首页 | 客服 | 上传赚现
AI助手
德优题库AI助手

AI助手

搜题▪组卷

(1)

服务热线

400-816-0029

    自建题库,共享分红

德优题库QQ交流群

237406. (2020•铁一中学•高一上期中) 设函数fx)=,其中a∈R.
(1)若a=1,fx)的定义域为区间[0,3],求fx)的最大值和最小值;
(2)若fx)的定义域为区间(0,+∞),求a的取值范围,使fx)在定义域内是单调减函数.
共享时间:2020-11-30 难度:2
[考点]
函数的值域,由函数的单调性求解函数或参数,
[答案]
见试题解答内容
[解析]
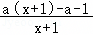
解:fx)=a
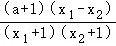
x1x2∈R,则fx1)﹣fx2)=

(1)当a=1时,fx)=1﹣,设0≤x1x2≤3,
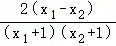
fx1)﹣fx2)=
x1x2<0,x1+1>0,x2+1>0,
fx1)﹣fx2)<0,∴fx1)<fx2).
fx)在[0,3]上是增函数,
fxmaxf(3)=1﹣fxminf(0)=1﹣=﹣1.
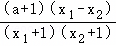
(2)设x1x2>0,则x1x2>0,x1+1>0,x2+1>0.
若使fx)在(0,+∞)上是减函数,只要fx1)﹣fx2)<0,而fx1)﹣fx2)=
∴当a+1<0,即a<﹣1时,有fx1)﹣fx2)<0,
fx1)<fx2).
∴当a<﹣1时,fx)在定义域(0,+∞)内是单调减函数.
[点评]
本题考查了"函数的值域,由函数的单调性求解函数或参数,",属于"必考题",熟悉题型是解题的关键。
转载声明:
本题解析属于发布者收集录入,如涉及版权请向平台申诉! !版权申诉
172073. (2022•铁一中学•高一上期中) 设函数fx)=,其中a∈R.
(1)若a=1,fx)的定义域为区间[0,3],求fx)的最大值和最小值;
(2)若fx)的定义域为区间(0,+∞),求a的取值范围,使fx)在定义域内是单调减函数.
共享时间:2022-11-18 难度:2 相似度:2
237015. (2021•西安一中•高一上期中) 已知函数
(1)判断函数在区间[0,+∞)上的单调性,并用定义证明你的结论;
(2)若在R上是单调函数,求实数a的取值范围.
共享时间:2021-11-27 难度:1 相似度:1.5
172379. (2021•西安中学•高一上期中) 对于定义域为D的函数yfx)若同时满足下列条件:
fx)在D内单调递增或单调递减:
②存在区间[ab]⊆D,使fx)在[ab]上的值域为[ab],那么把yfx)(xD)叫闭函数.
(1)求证:函数fx)=是[0,2]的闭函数;
(2)求闭函数y=﹣x3符合条件②的区间[ab];
(3)判断函数是否为闭函数?若是闭函数,求实数k的取值范围.
共享时间:2021-11-10 难度:1 相似度:1.5
232783. (2023•唐南中学•高一上二月) 已知函数yaxa>0且a≠1)在[1,2]上的最大值与最小值之和为20,记
(1)求a的值及函数fx)的值域;
(2)证明:fx)+f(1﹣x)为定值;并求的值.
共享时间:2023-12-18 难度:1 相似度:1.5
233143. (2023•师大附中•高一下二月) 已知函数gx)=xkx∈R,k为常数.
(1)当k=2时,判断函数gx)的奇偶性,并说明理由;
(2)当k=1时,设函数,判断函数fx)在区间(2,+∞)上的单调性,并利用函数单调性的定义证明你的结论.
(3)在(2)的前提条件下,求fx)在[3,5]上的值域.
共享时间:2023-06-16 难度:4 相似度:1.5
233394. (2022•西工大附中•高三上一月) 已知a>1.
(1)求证y=logax的单调性;
(2)求证yax的单调性.
共享时间:2022-10-18 难度:1 相似度:1.5
233607. (2022•西安八十三中•高一上二月) 定义在D上的函数fx),如果满足:对任意xD,存在常数M>0,都有|fx)|≤M成立,则称fx)是D上的有界函数,其中M称为函数fx)的上界.已知函数fx)=1+a+
(1)当a=﹣时,求函数fx)在(﹣∞,0)上的值域,并判断函数fx)在(﹣∞,0)上是否为有界函数,请说明理由;
(2)若函数fx)在[0,+∞)上是以4为上界的有界函数,求实数a的取值范围.
共享时间:2022-12-23 难度:1 相似度:1.5
236602. (2017•西北大附中•高一下期末) 函数y=2﹣xx>0)的值域为     
共享时间:2017-07-26 难度:1 相似度:1.5
169833. (2023•西安中学•高一上期末) 已知函数fx)=
(1)证明函数fx)是R上的增函数;
(2)令gx)=xfx),判定函数gx)的奇偶性,并证明;
(3)令hx)=fx)+,求函数hx)的值域.
共享时间:2023-02-28 难度:4 相似度:1.5
170104. (2023•铁一中学•高一上期末) 如果函数fx)满足在集合N*上的值域仍是集合N*,则把函数fx)称为N函数.例如:fx)=x就是N函数.
(Ⅰ)判断下列函数:①yx2,②y=2x﹣1,③y=[]中,哪些是N函数?(只需写出判断结果);
(Ⅱ)判断函数gx)=[lnx]+1是否为N函数,并证明你的结论;
(Ⅲ)证明:对于任意实数ab,函数fx)=[bax]都不是N函数.
(注:“[x]”表示不超过x的最大整数)
共享时间:2023-02-22 难度:1 相似度:1.5
237318. (2020•长安区一中•高一上期中) 已知a>0且a≠1).
(1)判断函数fx)的奇偶性,并证明;
(2)若a>1,用单调性定义证明函数fx)在区间(1,+∞)上单调递减;
(3)是否存在实数a,使得fx)的定义域为[mn]时,值域为[1﹣logan,1﹣logam],若存在,求出实数a的取值范围;若不存在,则说明理由.
共享时间:2020-11-16 难度:5 相似度:1.4
237105. (2021•西工大附中•高一上期中) 已知函数
(1)请判断函数fx)在(0,1)和(1,+∞)内的单调性,并证明在(1,+∞)的单调性;
(2)若存在,使得x2ax+1≥0成立,求实数a的取值范围.
共享时间:2021-11-30 难度:2 相似度:1
236715. (2016•西北大附中•高二下期末) 已知函数fx)=2+log3xx∈[1,9].
(1)求fx)的值域;
(2)求函数yfx2)+[fx)]2的定义域及值域.
共享时间:2016-07-10 难度:2 相似度:1
172249. (2022•唐南中学•高一上期中) 已知函数f(x)的定义域为(0,+∞),且对任意的正实数x,y都有f(xy)=f(x)+f(y),且当x>1时,f(x)>0,f(4)=1,
(1)求证:f(1)=0;
(2)求f( );
(3)解不等式f(x)+f(x﹣3)≤1.
共享时间:2022-11-10 难度:2 相似度:1
236331. (2017•长安区一中•高一上期末) fx)=)为奇函数,a为常数.
(1)求a的值;
(2)证明:fx)在(1,+∞)内单调递增;
(3)若对于[3,4]上的每一个x的值,不等式fx)>(x+m恒成立,求实数m的取值范围.
共享时间:2017-02-16 难度:2 相似度:1

dygzsxyn

2020-11-30

高中数学 | 高一上 | 解答题

  • 下载量
  • 浏览量
  • 收益额
  • 0
  • 3
  • 0
相同试题
试题下载
试题内容
调用试题名称
共享人
唐老师
试题题型
解答题
试题难度
试题题源
2020*西工大*期末
下载次数
168次
下载金币
5德优币(当前结余18德优币)
温馨提示
该试题下载至自主题库后,下载、备课永久免费!
试卷设置
试卷名称
省市校区
阶段科目
年份卷型
选择类型
已选考点
在线训练
视频讲解
温馨提示
视频讲解正在加载中、请等待!
温馨提示
对不起!这是别人共享的试题,需要下载到自主题库后,可将该试题添加到白板
视频解析购买
支付方式
德优币数
本次消耗0德优币
温馨提示

客服电话:400-816-0029,服务邮箱:610066832@qq.com

视频资源

试题找茬
纠错类型
纠错描述
温馨提示
共享试题、试卷经平台审核通过后方可展示,并永久享用用户下载分红权!