首页 | 客服 | 上传赚现
AI助手
德优题库AI助手

AI助手

搜题▪组卷

(1)

服务热线

400-816-0029

    自建题库,共享分红

德优题库QQ交流群

231542. (2015•西安一中•一模) 设函数fx)=(1+x2mln(1+x),gx)=x2+x+a
(1)当a=0时,fx)≥gx)在(0,+∞)上恒成立,求实数m的取值范围;
(2)当m=2时,若函数hx)=fx)﹣gx)在[0,2]上恰有两个不同的零点,求实数a的取值范围;
(3)是否存在常数m,使函数fx)和函数gx)在公共定义域上具有相同的单调性?若存在,求出m的取值范围;若不存在,请说明理由.
共享时间:2015-03-01 难度:3
[考点]
函数的零点,利用导数研究函数的单调性,利用导数研究函数的最值,
[答案]
见试题解答内容
[解析]
解:(1)当a=0时,fx)≥gx)在(0,+∞)上恒成立⇔
设φ(x)=,则fx)≥gx)在(0,+∞)上恒成立⇔m≤φ(xmin
∵φ′(x)=
x∈(0,e﹣1)时,φ′(x)<0;当x∈(e﹣1,+∞)时,φ′(x)>0.
故φ(x)在xe﹣1处取得极小值,也是最小值,即φ(xmin=φ(e﹣1)=e,故me

(2)函数hx)=fx)﹣gx)在[0,2]上恰有两个不同的零点等价于方程1+x﹣2ln(1+x)=a在[0,2]上恰有两个相异实根,
Fx)=1+x﹣2ln(1+x),则F′(x)=,当(0,1]时,F′(x)<0,当(1,2]时,F′(x)>0,
Fx)在(0,1]上递减,在(1,2]上递增,
Fminx)=F(1)=2﹣2ln2.且F(0)=1,F(2)=3﹣2ln3,
因此F(0)>F(2),
∴只要F(1)<F(2),即只要F(1)<aF(2),可使方程hx)在[0,2]上恰有两个不同的零点.
a∈(2﹣2ln2,3﹣2ln3].

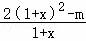
(3)存在满足题意.f′(x)=2(1+x)﹣,函数fx)的定义域是(﹣1,+∞),
m≤0,意.f′(x)≥0,函数fx)在(﹣1,+∞)上单调递增,不合题意;
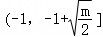
m>0时,由f′(x)>0,得2(1+x2m>0,解得x>﹣1+x<﹣1﹣(舍去),
m>0时,函数fx)的增区间是,单调递减区间是
而函数gx)在(﹣1,+∞)上的单调递减区间是,单调递增区间是
故只需=﹣,解得m
[点评]
本题考查了"函数的零点,利用导数研究函数的单调性,利用导数研究函数的最值,",属于"难典题",熟悉题型是解题的关键。
转载声明:
本题解析属于发布者收集录入,如涉及版权请向平台申诉! !版权申诉
167522. (2023•关山中学•高三上一月) 已知函数fx)=aex+a)﹣x,(a∈R).
(1)当a=1时,求fx)的最值;
(2)讨论fx)的单调性.
共享时间:2023-10-20 难度:2 相似度:1.67
167040. (2023•西安中学•高三上一月) 已知函数fx)=lnxax﹣2(a≠0).
(1)讨论函数fx)的单调性;
(2)若函数fx)有最大值M,且Ma﹣4,求实数a的取值范围.
共享时间:2023-10-27 难度:2 相似度:1.67
167372. (2024•长安区•高二下一月) 已知函数fx)=aexxa
(1)讨论fx)的单调性;
(2)若fx)≥0恒成立,求a的取值集合;
(3)若存在,且fx1)+x1(1﹣cosx1)=fx2)+x2(1﹣cosx2)=0,求a的取值范围.
共享时间:2024-04-22 难度:2 相似度:1.67
167328. (2023•长安区一中•高三上二月) 已知函数fx)=lnx+ax+1.
(1)讨论fx)的单调性;
(2)若不等式fx)﹣xex≤0恒成立,求a的取值范围.(参考数据:ln2≈0.7)
共享时间:2023-12-21 难度:2 相似度:1.67
167833. (2024•长安区一中•一模) 已知函数e=2.71828……是自然对数底数).
(1)当a=1时,讨论函数fx)的单调性;
(2)当a>1时,证明:fx)>1﹣ea
共享时间:2024-03-04 难度:2 相似度:1.67
168150. (2023•西工大附中•六模) 已知函数fx)=(a+3)x+2lnxa∈R.
(1)讨论fx)的单调性;
(2)对∀x>0,不等式fx)≤x2ex﹣1恒成立,求实数a的取值范围.
共享时间:2023-05-19 难度:2 相似度:1.67
168013. (2023•师大附中•十模) 已知函数fx)=exxgx)=ax2+1,a∈R.
(Ⅰ)求fx)在区间[﹣2,2]上的最值.
(Ⅱ)当x>0时,恒有fx)>gx),求实数a的取值范围.
共享时间:2023-07-02 难度:2 相似度:1.67
168197. (2023•西工大附中•八模) 已知函数fx)=alnx﹣2xa≠0).
(1)讨论fx)的单调性;
(2)当x>0时,不等式恒成立,求a的取值范围.
共享时间:2023-06-11 难度:2 相似度:1.67
167902. (2024•西安八十九中•三模) 已知函数,函数在区间[1,+∞)上为增函数.
(Ⅰ)确定θ的值,求m=3时曲线yfx)在点(1,f(1))处的切线方程;
(Ⅱ)设函数hx)=fx)﹣gx)在x∈(0,+∞)上是单调函数,求实数m的取值范围.
共享时间:2024-04-02 难度:2 相似度:1.67
166836. (2024•西安八十五中•一模) 已知函数fx)=a2x+a﹣2x+maxax)(a>0且a≠1).
(1)若m=2,求函数fx)的最小值;
(2)若fx)≥﹣1恒成立,求实数m的取值范围.
共享时间:2024-03-12 难度:1 相似度:1.33
166759. (2024•建大附中•一模) 若函数fx)在[ab]上存在x1x2ax1x2b),使得f'(x2)=,则称fx)是[ab]上的“双中值函数”,其中x1x2称为fx)在[ab]上的中值点.
(1)判断函数fx)=x3﹣3x2+1是否是[﹣1,3]上的“双中值函数”,并说明理由.
(2)已知函数,存在mn>0,使得fm)=fn),且fx)是[nm]上的“双中值函数”,x1x2fx)在[nm]上的中值点.
①求a的取值范围;
②证明:x1+x2a+2.
共享时间:2024-03-13 难度:1 相似度:1.33
168229. (2021•西安中学•四模) 已知函数fx)=(x+1)lnxx+1.
(Ⅰ)若xf′(x)≤x2+ax+1,求a的取值范围;
(Ⅱ)证明:(x﹣1)fx)≥0.
共享时间:2021-04-28 难度:1 相似度:1.33
167083. (2023•西安中学•高三上四月) 已知函数fx)=ex+ax2e2x
(1)若曲线在点(2,f(2))处的切线平行于x轴,求函数fx)的单调区间;
(2)若x∈(0,1)时,总有fx)>xexe2x+1,求实数a的取值范围.
共享时间:2023-02-19 难度:1 相似度:1.33
168253. (2021•西安中学•五模) 已知函数fx)=ex﹣1﹣axa∈R).
(1)试讨论函数fx)的零点个数;
(2)若函数gx)=lnex﹣1)﹣lnx,且f[gx)]<fx)在x∈(0,+∞)上恒成立,求实数a的取值范围.
共享时间:2021-05-01 难度:1 相似度:1.33
168105. (2023•西工大附中•十三模) 已知函数fx)=ex(1+alnx),其中a>0,设f′(x)为fx)导函数.
(Ⅰ)设gx)=exf′(x),若gx)≥2恒成立,求a的范围;
(Ⅱ)设函数fx)的零点为x0,函数f′(x)的极小值点为x1,当a>2时,求证:x0x1
共享时间:2023-07-20 难度:1 相似度:1.33

dygzsxyn

2015-03-01

高中数学 | | 解答题

  • 下载量
  • 浏览量
  • 收益额
  • 0
  • 3
  • 0
相同试题
试题下载
试题内容
调用试题名称
共享人
唐老师
试题题型
解答题
试题难度
试题题源
2020*西工大*期末
下载次数
168次
下载金币
5德优币(当前结余18德优币)
温馨提示
该试题下载至自主题库后,下载、备课永久免费!
试卷设置
试卷名称
省市校区
阶段科目
年份卷型
选择类型
已选考点
在线训练
视频讲解
温馨提示
视频讲解正在加载中、请等待!
温馨提示
对不起!这是别人共享的试题,需要下载到自主题库后,可将该试题添加到白板
视频解析购买
支付方式
德优币数
本次消耗0德优币
温馨提示

客服电话:400-816-0029,服务邮箱:610066832@qq.com

视频资源

试题找茬
纠错类型
纠错描述
温馨提示
共享试题、试卷经平台审核通过后方可展示,并永久享用用户下载分红权!