首页 | 客服 | 上传赚现
AI助手
德优题库AI助手

AI助手

搜题▪组卷

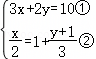
(1)

服务热线

400-816-0029

    自建题库,共享分红

德优题库QQ交流群

244241. (2023•师大附中•八上期末) 小华、小明两位射击运动员在选拔赛中各射击10次的成绩如图所示,他们的平均成绩均为7.5环,若小华射击10次成绩的方差为,小明射击10次成绩的方差为,则          .(填“>,<,=”)

共享时间:2023-02-08 难度:1
[考点]
解二元一次方程组,
[答案]
(1)
(2)
[解析]
解:(1)
①×3﹣②得:﹣3y+8y=9﹣14,
解得:y=﹣1,
y=﹣1代入①得:x+1=3,
解得:x=2,
∴原方程组的解为:
(2)
由②得3x=6+2(y+1),
即3x﹣2y③,①﹣③得:4y=2,
解得:,①+③得:6x=18,
解得:x=3,
∴原方程组的解为:
[点评]
本题考查了"解二元一次方程组,",属于"常考题",熟悉题型是解题的关键。
转载声明:
本题解析属于发布者收集录入,如涉及版权请向平台申诉! !版权申诉
175970. (2024•交大附中•八上二月) 对于xy定义一种新运算x*yax+by+1(ab是非零常数).例如0*0=a×0+b×0+1=1.若1*4=3,2*(﹣1)=0,则a+b      
共享时间:2024-12-30 难度:1 相似度:2
190607. (2025•交大附中•八上期末) 关于xy的方程组,则x+y的值为      
共享时间:2025-02-22 难度:1 相似度:2
173685. (2024•莲湖区•八上二月) 已知关于xy的方程组的解是则关于xy的方程组的解是                     
共享时间:2024-12-28 难度:2 相似度:1.5
175325. (2024•西安三中•八上二月) 的解,则(a+b)(ab)=        
共享时间:2024-12-22 难度:2 相似度:1.5
61355. (2023•爱知中学•八上期末) 已知关于x,y的二元一次方程组,且x,y满足x+y=5,则k的值为        
共享时间:2023-02-23 难度:2 相似度:1.5
185539. (2023•高新三中•八上期中) 已知关于xy的方程组,无论k取何值,x+9y的值都是一个定值,则这个定值为       
共享时间:2023-11-24 难度:2 相似度:1.5
190181. (2025•蓝田县•八上期末) 已知关于xy的二元一次方程组和关于xy的二元一次方程组有相同的解,则m的值是     
共享时间:2025-02-06 难度:2 相似度:1.5
190260. (2025•鄠邑区•八上期末) 已知关于xy的方程值与关于xy的方程组的解相同,则m+n的值为        
共享时间:2025-02-11 难度:2 相似度:1.5
23670. (2019•高新一中•七上期末) 如果|x-2y+1|与(x+y-5)2互为相反数,那么x=       ,y=       
共享时间:2020-02-17 难度:3 相似度:1.5
192314. (2024•尊德中学•八下二月) 已知,且﹣1<xy<0,则k的取值范围为                    
共享时间:2024-06-27 难度:2 相似度:1.5
196472. (2024•爱知中学•八下期末) ,那么AB     
共享时间:2024-07-24 难度:2 相似度:1.5
197513. (2024•曲江一中•八上期中) 关于xy的二元一次方程组的解满足xy=7,则k的值为      
共享时间:2024-11-20 难度:2 相似度:1.5
197663. (2024•高新一中•八上期中) 已知关于xy的方程组的解满足xy=4,则a的值为        
共享时间:2024-11-14 难度:2 相似度:1.5
197665. (2024•高新一中•八上期中) 若方程组的解是则关于xy的方程组的解是                      .
共享时间:2024-11-14 难度:2 相似度:1.5
197688. (2024•高新一中•八上期中) 已知关于xy的方程组的解满足xy=4,则a的值为      
 
共享时间:2024-11-12 难度:2 相似度:1.5

csyn@dyw.com

2023-02-08

初中数学 | 八年级上 | 填空题

  • 下载量
  • 浏览量
  • 收益额
  • 0
  • 1
  • 0
相同试题
试题下载
试题内容
调用试题名称
共享人
唐老师
试题题型
解答题
试题难度
试题题源
2020*西工大*期末
下载次数
168次
下载金币
5德优币(当前结余18德优币)
温馨提示
该试题下载至自主题库后,下载、备课永久免费!
试卷设置
试卷名称
省市校区
阶段科目
年份卷型
选择类型
已选考点
在线训练
视频讲解
温馨提示
视频讲解正在加载中、请等待!
温馨提示
对不起!这是别人共享的试题,需要下载到自主题库后,可将该试题添加到白板
视频解析购买
支付方式
德优币数
本次消耗0德优币
温馨提示

客服电话:400-816-0029,服务邮箱:610066832@qq.com

视频资源

试题找茬
纠错类型
纠错描述
温馨提示
共享试题、试卷经平台审核通过后方可展示,并永久享用用户下载分红权!