首页 | 客服 | 上传赚现
AI助手
德优题库AI助手

AI助手

搜题▪组卷

(1)

服务热线

400-816-0029

    自建题库,共享分红

德优题库QQ交流群

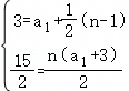
232152. (2024•西工大附中•高二下一月) 在等差数列{an}中,a1>0,an=3,,求a1n的值.
共享时间:2024-04-26 难度:2
[考点]
等差数列的通项公式,等差数列的前n项和,
[答案]

[解析]
解:因为an=3,
所以,解得
因为a1>0,所以
[点评]
本题考查了"等差数列的通项公式,等差数列的前n项和,",属于"必考题",熟悉题型是解题的关键。
转载声明:
本题解析属于发布者收集录入,如涉及版权请向平台申诉! !版权申诉
169328. (2025•西安八十五中•高二上期末) 在等差数列{an}中,已知a1+a3=12,a2+a4=18,n∈N*
(1)求数列{an}的通项公式;
(2)设数列{an}的前n项和为Sn,求S10的值.
共享时间:2025-02-15 难度:2 相似度:2
167450. (2023•雁塔二中•高二上二月) Sn为等差数列{an}的前n项和.已知S9=﹣a5
(1)若a3=4,求{an}的通项公式;
(2)若a1>0,求使得Snann的取值范围.
共享时间:2023-12-24 难度:2 相似度:2
168985. (2020•西安中学•一模) 已知等比数列{an}的各项均为正数,a2=8,a3+a4=48.
(Ⅰ)求数列{an}的通项公式;
(Ⅱ)设bn=log4an.证明:{bn}为等差数列,并求{bn}的前n项和Sn
共享时间:2020-03-02 难度:3 相似度:1.67
171936. (2022•长安区一中•高二上期中) {an}是等差数列,公差d>0,Sn是{an}的前n项和.已知a1a4=22.S4=26.
(1)求数列{an}的通项公式an
(2)令,求数列{bn}前n项和Tn
共享时间:2022-11-29 难度:3 相似度:1.67
237700. (2019•铁一中学•高二上期中) 在等差数列{an}中,Sn为其前n项和(n∈N*),且a2=3,S4=16.
(Ⅰ)求数列{an}的通项公式;
(Ⅱ)设bn,求数列{bn}的前n项和Tn
共享时间:2019-11-13 难度:2 相似度:1
237678. (2019•铁一中学•高二上期中) 在等差数列{an}中,Sn为其前n项和(n∈N*),且a2=3,S4=16.
(Ⅰ)求数列{an}的通项公式;
(Ⅱ)设bn,求数列{bn}的前n项和Tn
共享时间:2019-11-23 难度:2 相似度:1
236454. (2017•西安中学•高一下期末) 在等差数列{an}中,a2=4,a4+a7=15.
(1)求数列{an}的通项公式;
(2)设bn+2n,求b1+b2+b3+…+b9的值.
共享时间:2017-07-20 难度:2 相似度:1
232023. (2023•西咸新区•高三上一月) 设等差数列{an}的前n项和为Sna5=3,S5=35.
(1)求{an}的通项公式;
(2)若bn=|an|,求数列{bn}的前n项和Tn
共享时间:2023-10-19 难度:2 相似度:1
172288. (2022•师大附中•高二下期中) 等差数列{an}中,a2=4,a4+a7=15.
(Ⅰ)求数列{an}的通项公式;
(Ⅱ)设bn+n,求b1+b2+b3+…+b10的值.
共享时间:2022-05-22 难度:2 相似度:1
170169. (2023•铁一中学•高二上期末) 已知等差数列{an}的前n项和为Sn,且a3=6,S4=20.
(Ⅰ)求数列{an}的通项公式;
(Ⅱ)若a1akSk+2成等比数列,求正整数k的值.
共享时间:2023-02-15 难度:2 相似度:1
169146. (2020•西工大附中•二模) 已知数列{an}的前n项和为Sn,且a2=8,Sn+Sn+1=4(n+1)2
(1)求数列{an+an+1}的通项公式;
(2)证明:数列{an}是等差数列.
共享时间:2020-03-17 难度:2 相似度:1
167451. (2023•雁塔二中•高二上二月) 在△ABC中,角ABC的对边分别为abc,已知sinAsinB+sinBsinC+cos2B=1.
(1)求证:abc成等差数列;
(2)若C,求的值.
共享时间:2023-12-24 难度:2 相似度:1
167147. (2023•西安中学•高二上二月) Sn是等差数列{an}的前n项和,若S5=﹣35,S7=﹣21.
(1)求{an}的通项公式,并求Sn的最小值;
(2)设bn=|an|,求数列{bn}的前n项和Tn
共享时间:2023-12-17 难度:2 相似度:1
166837. (2024•西安八十五中•一模) 设等差数列{an}的公差为d,且d>1.令,记SnTn分别为数列{an},{bn}的前n项和.
(1)若3a2=3a1+a3S3+T3=21,求{an}的通项公式;
(2)若{bn}为等差数列,且S99T99=99,求d
共享时间:2024-03-12 难度:2 相似度:1
166387. (2024•长安区一中•高二上二月) Sn为等差数列{an}的前n项和,已知a2=11,S10=40.
(1)求{an}的通项公式;
(2)求数列{|an|}的前n项和Tn
共享时间:2024-12-18 难度:2 相似度:1

dygzsxyn

2024-04-26

高中数学 | 高二下 | 解答题

  • 下载量
  • 浏览量
  • 收益额
  • 0
  • 3
  • 0
相同试题
试题下载
试题内容
调用试题名称
共享人
唐老师
试题题型
解答题
试题难度
试题题源
2020*西工大*期末
下载次数
168次
下载金币
5德优币(当前结余18德优币)
温馨提示
该试题下载至自主题库后,下载、备课永久免费!
试卷设置
试卷名称
省市校区
阶段科目
年份卷型
选择类型
已选考点
在线训练
视频讲解
温馨提示
视频讲解正在加载中、请等待!
温馨提示
对不起!这是别人共享的试题,需要下载到自主题库后,可将该试题添加到白板
视频解析购买
支付方式
德优币数
本次消耗0德优币
温馨提示

客服电话:400-816-0029,服务邮箱:610066832@qq.com

视频资源

试题找茬
纠错类型
纠错描述
温馨提示
共享试题、试卷经平台审核通过后方可展示,并永久享用用户下载分红权!