首页 | 客服 | 上传赚现
AI助手
德优题库AI助手

AI助手

搜题▪组卷

(1)

服务热线

400-816-0029

    自建题库,共享分红

德优题库QQ交流群

237064. (2021•长安区一中•高二上期中) 已知函数fx)=
(1)求曲线yfx)在点(0,﹣1)处的切线方程;
(2)证明:当a≥1时,fx)+e≥0.
共享时间:2021-11-16 难度:2
[考点]
利用导数研究函数的极值,利用导数研究曲线上某点切线方程,
[答案]
见试题解答内容
[解析]
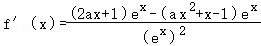
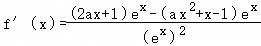
解:(1)=﹣
f′(0)=2,即曲线yfx)在点(0,﹣1)处的切线斜率k=2,
∴曲线yfx)在点(0,﹣1)处的切线方程为y﹣(﹣1)=2x
即2xy﹣1=0为所求.
(2)证明:函数fx)的定义域为:R
可得=﹣
f′(x)=0,可得
x时,f′(x)<0,x时,f′(x)>0,x∈(2,+∞)时,f′(x)<0.
fx)在(﹣),(2,+∞)递减,在(﹣,2)递增,
注意到a≥1时,函数gx)=ax2+x﹣1在(2,+∞)单调递增,且g(2)=4a+1>0,
gx)在(2,+∞)上恒大于零,即fx)=在(2,+∞)上恒大于零.
函数fx)的图象如下:

a≥1,∴,则≥﹣e
fx≥﹣e
∴当a≥1时,fx)+e≥0.
[点评]
本题考查了"利用导数研究函数的极值,利用导数研究曲线上某点切线方程,",属于"易错题",熟悉题型是解题的关键。
转载声明:
本题解析属于发布者收集录入,如涉及版权请向平台申诉! !版权申诉
168059. (2023•长安区一中•二模) 已知
(1)求fx)在x=1处的切线方程;
(2)若gx)=fx)+mx2,记x1x2为函数gx)的两个极值点,求gx1)+gx2)的取值范围.
共享时间:2023-03-28 难度:2 相似度:2
168483. (2021•西安中学•三模) 已知函数fx)=(x+1)(2ex﹣1).
(1)求曲线yfx)在x=﹣1处的切线方程;
(2)证明fx)有唯一的极值点x0,且
共享时间:2021-04-14 难度:2 相似度:2
166838. (2024•西安八十五中•一模) 已知函数fx)=exaxa3
(1)当a=1时,求曲线yfx)在点(1,f(1))处的切线方程;
(2)若fx)有极小值,且极小值小于0,求a的取值范围.
共享时间:2024-03-12 难度:2 相似度:2
167764. (2024•西安一中•三模) 已知曲线在点(0,f(0))处的切线的斜率为3,且当x=3时,函数fx)取得极值.
(1)求函数在点(0,f(0))处的切线方程;
(2)求函数的极值;
(3)若存在x∈[0,3],使得不等式fx)﹣m≤0成立,求m的取值范围.
共享时间:2024-04-15 难度:3 相似度:1.67
168437. (2021•西安中学•七模) 已知函数fx)=
(1)若函数fx)的图象在x=1处的切线为y=1,求fx)的极值;
(2)若fx)≤ex+﹣1恒成立,求实数a的取值范围.
共享时间:2021-06-06 难度:3 相似度:1.67
167305. (2023•长安区一中•高三上四月) 已知函数a>0.
(1)讨论fx)极值点的个数;
(2)若fx)恰有三个零点t1t2t3t1t2t3)和两个极值点x1x2x1x2).
(ⅰ)证明:fx1)+fx2)=0;
(ⅱ)若mn,且mlnmnlnn,证明:
共享时间:2023-02-23 难度:1 相似度:1.5
168621. (2021•西安中学•二模) 已知函数fx)=exx∈R.
(Ⅰ)若直线ykx﹣1)与fx)的图像相切,求实数k的值;
(Ⅱ)设x>0,若曲线yfx)与ymx2m>0)有且只有一个公共点,求实数m的值;
(Ⅲ)设ab,比较的大小,并说明理由.
共享时间:2021-03-17 难度:1 相似度:1.5
167369. (2024•长安区•高二下一月) 已知函数x=5处取得极小值,且极小值为﹣33.
(1)求ab的值;
(2)求fx)在[﹣2,0]上的值域.
共享时间:2024-04-22 难度:1 相似度:1.5
169149. (2020•西工大附中•二模) 已知函数fx)=x+(x+1)lnx+1)(a∈R).
(1)当a=1时,求曲线yfx)在x=1处的切线方程;
(2)若∀x1x2∈(0,+∞),x1x2,都有fx1)<fx2),求实数a的取值范围.
共享时间:2020-03-17 难度:1 相似度:1.5
168920. (2021•高陵一中•二模) 已知函数fx)=exx∈R.
(Ⅰ)若直线ykx﹣1)与fx)的图像相切,求实数k的值;
(Ⅱ)设x>0,若曲线yfx)与ymx2m>0)有且只有一个公共点,求实数m的值;
(Ⅲ)设ab,比较的大小,并说明理由.
共享时间:2021-03-23 难度:1 相似度:1.5
166446. (2024•西工大附中•高三上二月) .已知函数fx)=x3x
(1)求曲线yfx)在点M(1,0)处的切线方程;
(2)如果过点(1,b)可作曲线yfx)的三条切线,求实数b的取值范围.
共享时间:2024-12-24 难度:1 相似度:1.5
168966. (2021•交大附中•四模) 已知函数fx)=xlnx+1)﹣sinx
(1)证明:函数fx)在区间(0,π)上存在唯一的极小值点;
(2)证明:函数fx)有且仅有两个零点.
共享时间:2021-04-20 难度:1 相似度:1.5
168781. (2021•西安中学•八模) 已知函数fx)=ex﹣(x+mlnx+m)+xm≤2.
(1)当m=1时,求函数在x=0处的切线方程;
(2)证明:函数fx)为单调递增函数.
共享时间:2021-06-19 难度:2 相似度:1
168174. (2023•西工大附中•八模) 已知函数fx)=kx﹣1)exx2k∈R).
(1)当k=1时,求函数fx)的单调区间;
(2)若函数fx)有两个极值点,且极小值大于﹣5,求实数k的取值范围.
共享时间:2023-06-15 难度:2 相似度:1
168299. (2022•西工大附中•一模) 已知函数fx)=ax+x2lnx
(1)证明:当a≤0时,函数fx)有唯一的极值点;
(2)设a为正整数,若不等式fx)<ex在(0,+∞)内恒成立,求a的最大值.
共享时间:2022-03-12 难度:2 相似度:1

dygzsxyn

2021-11-16

高中数学 | 高二上 | 解答题

  • 下载量
  • 浏览量
  • 收益额
  • 0
  • 3
  • 0
相同试题
试题下载
试题内容
调用试题名称
共享人
唐老师
试题题型
解答题
试题难度
试题题源
2020*西工大*期末
下载次数
168次
下载金币
5德优币(当前结余18德优币)
温馨提示
该试题下载至自主题库后,下载、备课永久免费!
试卷设置
试卷名称
省市校区
阶段科目
年份卷型
选择类型
已选考点
在线训练
视频讲解
温馨提示
视频讲解正在加载中、请等待!
温馨提示
对不起!这是别人共享的试题,需要下载到自主题库后,可将该试题添加到白板
视频解析购买
支付方式
德优币数
本次消耗0德优币
温馨提示

客服电话:400-816-0029,服务邮箱:610066832@qq.com

视频资源

试题找茬
纠错类型
纠错描述
温馨提示
共享试题、试卷经平台审核通过后方可展示,并永久享用用户下载分红权!