首页 | 客服 | 上传赚现
AI助手
德优题库AI助手

AI助手

搜题▪组卷

(1)

服务热线

400-816-0029

    自建题库,必找德优

德优题库QQ交流群

首页 > 试卷详情
德优网2024陕西省西安市碑林区铁一中学初中数学考试期末八年级上

2023-2024学年陕西省西安市碑林区铁一中学八年级(上)期末数学试卷

试卷总分:120分    命题人:dyczsxyn    考试时长:120分钟

一、选择题(10小题共30分)
1. (本题3分) 9的算术平方根是(  )
A.3         
B.﹣3        
C.±3       
D.
2. (本题3分) 下列几组数,能作为直角三角形三边长的是(  )
A.2,3,5   
B.12,18,22
C.,2
D.
3. (本题3分) 德优题库如图,一副三角板按如图所示的位置摆放,其中AB∥CD,∠A=45°,∠C=60°,∠AEB=∠CED=90°,则∠AEC的度数为(  )
A.75°
B.90°
C.105°
D.120°
4. (本题3分) 某鞋店老板为了能更好地决定某种皮鞋各种鞋码如何进货能更好地销售,进行了市场调研,那么鞋店老板应重视鞋码的(  )
A.方差
B.众数
C.中位数
D.平均数
5. (本题3分) 已知正比例函数y=-2x的图象经过点(-2,a),(3,b),则a与b的大小关系为(  )
A.a>b
B.a=b
C.a<b
D.无法确定
6. (本题3分) 下列命题中,是真命题的是(  )

A.如果x2>0,则x>0   

B.如果abbc,则ac 

C.平方根等于本身的数有0和1   

D.如果,则a+b=0

7. (本题3分) 一次函数y=﹣x+by=3x的图象如图所示,则方程组的解为(  )

A.    B.   
C.   D.
8. (本题3分) 如图,长方体的长为20cm,宽为15cm,高为10cm,点B离点C的距离是5cm,一只蚂蚁如果沿着长方体的表面从点A爬到点B,需要爬行的最短路程是(  )
A.    
B.20        
C.  
D.
9. (本题3分) 某工厂去年的利润(总收入﹣总支出)为200万元,今年总收入比去年增加了20%,总支出比去年减少了10%,今年的利润为780万元,今年的总收入、总支出各是多少万元?设今年的总收入为x万元,总支出为y万元,可以列出方程组(  )
A.
B. 
C. 
D.
10. (本题3分) 如图1,点P从等边三角形ABC的顶点A出发,沿直线运动到三角形内部一点,再从该点沿直线运动到顶点B.设点P运动的路程为,图2是点P运动时yx变化的关系图象,则等边三角形ABC的边长为(  )

A..6       
B..3        
C.   
D.
二、填空题(6小题共18分)
11. (本题3分) 在实数,0,,π﹣1,中,无理数有       个.
12. (本题3分) 如图所示,OA=OB,数轴上点A表示的数是        
德优题库
13. (本题3分) 已知点P(a,2a+3)在第二象限,且P到x轴的距离与它到y轴的距离相等,则a=       
14. (本题3分) 甲、乙两名射击运动员在相同条件下各射击6次,甲的成绩(单位:环)为:8,8,9,10,5,8,乙的成绩(单位:环)为:6,10,6,10,9,7,这两名射击运动员的平均成绩均为8环,则这两名运动员中发挥得更稳定的是        (填写“甲”或“乙”).
15. (本题3分) 德优题库我国最早对勾股定理进行证明的是数学家赵爽,他用4个全等的直角三角形和中间的一个小正方形组成了一个大正方形,如图所示,人们称这个图为“赵爽弦图”,连接BF,若S△ABF=12.5,AB-EF=6,则S正方形ABCD=       
16. (本题3分) 德优题库如图,已知直线l1:y=x+4和l2:y=-2x+4,点A在直线l1上,点B在直线l2上,作AC⊥x轴于点C,BD⊥x轴于点D,当以A,B,C,D为顶点的四边形为正方形时,B点的横坐标为        
三、解答题(9小题共72分)
17. (本题10分) 计算:
(1)()×
(2)|2|﹣(﹣﹣2+(2
18. (本题10分) 解下列方程组:
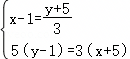
(1)
(2)
19. (本题6分) 德优题库在如图所示的平面直角坐标系中,按下列要求作图:
(1)描出下列各点:A(-1,0),B(-4,2),C(-3,-2),并顺次连接得到△ABC;
(2)作△ABC关于y轴对称的图形△DEF.
20. (本题5分) 德优题库如图,△ABC中,D,E为边AB,AC上两点,EF平分∠AED,交AB于点F,FE的延长线交BC的延长线于点G,CE=CG,∠B=60°,求∠BDE的度数.
21. (本题7分) 德优题库某大型超市为优化停车收费标准,需了解车辆在本超市的停车场内停车一次的时长(简称:停车时长)的情况.超市的管理部门随机采集了该停车场的60个停车时长数据(单位:分钟),并将数据整理,绘制了如下统计图表:
组别 停车时长x/分钟 组内平均停车时长/分钟
A 0<x≤30 15
B 30<x≤60 47
C 60<x≤90 80
D 90<x≤120 105
E x>120 200
根据以上信息,解答下列问题:
(1)请补全条形统计图;这60个数据的中位数落在        组;
(2)求本次采集的这60个数据的平均数;
(3)如果超市想对停车时长不超过60分钟的车辆免收停车费,试估计该停车场内1000辆车中,有多少辆车免收停车费?
22. (本题6分) 德优题库如图,直线l为一条公路,A,D处有两个村庄,AB⊥l于点B,DC⊥l于点C,AB=8千米,BC=16千米,CD=12千米.现需要在BC上建立一个物资调运站E,使得E到A,D两个村庄距离相等,请求出此时E到B的距离.
23. (本题8分) 李师傅每天从批发市场批发黄瓜和茄子共100千克去菜市场卖,这两种蔬菜的批发价和零售价在一周内保持不变.他周一用260元批发了60千克黄瓜和40千克茄子,周二用240元批发了40千克黄瓜和60千克的茄子.本周黄瓜和茄子的批发价和零售价如表所示:
名称 黄瓜 茄子
批发价(元/千克) m n
零售价(元/千克) 6.6 5.4
(1)求m,n的值;
(2)周三他去批发市场时,发现茄子在搞促销活动,当批发茄子的重量大于30千克时,茄子的批发价打八折.设李师傅购进x千克茄子,当天销售完所有购进的黄瓜与茄子的总利润为y元,求y与x的函数关系式;
(3)请你帮李师傅计算一下,如果他周三批发了60千克茄子,当天销售完所有购进的黄瓜和茄子后,能获利多少元?
24. (本题8分) 如图,直线与直线l2y=﹣2x+6交于点Al1l2分别与x轴交于点BC
(1)请直接写出点ABC的坐标;
(2)D点为直线l2上一点,当SABD=2SABC时,求D点的坐标.
25. (本题12分) 如图,在平面直角坐标系中,长方形OABC的顶点A,C分别在y轴和x轴上,O为坐标原点,B(5,4),D为OC上一点,且OD:DC=3:2,E为长方形OABC边上一动点(不与点A,D重合),作A关于直线DE的对称点A1
(1)当A1在y轴上时,A1点的坐标为        
(2)当A1D⊥AD时,请求出直线DE的表达式;
(3)当△A1BC为以BC为直角边的直角三角形时,请直接写出点E的坐标.德优题库
转载声明:
本题解析属于发布者收集录入,如涉及版权请向平台申诉! !版权申诉
温馨提示
对不起!这是别人共享的试卷,需要下载到自主题库后,可将该试卷添加到白板
试题下载
试题内容
调用试题名称
共享人
唐老师
试题题型
解答题
试题难度
试题题源
2020*西工大*期末
下载次数
168次
下载金币
5德优币(当前结余18德优币)
温馨提示
该试题下载至自主题库后,下载、备课永久免费!
相似题
试卷设置
试卷名称
省市校区
阶段科目
年份卷型
选择类型
已选考点
在线训练
可见权限
会员看题 会员看题和答案
试卷下载
试卷名称
调用试卷名称
共享人
唐老师
试卷卷型
1111
试卷难度
试卷来源
2020*西工大*期末
下载次数
168次
下载金币
5德优币(当前结余18德优币)
温馨提示
该试卷下载至自主题库后,下载、备课永久免费!
组卷付费
试卷名称
调用试卷名称
试卷来源
唐老师
试卷形式
全选 卷主 序号 卷型 难度 年份 省市区 题源 金币 操作
8 选择题 2018年 陕西 真题 2币 查看
8 选择题 2018年 陕西 真题 2币 查看
8 选择题 2018年 陕西 真题 2币 查看
8 选择题 2018年 陕西 真题 2币 查看
8 选择题 2018年 陕西 真题 2币 查看
8 选择题 2018年 陕西 真题 2币 查看
下载金币
5德优币(当前结余18德优币)
温馨提示
该试卷下载至自主题库后,下载、备课永久免费!
试题找茬
纠错类型
纠错描述
温馨提示
共享试题、试卷经平台审核通过后方可展示,并永久享用用户下载分红权!
平行组卷明细
2023-2024学年陕西省西安市碑林区铁一中学八年级(上)期末数学试卷的细目表
  • 题号
  • 考点
  • 操作
  • 1
  • 算术平方根,
  • 查看
  • 2
  • 勾股定理的逆定理,
  • 查看
  • 3
  • 余角和补角的定义,平行线的性质,三角形内角和定理,
  • 查看
  • 4
  • 算术平均数,中位数,众数,方差,
  • 查看
  • 5
  • 一次函数与一元一次不等式,
  • 查看
  • 6
  • 非负数的性质:偶次方,平方根,立方根,命题与定理,
  • 查看
  • 7
  • 一次函数与二元一次方程(组),
  • 查看
  • 8
  • 平面展开-最短路径问题,
  • 查看
  • 9
  • 由实际问题抽象出二元一次方程组,
  • 查看
  • 10
  • 动点问题的函数图象,
  • 查看
  • 11
  • 无理数定义及分类,
  • 查看
  • 12
  • 实数与数轴,勾股定理,
  • 查看
  • 13
  • 规律型:点的坐标,
  • 查看
  • 14
  • 算术平均数,方差,
  • 查看
  • 15
  • 三角形的面积,勾股定理的证明,
  • 查看
  • 16
  • 一元一次方程的应用,
  • 查看
  • 17
  • 由实际问题抽象出二元一次方程组,
  • 查看
  • 18
  • 动点问题的函数图象,
  • 查看
  • 19
  • 无理数定义及分类,
  • 查看
  • 20
  • 实数与数轴,勾股定理,
  • 查看
  • 21
  • 规律型:点的坐标,
  • 查看
  • 22
  • 算术平均数,方差,
  • 查看
  • 23
  • 三角形的面积,勾股定理的证明,
  • 查看
  • 24
  • 一元一次方程的应用,
  • 查看
  • 25
  • 两条直线平行的特征,
  • 查看
细目重组明细
2023-2024学年陕西省西安市碑林区铁一中学八年级(上)期末数学试卷的细目表
  • 题号
  • 考点
  • 选题
  • 1
  • 算术平方根,
  • 查看
  • 2
  • 勾股定理的逆定理,
  • 查看
  • 3
  • 余角和补角的定义,平行线的性质,三角形内角和定理,
  • 查看
  • 4
  • 算术平均数,中位数,众数,方差,
  • 查看
  • 5
  • 一次函数与一元一次不等式,
  • 查看
  • 6
  • 非负数的性质:偶次方,平方根,立方根,命题与定理,
  • 查看
  • 7
  • 一次函数与二元一次方程(组),
  • 查看
  • 8
  • 平面展开-最短路径问题,
  • 查看
  • 9
  • 由实际问题抽象出二元一次方程组,
  • 查看
  • 10
  • 动点问题的函数图象,
  • 查看
  • 11
  • 无理数定义及分类,
  • 查看
  • 12
  • 实数与数轴,勾股定理,
  • 查看
  • 13
  • 规律型:点的坐标,
  • 查看
  • 14
  • 算术平均数,方差,
  • 查看
  • 15
  • 三角形的面积,勾股定理的证明,
  • 查看
  • 16
  • 一元一次方程的应用,
  • 查看
  • 17
  • 由实际问题抽象出二元一次方程组,
  • 查看
  • 18
  • 动点问题的函数图象,
  • 查看
  • 19
  • 无理数定义及分类,
  • 查看
  • 20
  • 实数与数轴,勾股定理,
  • 查看
  • 21
  • 规律型:点的坐标,
  • 查看
  • 22
  • 算术平均数,方差,
  • 查看
  • 23
  • 三角形的面积,勾股定理的证明,
  • 查看
  • 24
  • 一元一次方程的应用,
  • 查看
  • 25
  • 两条直线平行的特征,
  • 查看
视频讲解
温馨提示
视频讲解正在加载中、请等待!
视频解析购买
支付方式
德优币数
本次消耗0德优币
温馨提示

客服电话:400-816-0029,服务邮箱:610066832@qq.com

视频资源

选择考点
存放类型
已选考点

平行组卷卷生成中,请等待

组卷异常提醒
温馨提示
试题篮存在未完成组卷,请前往组卷页面-组卷管理,点击“完成组卷”后,方可修改或添加试卷!