首页 | 客服 | 上传赚现
AI助手
德优题库AI助手

AI助手

搜题▪组卷

(1)

服务热线

400-816-0029

    自建题库,共享分红

德优题库QQ交流群

232783. (2023•唐南中学•高一上二月) 已知函数yaxa>0且a≠1)在[1,2]上的最大值与最小值之和为20,记
(1)求a的值及函数fx)的值域;
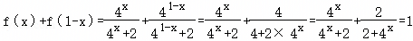
(2)证明:fx)+f(1﹣x)为定值;并求的值.
共享时间:2023-12-18 难度:1
[考点]
函数的值域,
[答案]
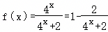
(1)a=4,fx)的值域为(0,1);
(2)证明见解析;100.
[解析]
解:(1)由题意有a+a2=20,解得a=4或a=﹣5(舍去),

∵4x>0,∴4x+2>2,
∴0<fx)<1,函数fx)的值域为(0,1).
证明:(2)

=1×100=100.
[点评]
本题考查了"函数的值域,",属于"基础题",熟悉题型是解题的关键。
转载声明:
本题解析属于发布者收集录入,如涉及版权请向平台申诉! !版权申诉
考点说明
灰色代表去掉的考点,绿色代表未变动的考点,红色代表新增的考点
236602. (2017•西北大附中•高一下期末) 函数y=2﹣xx>0)的值域为     
共享时间:2017-07-26 难度:1 相似度:2
170104. (2023•铁一中学•高一上期末) 如果函数fx)满足在集合N*上的值域仍是集合N*,则把函数fx)称为N函数.例如:fx)=x就是N函数.
(Ⅰ)判断下列函数:①yx2,②y=2x﹣1,③y=[]中,哪些是N函数?(只需写出判断结果);
(Ⅱ)判断函数gx)=[lnx]+1是否为N函数,并证明你的结论;
(Ⅲ)证明:对于任意实数ab,函数fx)=[bax]都不是N函数.
(注:“[x]”表示不超过x的最大整数)
共享时间:2023-02-22 难度:1 相似度:2
233607. (2022•西安八十三中•高一上二月) 定义在D上的函数fx),如果满足:对任意xD,存在常数M>0,都有|fx)|≤M成立,则称fx)是D上的有界函数,其中M称为函数fx)的上界.已知函数fx)=1+a+
(1)当a=﹣时,求函数fx)在(﹣∞,0)上的值域,并判断函数fx)在(﹣∞,0)上是否为有界函数,请说明理由;
(2)若函数fx)在[0,+∞)上是以4为上界的有界函数,求实数a的取值范围.
共享时间:2022-12-23 难度:1 相似度:2
271345. (2022•长安区一中•高一上二月) 已知函数fx)=loga(3x﹣1)(a>0且a≠1),f(2)=3.
(Ⅰ)若x∈[1,2],求fx)的取值范围;
(Ⅱ)求不等式fx)≤3的解集.
共享时间:2022-12-17 难度:2 相似度:1.5
237973. (2015•师大附中•高一上期中) 已知函数fx)=4x2﹣4ax+a2﹣2a+2在区间[0,2]上有最小值3,求实数a的值.
共享时间:2015-11-17 难度:2 相似度:1.5
237851. (2017•高新一中•高一上期中) 已知函数fx)=3﹣2log2xgx)=log2x
(1)当x∈[1,4]时,求函数hx)=[fx)+1]•gx)的值域;
(2)如果对任意的x∈[1,4],不等式恒成立,求实数k的取值范围.
共享时间:2017-11-20 难度:2 相似度:1.5
237406. (2020•铁一中学•高一上期中) 设函数fx)=,其中a∈R.
(1)若a=1,fx)的定义域为区间[0,3],求fx)的最大值和最小值;
(2)若fx)的定义域为区间(0,+∞),求a的取值范围,使fx)在定义域内是单调减函数.
共享时间:2020-11-30 难度:2 相似度:1.5
237402. (2020•铁一中学•高一上期中) 已知函数fx)=的定义域为集合A,函数gx)=﹣1的值域为集合B,且ABB,求实数m的取值范围.
共享时间:2020-11-30 难度:2 相似度:1.5
236715. (2016•西北大附中•高二下期末) 已知函数fx)=2+log3xx∈[1,9].
(1)求fx)的值域;
(2)求函数yfx2)+[fx)]2的定义域及值域.
共享时间:2016-07-10 难度:2 相似度:1.5
233415. (2023•西工大附中•高二下一月) 求函数的定义域、值域.
共享时间:2023-04-26 难度:2 相似度:1.5
273095. (2022•鄠邑二中•高一下一月) 求下列函数的值域.
(1)
(2)
共享时间:2022-04-13 难度:2 相似度:1.5
170935. (2025•长安区一中•高一下期中) 已知函数
(1)求f4x)的值域;
(2)若f1(θ)+2f3(θ)>0,求θ的取值范围;
(3)解关于x的方程:
共享时间:2025-05-02 难度:2 相似度:1.5
172073. (2022•铁一中学•高一上期中) 设函数fx)=,其中a∈R.
(1)若a=1,fx)的定义域为区间[0,3],求fx)的最大值和最小值;
(2)若fx)的定义域为区间(0,+∞),求a的取值范围,使fx)在定义域内是单调减函数.
共享时间:2022-11-18 难度:2 相似度:1.5
170840. (2020•铁一中学•高一上期末) 已知奇函数fx)=logaa>1,b∈R).
(1)求b的值,并求出函数fx)的定义域;
(2)若存在区间[mn],使得x∈[mn]时,函数fx)的值域为[loga6m,loga6n],求a的取值范围.
共享时间:2020-02-11 难度:2 相似度:1.5
170622. (2021•长安区一中•高一上期末) a>1,m∈R,,当x∈[a,2a]时,fx)的值域为[a2a3].
(1)求a的值;
(2)若存在实数t,使(x+t2+2(x+t)≤(a+1)x对任意的x∈[1,s]恒成立,求实数s的取值范围.
共享时间:2021-02-11 难度:2 相似度:1.5

dygzsxyn

2023-12-18

高中数学 | 高一上 | 解答题

  • 下载量
  • 浏览量
  • 收益额
  • 0
  • 11
  • 0
相同试题
试题下载
试题内容
调用试题名称
共享人
唐老师
试题题型
解答题
试题难度
试题题源
2020*西工大*期末
下载次数
168次
下载金币
5德优币(当前结余18德优币)
温馨提示
该试题下载至自主题库后,下载、备课永久免费!
试卷设置
试卷名称
省市校区
阶段科目
年份卷型
选择类型
已选考点
在线训练
视频讲解
温馨提示
视频讲解正在加载中、请等待!
温馨提示
对不起!这是别人共享的试题,需要下载到自主题库后,可将该试题添加到白板
视频解析购买
支付方式
德优币数
本次消耗0德优币
温馨提示

客服电话:400-816-0029,服务邮箱:610066832@qq.com

视频资源

试题找茬
纠错类型
纠错描述
温馨提示
共享试题、试卷经平台审核通过后方可展示,并永久享用用户下载分红权!