首页 | 客服 | 上传赚现
AI助手
德优题库AI助手

AI助手

搜题▪组卷

(1)

服务热线

400-816-0029

    自建题库,共享分红

德优题库QQ交流群

231292. (2016•西工大附中•五模) 已知函数fx)=ln(1+ax)﹣a>0).
(1)当a时,求fx)的极值;
(2)若afx)存在两个极值点x1x2,试比较fx1)+fx2)与f(0)的大小;
(3)证明:n!(n≥2,n∈N).
共享时间:2016-05-04 难度:2
[考点]
利用导数研究函数的极值,利用导数研究函数的最值,
[答案]
见试题解答内容
[解析]
解:(1)fx)=ln(1+x)﹣,定义域解得x>﹣2,
f′(x)=,即有(﹣2,2)递减,(2,+∞)递增,
fx)的极小值为f(2)=ln2﹣1,没有极大值.
(2)fx)=ln(1+ax)﹣a>0),x>﹣
f′(x)=
由于a<1,则a(1﹣a)∈(0,),﹣<﹣
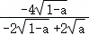
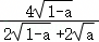
ax2﹣4(1﹣a)=0,解得x=±
fx1)+fx2)=ln[1+2]+ln[1﹣2]﹣
fx1)+fx2)=ln[(1﹣2a2]+ln[(1﹣2a2]+﹣2
t=2a﹣1,当a<1,0<t<1,则设fx1)+fx2)=gt)=lnt2+﹣2,
当0<t<1时,gt)=2lnt+﹣2,
g′(t)=<0
gt)在0<t<1上递减,gt)>g(1)=0,即fx1)+fx2)>f(0)=0恒成立,
综上述fx1)+fx2)>f(0);
(3)证明:当0<t<1时,gt)=2lnt+﹣2>0恒成立,即lnt+﹣1>0恒成立,
tn≥2,n∈N),即ln+n﹣1>0,即有n﹣1>lnn
即有1>ln2,2>ln3,3>ln4,…,n﹣1>lnn
即有1+2+3+…+(n﹣1)>ln2+ln3+ln4+…+lnnln(2×3×4×…×n)=lnn!),
lnn!),
n!(n≥2,n∈N).
[点评]
本题考查了"利用导数研究函数的极值,利用导数研究函数的最值,",属于"易错题",熟悉题型是解题的关键。
转载声明:
本题解析属于发布者收集录入,如涉及版权请向平台申诉! !版权申诉
167351. (2023•长安区一中•高三上二月) 已知函数fx)=ax+x2lnx
(1)证明:当a≤0时,函数fx)有唯一的极值点;
(2)设a为正整数,若不等式fx)<ex在(0,+∞)内恒成立,求a的最大值.
共享时间:2023-12-15 难度:2 相似度:2
168299. (2022•西工大附中•一模) 已知函数fx)=ax+x2lnx
(1)证明:当a≤0时,函数fx)有唯一的极值点;
(2)设a为正整数,若不等式fx)<ex在(0,+∞)内恒成立,求a的最大值.
共享时间:2022-03-12 难度:2 相似度:2
168174. (2023•西工大附中•八模) 已知函数fx)=kx﹣1)exx2k∈R).
(1)当k=1时,求函数fx)的单调区间;
(2)若函数fx)有两个极值点,且极小值大于﹣5,求实数k的取值范围.
共享时间:2023-06-15 难度:2 相似度:2
167966. (2023•师大附中•十一模) 已知函数fx)=4lnxax+a≥0).
(1)当a,求fx)的极值.
(2)当a≥1时,设gx)=2ex﹣4x+2a,若存在x1x2∈[,2],使fx1)>gx2),求实数a的取值范围.(e为自然对数的底数,e=2.71828…)
共享时间:2023-07-18 难度:2 相似度:2
167192. (2023•周至四中•一模) 已知函数fx)=lnxax
(1)当a=2,求fx)的极值;
(2)若fx)≤﹣eax恒成立,求a的取值范围.
共享时间:2023-03-04 难度:2 相似度:2
19774. (2021•陕西省•乙卷) 已知函数fx)=lnax),已知x=0是函数yxfx)的极值点.
(1)求a
(2)设函数gx)=.证明:gx)<1.
共享时间:2021-06-21 难度:5 相似度:1.67
167764. (2024•西安一中•三模) 已知曲线在点(0,f(0))处的切线的斜率为3,且当x=3时,函数fx)取得极值.
(1)求函数在点(0,f(0))处的切线方程;
(2)求函数的极值;
(3)若存在x∈[0,3],使得不等式fx)﹣m≤0成立,求m的取值范围.
共享时间:2024-04-15 难度:3 相似度:1.67
168437. (2021•西安中学•七模) 已知函数fx)=
(1)若函数fx)的图象在x=1处的切线为y=1,求fx)的极值;
(2)若fx)≤ex+﹣1恒成立,求实数a的取值范围.
共享时间:2021-06-06 难度:3 相似度:1.67
168344. (2022•长安区一中•三模) 已知函数fx)=ex
(1)若关于x的不等式fx)≥a(sinx+cosx)在上恒成立,求实数a的取值范围;
(2)当时,证明:fx)≥sinx+cosx
共享时间:2022-04-07 难度:1 相似度:1.5
167083. (2023•西安中学•高三上四月) 已知函数fx)=ex+ax2e2x
(1)若曲线在点(2,f(2))处的切线平行于x轴,求函数fx)的单调区间;
(2)若x∈(0,1)时,总有fx)>xexe2x+1,求实数a的取值范围.
共享时间:2023-02-19 难度:1 相似度:1.5
166836. (2024•西安八十五中•一模) 已知函数fx)=a2x+a﹣2x+maxax)(a>0且a≠1).
(1)若m=2,求函数fx)的最小值;
(2)若fx)≥﹣1恒成立,求实数m的取值范围.
共享时间:2024-03-12 难度:1 相似度:1.5
168082. (2023•西工大附中•十三模) 已知函数fx)=ex(1+alnx),其中a>0,设f′(x)为fx)导函数.
(Ⅰ)设gx)=exf′(x),若gx)≥2恒成立,求a的范围;
(Ⅱ)设函数fx)的零点为x0,函数f′(x)的极小值点为x1,当a>2时,求证:x0x1
共享时间:2023-07-27 难度:1 相似度:1.5
168253. (2021•西安中学•五模) 已知函数fx)=ex﹣1﹣axa∈R).
(1)试讨论函数fx)的零点个数;
(2)若函数gx)=lnex﹣1)﹣lnx,且f[gx)]<fx)在x∈(0,+∞)上恒成立,求实数a的取值范围.
共享时间:2021-05-01 难度:1 相似度:1.5
167305. (2023•长安区一中•高三上四月) 已知函数a>0.
(1)讨论fx)极值点的个数;
(2)若fx)恰有三个零点t1t2t3t1t2t3)和两个极值点x1x2x1x2).
(ⅰ)证明:fx1)+fx2)=0;
(ⅱ)若mn,且mlnmnlnn,证明:
共享时间:2023-02-23 难度:1 相似度:1.5
168229. (2021•西安中学•四模) 已知函数fx)=(x+1)lnxx+1.
(Ⅰ)若xf′(x)≤x2+ax+1,求a的取值范围;
(Ⅱ)证明:(x﹣1)fx)≥0.
共享时间:2021-04-28 难度:1 相似度:1.5

dygzsxyn

2016-05-04

高中数学 | | 解答题

  • 下载量
  • 浏览量
  • 收益额
  • 0
  • 4
  • 0
相同试题
试题下载
试题内容
调用试题名称
共享人
唐老师
试题题型
解答题
试题难度
试题题源
2020*西工大*期末
下载次数
168次
下载金币
5德优币(当前结余18德优币)
温馨提示
该试题下载至自主题库后,下载、备课永久免费!
试卷设置
试卷名称
省市校区
阶段科目
年份卷型
选择类型
已选考点
在线训练
视频讲解
温馨提示
视频讲解正在加载中、请等待!
温馨提示
对不起!这是别人共享的试题,需要下载到自主题库后,可将该试题添加到白板
视频解析购买
支付方式
德优币数
本次消耗0德优币
温馨提示

客服电话:400-816-0029,服务邮箱:610066832@qq.com

视频资源

试题找茬
纠错类型
纠错描述
温馨提示
共享试题、试卷经平台审核通过后方可展示,并永久享用用户下载分红权!