首页 | 客服 | 上传赚现
AI助手
德优题库AI助手

AI助手

搜题▪组卷

(1)

服务热线

400-816-0029

    自建题库,必找德优

德优题库QQ交流群

首页 > 试卷详情
德优网2023陕西省西安市雁塔区师大附中初中数学考试期末八年级上

2022-2023学年陕西师大附中八年级(上)期末数学试卷

试卷总分:100分    命题人:csyn@dyw.com    考试时长:120分钟

一、选择题(10小题共30分)
1. (本题3分) 下列各数中,是无理数的是(  )
A.
B.
C..3
D.
2. (本题3分) 德优题库如图,Rt△ABC是一块直角三角板,其中∠C=90°,∠BAC=30°.直尺的一边DE经过顶点A,若DE∥CB,则∠DAB的度数为(  )
A.100°
B.120°
C.135°
D.150°
3. (本题3分) 下列说法中,正确的是(  )
A.0.09的平方根是0.3            B.
C.0的立方根是0   D.8的立方根是±2
4. (本题3分) 已知点A(a,2022)和点B(2023,b)关于x轴对称,则a+b的值为(  )
A.3
B.1
C.-1
D.-2
5. (本题3分) 德优题库如图,∠AED=90°,正方形ABCD和正方形AEFG的面积分别是289和225,则以DE为直径的半圆的面积是(  )
A.
B.
C.16π
D.32π
6. (本题3分) 在平面直角坐标系中,若一个正比例函数的图象经过A(4,b),Ba,3)两点,则ab一定满足的关系式为(  )
A.ab=1
B.a+b=7   
C.ab=12   
D.
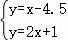
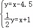
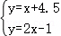
7. (本题3分) 我国古代数学名著《孙子算经》中记载:“今有木,不知长短,引绳度之,余绳四尺五寸;屈绳量之,不足一尺,木长几何?”意思是:用一根绳子去量一根木条,绳子剩余4.5尺;将绳子对折再量木条,木条剩余1尺.问木条长多少尺?如果设木条长x尺,绳子长y尺,那么可列方程组为(  )
A.                   B.
C. D.
8. (本题3分) 下列命题的逆命题中,属于真命题的是(  )

A.如果a=0,b=0,则ab=0

B.全等三角形的周长相等

C.两直线平行,同位角相等

D.若a=b,则a2=b2

9. (本题3分) 已知A(a,-1),B(b,-3)两点都在关于x的一次函数y=-2x+m的图象上,则a,b的大小关系为(  )
A.a≥b
B.a>b
C.a<b
D.无法确定
10. (本题3分) 德优题库如图,∠ACB=90°,AC=BC,点C(-1,2),A(3,0),则点B的坐标是(  )
A.(-3,-2)
B.(-2,-2)
C.(-3,-1)
D.(-2,-1)
二、填空题(7小题共21分)
11. (本题3分) 德优题库如图,在△ABC中,AB=AC,若∠B=40°,则∠C的度数为        
12. (本题3分) 小华、小明两位射击运动员在选拔赛中各射击10次的成绩如图所示,他们的平均成绩均为7.5环,若小华射击10次成绩的方差为,小明射击10次成绩的方差为,则          .(填“>,<,=”)

13. (本题3分) 三角形三个内角的比为2:3:7,则这个三角形最大的外角是        度.
14. (本题3分) 在平面直角坐标系中,已知A(3,4),B(0,5),点P是y轴上一点,且△ABP的面积为12,则点P的坐标为        
15. (本题3分) 德优题库如图,CD是等边△ABC边AB上的中线,AC的垂直平分线交AC于点E,交CD于点F,若DF=1,则CD的长为        
16. (本题3分) 已知直线yx﹣2与ymxn相交于点P(﹣1,t),则关于xy的二元一次方程组的解为                     
17. (本题3分) 德优题库如图,在△ABC中,AC=6,BC=8,AB=10,以AC为边在△ABC外作ACD,且S△ACD=6,则AD+BD的最小值是        
三、解答题(7小题共49分)
18. (本题6分) 计算:
(1)
(2)
19. (本题6分) 解方程组:
(1)
(2)
20. (本题7分) 德优题库如图,已知△ABC,M为边AC上一点,请用尺规作图的方法在边AB上求作一点N,使得AN+MN=AB.(保留作图痕迹,不写作法)
21. (本题7分) 2022年11月12日,搭载天舟五号货运飞船的长征七号遥六运载火箭,在我国文昌航天发射场点火发射,发射取得圆满成功.为庆祝我国航天事业的蓬勃发展,某校举办以“扮靓太空传递梦想”为主题的绘画大赛,现从中随机抽取部分参赛作品,对其份数和成绩进行整理,制成了如下两幅不完整的统计图.根据以上信息,解答下列问题:
德优题库
(1)本次抽取的参赛作品成绩的众数为        分,中位数为        分,并补全条形统计图;
(2)求本次抽取的参赛作品的平均成绩;
(3)若该校共收到900份参赛作品,请估计此次大赛成绩不低于90分的作品有多少份?
22. (本题7分) 德优题库如图,A,F,E,D在同一条直线上,BE⊥AD于点E,CF⊥AD于点F,AB=CD,AF=DE,求证:AB∥CD.
23. (本题8分) 德优题库某种优质蜜柚,投入市场销售时,经调查,该蜜柚每天销售量y(千克)与销售单价x(元/千克)之间符合一次函数关系,如图所示.
(1)求y与x的函数关系式;
(2)某农户今年共采摘该蜜柚4500千克,其保质期为30天,若以14元/千克销售,问能否在保质期内销售完这批蜜柚?请说明理由.
24. (本题8分) 在△ABC中,AB=AC,∠BAC=90°,AD是△ABC的角平分线.
德优题库
(1)如图1,点E、F分别是线段CD、AD上的点,且DE=DF,AE与BF的延长线交于点G,则AE与BF的数量关系是        ,位置关系是        
(2)如图2,点E、F分别在DC和DA的延长线上,且DE=DF,EA的延长线交BF于点G.
①(1)中的结论还成立吗?如果成立,请给出证明:如果不成立,请说明理由;
②连接DG,若DG=4
2
,DE=6,求EG的长.
转载声明:
本题解析属于发布者收集录入,如涉及版权请向平台申诉! !版权申诉
温馨提示
对不起!这是别人共享的试卷,需要下载到自主题库后,可将该试卷添加到白板
试题下载
试题内容
调用试题名称
共享人
唐老师
试题题型
解答题
试题难度
试题题源
2020*西工大*期末
下载次数
168次
下载金币
5德优币(当前结余18德优币)
温馨提示
该试题下载至自主题库后,下载、备课永久免费!
相似题
试卷设置
试卷名称
省市校区
阶段科目
年份卷型
选择类型
已选考点
在线训练
可见权限
会员看题 会员看题和答案
试卷下载
试卷名称
调用试卷名称
共享人
唐老师
试卷卷型
1111
试卷难度
试卷来源
2020*西工大*期末
下载次数
168次
下载金币
5德优币(当前结余18德优币)
温馨提示
该试卷下载至自主题库后,下载、备课永久免费!
组卷付费
试卷名称
调用试卷名称
试卷来源
唐老师
试卷形式
全选 卷主 序号 卷型 难度 年份 省市区 题源 金币 操作
8 选择题 2018年 陕西 真题 2币 查看
8 选择题 2018年 陕西 真题 2币 查看
8 选择题 2018年 陕西 真题 2币 查看
8 选择题 2018年 陕西 真题 2币 查看
8 选择题 2018年 陕西 真题 2币 查看
8 选择题 2018年 陕西 真题 2币 查看
下载金币
5德优币(当前结余18德优币)
温馨提示
该试卷下载至自主题库后,下载、备课永久免费!
试题找茬
纠错类型
纠错描述
温馨提示
共享试题、试卷经平台审核通过后方可展示,并永久享用用户下载分红权!
平行组卷明细
2022-2023学年陕西师大附中八年级(上)期末数学试卷的细目表
  • 题号
  • 考点
  • 操作
  • 1
  • 算术平方根,无理数定义及分类,
  • 查看
  • 2
  • 平行线的性质,
  • 查看
  • 3
  • 平方根,算术平方根,立方根,
  • 查看
  • 4
  • 关于坐标轴对称点的坐标,
  • 查看
  • 5
  • 勾股定理,
  • 查看
  • 6
  • 待定系数法求正比例函数解析式,
  • 查看
  • 7
  • 坐标与图形性质,三角形的面积,
  • 查看
  • 8
  • 等边三角形的性质,
  • 查看
  • 9
  • 一次函数与二元一次方程(组),
  • 查看
  • 10
  • 勾股定理,勾股定理的逆定理,
  • 查看
  • 11
  • 实数的运算,非零数的零指数幂,
  • 查看
  • 12
  • 解二元一次方程组,
  • 查看
  • 13
  • 复杂作图,
  • 查看
  • 14
  • 用样本估计总体,条形统计图,扇形统计图,加权平均数,中位数,众数,
  • 查看
  • 15
  • 全等三角形的判定与性质,
  • 查看
  • 16
  • 一次函数的应用,
  • 查看
  • 17
  • 三角形综合题,
  • 查看
  • 18
  • 实数的运算,非零数的零指数幂,
  • 查看
  • 19
  • 解二元一次方程组,
  • 查看
  • 20
  • 复杂作图,
  • 查看
  • 21
  • 用样本估计总体,条形统计图,扇形统计图,加权平均数,中位数,众数,
  • 查看
  • 22
  • 全等三角形的判定与性质,
  • 查看
  • 23
  • 一次函数的应用,
  • 查看
  • 24
  • 三角形综合题,
  • 查看
细目重组明细
2022-2023学年陕西师大附中八年级(上)期末数学试卷的细目表
  • 题号
  • 考点
  • 选题
  • 1
  • 算术平方根,无理数定义及分类,
  • 查看
  • 2
  • 平行线的性质,
  • 查看
  • 3
  • 平方根,算术平方根,立方根,
  • 查看
  • 4
  • 关于坐标轴对称点的坐标,
  • 查看
  • 5
  • 勾股定理,
  • 查看
  • 6
  • 待定系数法求正比例函数解析式,
  • 查看
  • 7
  • 坐标与图形性质,三角形的面积,
  • 查看
  • 8
  • 等边三角形的性质,
  • 查看
  • 9
  • 一次函数与二元一次方程(组),
  • 查看
  • 10
  • 勾股定理,勾股定理的逆定理,
  • 查看
  • 11
  • 实数的运算,非零数的零指数幂,
  • 查看
  • 12
  • 解二元一次方程组,
  • 查看
  • 13
  • 复杂作图,
  • 查看
  • 14
  • 用样本估计总体,条形统计图,扇形统计图,加权平均数,中位数,众数,
  • 查看
  • 15
  • 全等三角形的判定与性质,
  • 查看
  • 16
  • 一次函数的应用,
  • 查看
  • 17
  • 三角形综合题,
  • 查看
  • 18
  • 实数的运算,非零数的零指数幂,
  • 查看
  • 19
  • 解二元一次方程组,
  • 查看
  • 20
  • 复杂作图,
  • 查看
  • 21
  • 用样本估计总体,条形统计图,扇形统计图,加权平均数,中位数,众数,
  • 查看
  • 22
  • 全等三角形的判定与性质,
  • 查看
  • 23
  • 一次函数的应用,
  • 查看
  • 24
  • 三角形综合题,
  • 查看
视频讲解
温馨提示
视频讲解正在加载中、请等待!
视频解析购买
支付方式
德优币数
本次消耗0德优币
温馨提示

客服电话:400-816-0029,服务邮箱:610066832@qq.com

视频资源

选择考点
存放类型
已选考点

平行组卷卷生成中,请等待

组卷异常提醒
温馨提示
试题篮存在未完成组卷,请前往组卷页面-组卷管理,点击“完成组卷”后,方可修改或添加试卷!