首页 | 客服 | 上传赚现
AI助手
德优题库AI助手

AI助手

搜题▪组卷

(1)

服务热线

400-816-0029

    自建题库,共享分红

德优题库QQ交流群

232500. (2023•华清中学•高一上二月) 已知函数,下面说法正确的有(  )

A.fx)的图像关于原点对称

B.fx)的图像关于y轴对称

C.fx)的值域为(﹣1,1)  

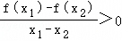
D..∀x1x2∈R,且

共享时间:2023-12-18 难度:2
[考点]
命题的真假判断与应用,函数的值域,
[答案]
ACD
[解析]
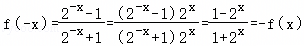
解:因为的定义域为R,关于原点对称,

所以fx)是奇函数,图象关于原点对称,故选项A正确,选项B不正确;
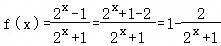
因为
又因为2x>0,所以2x+1>1,所以
所以,可得fx)的值域为(﹣1,1),故选项C正确;
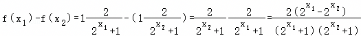
设任意的x1x2

因为,所以
fx1)﹣fx2)<0,所以,故选项D正确.
故选:ACD
[点评]
本题考查了"命题的真假判断与应用,函数的值域,",属于"易错题",熟悉题型是解题的关键。
转载声明:
本题解析属于发布者收集录入,如涉及版权请向平台申诉! !版权申诉
169690. (2024•西安八十五中•高一下期末) 在△ABC中,角ABC所对的边分别为abc,下列结论正确的是(  )

A.b2+c2a2>0,则△ABC为锐角三角形 

B.AB,则sinA>sinB   

C.b=3,A=60°,三角形面积S=3,则a 

D..若acosAbcosB,则△ABC为等腰三角形

共享时间:2024-07-08 难度:1 相似度:1.5
236123. (2018•高新一中•高二上期末) 以下关于圆锥曲线的命题中是假命题为(  )

A.AB是两定点,k为非零常数,若||﹣||=k,则动点P的轨迹为双曲线的一支   

B.过定圆C上一定点A作圆的动弦ABO为坐标原点,若),则动点P的轨迹为椭圆  

C.方程2x2﹣5x+2=0的两根可分别作为椭圆和双曲线的离心率

D.双曲线=1与椭圆x2=1有相同的焦点

共享时间:2018-02-03 难度:1 相似度:1.5
231863. (2025•曲江二中•高二下一月) 若存在m,使得fx)≥m对任意xD恒成立,则函数fx)在D上有下界,其中m为函数fx)的一个下界;若存在M,使得fx)≤M对任意xD恒成立,则函数fx)在D上有上界,其中M为函数fx)的一个上界.如果一个函数既有上界又有下界,那么称该函数有界.下列说法正确的是(  )

A.1不是函数fx)=x+x>0)的一个下界

B..函数fx)=xlnx有下界,无上界

C.函数fx)=有上界,无下界   

D.函数fx)=有界

共享时间:2025-04-15 难度:1 相似度:1.5
169711. (2023•师大附中•高一下期末) 高斯是德国著名数学家,近代数学奠基者之一,享有“数学王子”的称号,他和阿基米德,牛顿并列为世界三大数学家,用[x]表示不超过x的最大整数,则y=[x]称为高斯函数,例如[﹣2.1]=﹣3,[2.1]=2.则下列说法正确的是(  )

A.函数yx﹣[x]在区间[kk+1)(k∈Z)上单调递增  

B.若函数,则y=[fx)]的值域为{0}

C..若函数,则y=[fx)]的值域为{0,1}   

D.x∈R,x≥[x]+1

共享时间:2023-07-17 难度:1 相似度:1.5
236124. (2018•高新一中•高二上期末) 已知点AB的坐标分别是(﹣1,0),(1,0),直线AB相交于点M,且它们的斜率分别为k1k2,下列命题是真命题的有(  )

A.k1+k2=2,则M的轨迹是椭圆(除去两个点)  

B.k1k2=2,则M的轨迹是抛物线(除去两个点)

C..若k1k2=2,则M的轨迹是双曲线(除去两个点)  

D.k1÷k2=2,则M的轨迹是一条直线(除去一点)

共享时间:2018-02-03 难度:1 相似度:1.5
232883. (2024•交大附中•高一下二月) O是△ABC所在平面内的一点,下列说法正确的有(  )

A.O为△ABC的重心

B.,则点O为△ABC的垂心  

C..在△ABC中,向量满足,且,则△ABC为等边三角形 

D.SAOCSABC分别表示△AOC,△ABC的面积,则SAOCSABC=1:6

共享时间:2024-06-19 难度:2 相似度:1
169363. (2024•师大附中•高二上期末) 已知直线lxsinα+ycosα+1=0(α∈R),则下列命题正确的是(  )

A.直线l的倾斜角是π﹣α  

B.无论α取何值,直线l与圆x2+y2=1相切

C..直线l的斜率一定存在  

D..当直线l和两坐标轴都相交时,它和坐标轴围成的三角形的面积不小于1

共享时间:2024-02-14 难度:2 相似度:1
233596. (2022•西安八十三中•高一上二月) 已知函数fx)=|ax﹣1|(a>0,且a≠1),则下列结论正确的是(  )

A.函数fx)恒过定点(0,1)  

B.函数fx)的值域为[0,+∞) 

C..函数fx)在区间[0,+∞)上单调递增   

D.若直线y=2a与函数fx)的图像有两个公共点,则实数a的取值范围是(0,1)

共享时间:2022-12-23 难度:2 相似度:1
169225. (2025•长安区一中•高一上期末) 下列说法错误的是(  )

A.fx)的定义域为[﹣2,2],则f(2x﹣1)的定义域为   

B.函数的值域为(﹣∞,2)∪(2,+∞)  

C.函数的值域为 

D.函数fx)=x2﹣2x+4在[﹣2,2]上的值域为[4,12]

共享时间:2025-02-02 难度:2 相似度:1
232995. (2023•交大附中•高一上一月) 下列说法正确的有(  )

A.,则的最大值是﹣1  

B..若x∈R,则的最小值为2

C..若abc均为正实数,且a2+=1,则a的最大值是  

D..已知a>0,b>0,且,则ab﹣1)最小值是

共享时间:2023-10-29 难度:2 相似度:1
232993. (2023•交大附中•高一上一月) 下列命题中是真命题的是(  )

A.x>2且y>3是x+y>5的充要条件  

B.x>1”是“|x|>0”的充分不必要条件

C.b2﹣4ac=0是ax2+bx+c=0(a≠0)有实数解的充要条件 

D..三角形的三边满足勾股定理的充要条件是此三角形为直角三角形

共享时间:2023-10-29 难度:2 相似度:1
169645. (2024•交大附中•高一上期末) 下列四个命题中,是真命题的是(  )

A.x∈R,且x≠0,

B.x0∈R,使得 

C.x∈R,则函数的最小值为2

D..当1<x<3时,不等式x2mx+4>0恒成立,则实数m的取值范围是m<4

共享时间:2024-02-04 难度:3 相似度:0.83
169303. (2025•铁一中学•高二上期末) 已知空间中三点A(0,1,1),B(2,2,1),C(2,1,0),则(  )

A.  

B.方向上的单位向量是   

C.是平面ABC的一个法向量  

D.上的投影向量的模为

共享时间:2025-02-12 难度:3 相似度:0.83
231976. (2024•师大附中•高一下二月) 如图,在棱长为2的正方体ABCDA1B1C1D1中,Q为线段B1D1上一动点(包括端点),则以下结论正确的是(  )

A..三棱锥QC1BD的体积为定值 

B.当点QB1D1中点时,直线QA1与平面A1BD所成角的正弦值为   

C..当点QD1重合时,三棱锥QA1BD的外接球的体积为4

D..过点Q平行于平面C1BD的平面被正方体ABCDA1B1C1D1截得的多边形的面积为2

共享时间:2024-06-19 难度:3 相似度:0.83
232038. (2024•西工大附中•高一上一月) 下列命题中,是真命题的有(  )

A.abcd,则acbd       

C..若a2xa2y,则xy                                       

B..若ab,则         

D..若,则abb2

共享时间:2024-10-16 难度:3 相似度:0.83

dygzsxyn

2023-12-18

高中数学 | 高一上 | 多选题

  • 下载量
  • 浏览量
  • 收益额
  • 0
  • 4
  • 0
相同试题
试题下载
试题内容
调用试题名称
共享人
唐老师
试题题型
解答题
试题难度
试题题源
2020*西工大*期末
下载次数
168次
下载金币
5德优币(当前结余18德优币)
温馨提示
该试题下载至自主题库后,下载、备课永久免费!
试卷设置
试卷名称
省市校区
阶段科目
年份卷型
选择类型
已选考点
在线训练
视频讲解
温馨提示
视频讲解正在加载中、请等待!
温馨提示
对不起!这是别人共享的试题,需要下载到自主题库后,可将该试题添加到白板
视频解析购买
支付方式
德优币数
本次消耗0德优币
温馨提示

客服电话:400-816-0029,服务邮箱:610066832@qq.com

视频资源

试题找茬
纠错类型
纠错描述
温馨提示
共享试题、试卷经平台审核通过后方可展示,并永久享用用户下载分红权!