首页 | 客服 | 上传赚现
AI助手
德优题库AI助手

AI助手

搜题▪组卷

(1)

服务热线

400-816-0029

    自建题库,共享分红

德优题库QQ交流群

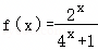
237789. (2017•西安一中•高一上期中) 已知函数yfx)的定义域为R,且f(﹣x)=﹣fx),当x∈(0,1)时,
(1)求fx)在(﹣1,0)上的解析式;
(2)求证:fx)在(0,1)上是减函数.
共享时间:2017-11-28 难度:2
[考点]
由函数的单调性求解函数或参数,函数的奇偶性,
[答案]
见试题解答内容
[解析]
解:(1)∵f(﹣x)=﹣fx),x∈(0,1)时,
∴当x∈(﹣1,0)时,
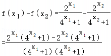
(2)证明:设0<x1x2<1,则



∵0<x1x2<1,

fx1)﹣fx2)>0,即fx1)>fx2),
fx)在(0,1)是减函数.
[点评]
本题考查了"由函数的单调性求解函数或参数,函数的奇偶性,",属于"易错题",熟悉题型是解题的关键。
转载声明:
本题解析属于发布者收集录入,如涉及版权请向平台申诉! !版权申诉
167498. (2023•关山中学•高一上三月) a∈R,函数a>0).
(1)若函数yfx)是奇函数,求a的值;
(2)请判断函数yfx)的单调性,并用定义证明.
共享时间:2023-01-30 难度:2 相似度:2
166350. (2024•西工大附中•高一上二月) 已知fx)=aR上的奇函数.
(1)求a
(2)判断fx)的单调性(不要求证明),并求fx)的值域.
(3)设关于x的函数有两个零点,求实数b的取值范围.
共享时间:2024-12-29 难度:3 相似度:1.67
169992. (2023•西工大附中•高一上期末) 已知函数是奇函数,且f(1)=2.
(1)求ab的值;
(2)证明函数fx)在(﹣∞,﹣1)上是增函数.
共享时间:2023-02-20 难度:3 相似度:1.67
231813. (2025•雁塔二中•高二下一月) .已知fx)=是定义在R上的奇函数.
(1)求b的值;
(2)判断fx)在R上的单调性,并用定义证明;
(3)若f(1﹣a)+f(1﹣a2)<0,求实数a的取值范围.
共享时间:2025-04-27 难度:3 相似度:1.67
171307. (2024•西安中学•高一上期中) 已知函数fx)=是定义在区间[﹣1,1]上的奇函数,且f(﹣1)=﹣
(1)求函数fx)的解析式;
(2)判断函数fx)在区间[﹣1,1]上的单调性,并用函数单调性的定义证明;
(3)求满足不等式ft﹣1)+ft2﹣1)<0的实数t的取值范围.
共享时间:2024-11-16 难度:3 相似度:1.67
170972. (2024•曲江二中•高一上期中) 已知函数是定义在[﹣1,1]上的奇函数,且
(1)求ab的值;
(2)用定义法证明函数fx)在[﹣1,1]上单调递增;
(3)若fx)≤m2﹣5mt﹣5对于任意的x∈[﹣1,1],t∈[﹣1,1]恒成立,求实数m的取值范围.
共享时间:2024-11-24 难度:3 相似度:1.67
233474. (2023•铁一中学•高二下三月) 函数fx)=是定义在(﹣3,3)上的奇函数,且f(1)=
(1)确定fx)的解析式;
(2)判断fx)在(﹣3,3)上的单调性,并证明你的结论;
(3)解关于t的不等式ft﹣1)+ft)<0.
共享时间:2023-07-19 难度:3 相似度:1.67
171825. (2022•西安中学•高一上期中) 已知函数fx)是定义在R上的奇函数,当x≤0时,fx)=x2+2x
(1)求函数fx)在R上的解析式,并在图中画出fx)在R上的图象;
(2)求不等式xfx)>0的解集.

共享时间:2022-11-28 难度:1 相似度:1.5
172139. (2022•碑林区•高一上期中) 已知函数
(1)证明:fx)为偶函数;
(2)判断gx)=fx)+x的单调性并用定义证明;
(3)解不等式fx)﹣fx﹣2)+2x>2.
共享时间:2022-11-15 难度:4 相似度:1.5
172028. (2022•西工大附中•高一上期中) 已知函数
(1)证明:fx)为偶函数;
(2)判断gx)=fx)+x的单调性并用定义证明;
(3)解不等式fx)﹣fx﹣2)+2x>2.
共享时间:2022-11-22 难度:4 相似度:1.5
171415. (2023•长安区一中•高一上期中) 已知函数是定义在(﹣1,1)上的奇函数,且
(1)求函数fx)的解析式;
(2)用定义证明函数fx)在(0,1)上单调递增;
(3)解关于t的不等式,
共享时间:2023-11-15 难度:4 相似度:1.5
172379. (2021•西安中学•高一上期中) 对于定义域为D的函数yfx)若同时满足下列条件:
fx)在D内单调递增或单调递减:
②存在区间[ab]⊆D,使fx)在[ab]上的值域为[ab],那么把yfx)(xD)叫闭函数.
(1)求证:函数fx)=是[0,2]的闭函数;
(2)求闭函数y=﹣x3符合条件②的区间[ab];
(3)判断函数是否为闭函数?若是闭函数,求实数k的取值范围.
共享时间:2021-11-10 难度:1 相似度:1.5
232763. (2023•高新一中•高一上二月) 我们知道,函数yfx)的图象是关于坐标原点的中心对称图形的充要条件是函数yfx)为奇函数,有同学发现可以将其推广为:函数yfx)的图象是关于点Pab)的中心对称图形的充要条件是函数yfx+a)﹣b为奇函数.
(1)求函数的对称中心;
(2)函数,若对任意x1∈[5,6],都存在x2∈[0,2],使得gx1)=fx2),求实数m的取值范围.
共享时间:2023-12-27 难度:1 相似度:1.5
233143. (2023•师大附中•高一下二月) 已知函数gx)=xkx∈R,k为常数.
(1)当k=2时,判断函数gx)的奇偶性,并说明理由;
(2)当k=1时,设函数,判断函数fx)在区间(2,+∞)上的单调性,并利用函数单调性的定义证明你的结论.
(3)在(2)的前提条件下,求fx)在[3,5]上的值域.
共享时间:2023-06-16 难度:4 相似度:1.5
233394. (2022•西工大附中•高三上一月) 已知a>1.
(1)求证y=logax的单调性;
(2)求证yax的单调性.
共享时间:2022-10-18 难度:1 相似度:1.5

dygzsxyn

2017-11-28

高中数学 | 高一上 | 解答题

  • 下载量
  • 浏览量
  • 收益额
  • 0
  • 3
  • 0
相同试题
试题下载
试题内容
调用试题名称
共享人
唐老师
试题题型
解答题
试题难度
试题题源
2020*西工大*期末
下载次数
168次
下载金币
5德优币(当前结余18德优币)
温馨提示
该试题下载至自主题库后,下载、备课永久免费!
试卷设置
试卷名称
省市校区
阶段科目
年份卷型
选择类型
已选考点
在线训练
视频讲解
温馨提示
视频讲解正在加载中、请等待!
温馨提示
对不起!这是别人共享的试题,需要下载到自主题库后,可将该试题添加到白板
视频解析购买
支付方式
德优币数
本次消耗0德优币
温馨提示

客服电话:400-816-0029,服务邮箱:610066832@qq.com

视频资源

试题找茬
纠错类型
纠错描述
温馨提示
共享试题、试卷经平台审核通过后方可展示,并永久享用用户下载分红权!