6座以下私家车的投保情况,随机抽取了80辆车龄已满三年的该品牌同型号私家车的下一年续保时的情况,统计得到了下面的表格:
类型 A1 A2 A3 A4 A5 A6
数量 20 10 10 20 15 5
以这80辆该品牌车的投保类型的频率代替一辆车投保类型的概率,完成下列问题:
(1)按照我国《机动车交通事故责任强制保险条例》汽车交强险价格的规定,a=950.某同学家里有一辆该品牌车且车龄刚满三年,记X为该品牌车在第四年续保时的费用,求X的分布列与数学期望值;(数学期望值保留到个位数字)
(2)某二手车销售商专门销售这一品牌的二手车,且将下一年的交强险保费高于基本保费的车辆记为事故车.假设购进一辆事故车亏损4000元,一辆非事故车盈利8000元:
①若该销售商购进三辆(车龄已满三年)该品牌二手车,求这三辆车中至多有一辆事故车的概率;
②若该销售商一次购进100辆(车龄已满三年)该品牌二手车,求他获得利润的期望值.
共享时间:2021-06-23 难度:1 相似度:1.33
168688. (2021•西安中学•仿真) 随着改革开放的不断深入,祖国不断富强,人民生活水平逐步提高,为了进一步改善民生,2019年1月1日起我国实施了个人所得税的新政策,新政策的主要内容包括:
①个税起征点为5000元;
②每月应纳税所得额(含税)=(收入)﹣(个税起征点)﹣(专项附加扣除);
③专项附加扣除包括赡养老人、子女教育、继续教育、大病医疗等.
新个税政策下赡养老人的扣除标准为:独生子女每月扣除2000元,非独生子女与其兄弟姐妹按照每月2000元的标准分摊扣除,但每个人的分摊额度不能超过1000元;
子女教育的扣除标准为:每个子女每月扣除1000元(可由父母中的一方扣除,或者父母双方各扣除500元)
税率表如下:
级数 全月应纳税所得额 税率
1 不超过3000元的部分 3%
2 超过3000元至12000元的部分 10%
3 超过12000元至25000元的部分 20%
4 超过25000元至35000元的部分 25%
(1)税务部门在小李所在公司用分层抽样方法抽取某
月100位不同层次员工的税前收入,并制成右图的频率
分布直方图.
(ⅰ)请根据频率分布直方图估计该公司员工税前收入的中位数;
(ⅱ)同一组中的数据以这组数据所在区间中点的值
作代表,在不考虑他们的专项附加扣除的情况下,甲、乙两位同学用如下两种方法估计小李所在的公司员工该月平均纳税,请判断哪位同学的方法是正确的,不需说明理由.
甲同学:0.24×0+0.32×30+0.2×90+0.12×290+0.08×490+0.04×690=129.2(元)
乙同学:先计算收入的均值+0.04×14000=7200(元),再利用均值计算平均纳税为:(7200﹣5000)×0.03=66(元)
(2)为研究某城市月薪为20000元群体的纳税情况,现收集了该城市500名公司白领(每人至多1个孩子)的相关资料,通过整理数据知道:这500人中有一个孩子符合子女教育专项附加扣除(假定由他们各自全部扣除)的有400人,不符合子女教育专项附加扣除的人有100人,符合子女专项附加扣除的人中有300人也符合赡养老人专项附加扣除,不符合子女专项附加扣除的人中有50人符合赡养老人专项附加扣除,并且他们均不符合其他专项附加扣除(统计的500人中,任何两人均不在一个家庭且为独生子女).若他们的月收入均为20000元,依据样本估计总体的思想,试估计在新个税政策下这类人群每月应缴纳个税金额X(单位:元)的分布列与期望.

共享时间:2021-06-10 难度:1 相似度:1.33
168733. (2021•西安中学•仿真) 2021年,福建、河北、辽宁、江苏、湖北、湖南、广东、重庆8省市将迎来“3+1+2”新高考模式.“3”指的是:语文、数学、英语,统一高考;“1”指的是:物理和历史,考生从中选一科;“2”指的是:化学、生物、地理和政治,考生从四科中选两科.为了迎接新高考,某中学调查了高一年级1500名学生的选科倾向,随机抽取了100人,统计选考科目人数如表:
  选考物理 选考历史 总计
男生 40   50
女生      
总计   30  
(Ⅰ)补全2×2列联表,并根据表中数据判断是否有95%的把握认为“选考物理与性别有关”;
(Ⅱ)将此样本的频率视为总体的概率,随机调查该校3名学生,设这3人中选考历史的人数为X,求X的分布列及数学期望.
参考公式:K2,其中na+b+c+d
参考数据:
PK2k0 0.10 0.05 0.025 0.010 0.005 0.001
k0 2.706 3.841 5.024 6.635 7.879 10.828
共享时间:2021-06-10 难度:1 相似度:1.33
168778. (2021•西安中学•八模) 新时代的青年应该注重体育锻炼,全面发展.为了强健学生体魄,陕西省西安中学决定全校学生参与课间健身操运动.为了调查学生对健身操的喜欢程度,现从全校学生中随机抽取了20名男生和20名女生的测试成绩(满分100分)组成一个样本,得到如图所示的茎叶图,并且认为得分不低于80分的学生为喜欢.
(1)请根据茎叶图填写下面的列联表,并判定能否有85%的把握认为该校学生是否喜欢健身操与性别有关?
  喜欢 不喜欢 合计
男生      
女生      
合计      
(2)用样本估计总体,将样本频率视为概率,现从全校男生,女生中各抽取1人,求其中喜欢健身操的人数X的分布列及数学期望.
参考公式及数据:K2,其中na+b+c+d
PK2k0 0.150 0.100 0.050 0.025 0.010 0.001
k0 2.072 2.706 3.841 5.024 6.635 10.828

共享时间:2021-06-19 难度:1 相似度:1.33
168849. (2021•西工大附中•十二模) .某市政府为了节约生活用电,计划在本市试行居民生活用电定额管理,即确定一户居民月用电量标准a,用电量不超过a的部分按平价收费,超出a的部分按议价收费.为此,政府调查了100户居民的月平均用电量(单位:度),以[160,180),[180,200),[200,220),[220,240),[240,260),[260,280),[280,300)分组的频率分布直方图如图所示.
(1)根据频率分布直方图的数据,求直方图中x的值并估计该市每户居民月平均用电量μ的值;
(2)用频率估计概率,利用(1)的结果,假设该市每户居民月平均用电量X服从正态分布N(μ,σ2
(ⅰ)估计该市居民月平均用电量介于μ~240度之间的概率;
(ⅱ)利用(ⅰ)的结论,从该市所有居民中随机抽取3户,记月平均用电量介于μ~240度之间的户数为ξ,求ξ的分布列及数学期望E(ξ).

共享时间:2021-07-22 难度:1 相似度:1.33
168148. (2023•西工大附中•六模) 2020年1月15日教育部制定出台了《关于在部分高校开展基础学科招生改革试点工作的意见》(也称“强基计划”),《意见》宣布:2020年起不再组织开展高校自主招生工作,改为实行强基计刻.强基计划主要选拔培养有志于服务国家重大战略需求且综合素质优秀或基础学科拔尖的学生.据悉强基计划的校考由试点高校自主命题,校考过程中通过笔试后才能进入面试环节.已知甲、乙两所大学的笔试环节都设有三门考试科目且每门科目是否通过相互独立.若某考生报考甲大学,每门科目通过的概率均为,该考生报考乙大学,每门科目通过的概率依次为m,其中0<m<1.
(1)若m,分别求出该考生报考甲、乙两所大学在笔试环节恰好通过一门科目的概率;
(2)强基计划规定每名考生只能报考一所试点高校.若以笔试过程中通过科目数的数学期望为依据作出决策,则当该考生更希望通过甲大学的笔试时,求m的范围.
共享时间:2023-05-19 难度:1 相似度:1.33
168964. (2021•交大附中•四模) 甲、乙两人进行抛硬币游戏,规定:每次抛币后,正面向上甲赢,否则乙赢.此时两个人正在游戏,且知甲再赢3次就获胜,而乙要再赢4次才获胜,其中一人获胜游戏结束.设再进行ξ次抛币后游戏结束.
(1)求概率P(ξ=4);
(2)求的分布列,并求其数学期望E(ξ).
共享时间:2021-04-20 难度:1 相似度:1.33
169033. (2020•西安中学•三模) 为迎接2022年北京冬奥会,推广滑雪运动,某滑雪场开展滑雪促销活动,该滑雪场的收费标准是:滑雪时间不超过1小时免费,超过1小时的部分每小时收费标准为40元(不足1小时的部分按1小时计算).有甲、乙两人相互独立地来该滑雪场运动,设甲、乙不超过1小时离开的概率分别为;1小时以上且不超过2小时离开的概率分别为;两人滑雪时间都不会超过3小时.
(Ⅰ)求甲、乙两人所付滑雪费用相同的概率;
(Ⅱ)设甲、乙两人所付的滑雪费用之和为随机变量ξ.求ξ的分布列与数学期望E(ξ).
共享时间:2020-04-01 难度:1 相似度:1.33
169101. (2020•西工大附中•三模) 2020年初,武汉出现新型冠状病毒肺炎疫情,并快速席卷我国其他地区,口罩成了重要的防疫物资.某口罩生产厂不断加大投入,高速生产,现对其2月1日~2月9日连续9天的日生产量yi(单位:十万只,i=1,2,…,9)数据作了初步处理,得到如图所示的散点图及一些统计量的值:
2.72 19 139.09 1095
注:图中日期代码1~9分别对应2月1日~2月9日;表中
(1)从9个样本点中任意选取2个,在2个点的日生产量都不高于三十万只的条件下,求2个都高于二十万只的概率;
(2)由散点图分析,样本点都集中在曲线ylnbt+a)的附近,请求y关于t的方程ylnbt+a),并估计该厂从什么时候开始日生产量超过四十万只.
参考公式:回归直线方程是
参考数据:e4≈54.6.

共享时间:2020-04-14 难度:1 相似度:1.33

dygzsxyn

2023-10-19

高中数学 | 高三上 | 解答题

  • 下载量
  • 浏览量
  • 收益额
  • 0
  • 3
  • 0
相同试题
试题下载
试题内容
调用试题名称
共享人
唐老师
试题题型
解答题
试题难度
试题题源
2020*西工大*期末
下载次数
168次
下载金币
5德优币(当前结余18德优币)
温馨提示
该试题下载至自主题库后,下载、备课永久免费!
试卷设置
试卷名称
省市校区
阶段科目
年份卷型
选择类型
已选考点
在线训练
视频讲解
温馨提示
视频讲解正在加载中、请等待!
温馨提示
对不起!这是别人共享的试题,需要下载到自主题库后,可将该试题添加到白板
视频解析购买
支付方式
德优币数
本次消耗0德优币
温馨提示

客服电话:400-816-0029,服务邮箱:610066832@qq.com

视频资源

试题找茬
纠错类型
纠错描述
温馨提示
共享试题、试卷经平台审核通过后方可展示,并永久享用用户下载分红权!