首页 | 客服 | 上传赚现
AI助手
德优题库AI助手

AI助手

搜题▪组卷

(1)

服务热线

400-816-0029

    自建题库,共享分红

德优题库QQ交流群

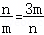
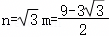
230486. (2025•长安区•一模) 设函数fx)=x2﹣(m+nlnx﹣(m+n﹣2)x,其中mn>0,若fx)有两个零点且m+n取最小整数P时,的最小值为(  )
A.   
B.   
C.  
D.
共享时间:2025-03-15 难度:1
[考点]
利用导数研究函数的最值,
[答案]
B
[解析]
解:令m+nt,则函数fx)=x2tlnx﹣(t﹣2)x,定义域为(0,+∞),

t≤0时,f′(x)>0,函数fx)在(0,+∞)上单调递增,fx)最多一个零点,不符合题意;
t>0时,由f′(x)<0,得;由f′(x)>0,得
函数fx)在上单调递减,在上单调递增,
所以
x→0+时,fx)→+∞;当x→+∞,fx)→+∞,
fx)有两个零点,得,即
函数在(0,+∞)上均单调递增,则函数在(0,+∞)上单调递增,
,因此存在t0∈(2,3),使得gt0)=0,
则不等式gt)>0成立时tt0t的最小整数值为3,即m+nP=3,
mn>0,得m>0,n>0,
当且仅当,即时取等号,B正确.
故选:B
[点评]
本题考查了"利用导数研究函数的最值,",属于"常考题",熟悉题型是解题的关键。
转载声明:
本题解析属于发布者收集录入,如涉及版权请向平台申诉! !版权申诉
168885. (2021•高新一中•二模) 已知函数xx0处取得最大值,则下列选项正确的是(  )

A.              

C.  

B.               

D.

共享时间:2021-03-23 难度:1 相似度:2
232280. (2023•铁一中学•高三上四月) 关于x的不等式eax﹣2xb≥0的解集为R,则的最大值是(  )
A.        
B.     
C.    
D.
共享时间:2023-02-28 难度:1 相似度:2
168336. (2022•长安区一中•三模) 若不等式exalnax﹣1)+1≥0对∀x∈[,1]恒成立(e为自然对数的底数),则实数a的最大值为(  )
A.e+1     
B.e         
C.e2+1    
D.e2
共享时间:2022-04-07 难度:1 相似度:2
168543. (2021•西安中学•六模) 函数fx)=x+gx)=xaalnxa<0),当x∈(1,+∞)时,关于x的不等式fx)≥gx)恒成立,则实数a的最小值为(  )
A.
B.           
C.      
D.e
共享时间:2021-05-15 难度:1 相似度:2
168796. (2021•西工大附中•十三模) 已知函数.若fx)≥0(x∈R)恒成立,则满足条件的a的个数为(  )
A..0       
B..1        
C..2       
D.3
共享时间:2021-07-22 难度:1 相似度:2
166651. (2024•高新一中•三模) x>1时,函数y=(lnx2+alnx+1的图象在直线yx的下方,则实数a的取值范围是(  )
A.(﹣∞,e)                   
B.(﹣∞,)  
C.(﹣∞,)             
D.(﹣∞,e﹣2)
共享时间:2024-04-04 难度:1 相似度:2
170479. (2022•西工大附中•高二下期末) 定义在(0,+∞)上的函数fx)满足:∀x∈(0,+∞),2fx)<xf′(x)<3fx)恒成立,其中f′(x)为fx)的导函数,则(  )

A.             

C. 

B.                

D.

共享时间:2022-07-11 难度:1 相似度:2
169934. (2023•长安区一中•高二上期末) 已知函数fx)=exax,若fx)≥4x在R上恒成立,则实数a的取值范围为(  )
A..[0,e+2]
B..[1,e+3] 
C..[﹣4,e﹣1]
D.[﹣4,e﹣4]
共享时间:2023-02-10 难度:2 相似度:1.5
172103. (2022•高新一中•高一上期中) 已知函数fx)=exex+x|x|+2在区间[﹣2,2]上的最大值与最小值分别为MN,则M+N的值为(  )
A.﹣2       
B..0        
C..2       
D..4
共享时间:2022-11-15 难度:2 相似度:1.5
170559. (2021•西安中学•高二上期末) 已知函数fx)=x3﹣2x2x∈[﹣1,3],则下列说法不正确的是(  )

A.最大值为9   

B.最小值为﹣3 

C.函数fx)在区间[1,3]上单调递增

D.x=0是它的极大值点

共享时间:2021-02-20 难度:2 相似度:1.5
232540. (2024•经开一中•高二下一月) 若不等式aexlnx+lna≥0恒成立,则a的取值范围是(  )
A.
B.                 
C.          
D.[e,+∞)
共享时间:2024-04-16 难度:2 相似度:1.5
169471. (2024•西工大附中•高二上期末) 若不等式aexlnx+lna≥0恒成立,则a的取值范围是(  )
A.
B.
C.
D..[e,+∞)
共享时间:2024-02-02 难度:2 相似度:1.5
169117. (2020•西工大附中•三模) 若对∀m∈R,∀x∈(0,+∞),≥0恒成立,则实数a的最小值为(  )
A.e         
B..1        
C.      
D.
共享时间:2020-04-03 难度:2 相似度:1.5
167663. (2024•西安中学•一模) 若函数有两个不同的极值点x1x2,且tfx1)+x2fx2)﹣x1恒成立,则实数t的取值范围为(  )

A.(﹣∞,﹣5)                 

C.(﹣∞,﹣5]  

B.(﹣∞,2﹣2ln2)             

D.(﹣∞,2﹣2ln2]

共享时间:2024-03-11 难度:2 相似度:1.5
167097. (2023•西安中学•高三上二月) 已知ab∈R,关于x的不等式exax+b在R上恒成立,则ab的最大值为(  )
A.      
B.         
C.e2        
D.e3
共享时间:2023-12-24 难度:2 相似度:1.5

dygzsxyn

2025-03-15

高中数学 | | 选择题

  • 下载量
  • 浏览量
  • 收益额
  • 0
  • 3
  • 0
相同试题
试题下载
试题内容
调用试题名称
共享人
唐老师
试题题型
解答题
试题难度
试题题源
2020*西工大*期末
下载次数
168次
下载金币
5德优币(当前结余18德优币)
温馨提示
该试题下载至自主题库后,下载、备课永久免费!
试卷设置
试卷名称
省市校区
阶段科目
年份卷型
选择类型
已选考点
在线训练
视频讲解
温馨提示
视频讲解正在加载中、请等待!
温馨提示
对不起!这是别人共享的试题,需要下载到自主题库后,可将该试题添加到白板
视频解析购买
支付方式
德优币数
本次消耗0德优币
温馨提示

客服电话:400-816-0029,服务邮箱:610066832@qq.com

视频资源

试题找茬
纠错类型
纠错描述
温馨提示
共享试题、试卷经平台审核通过后方可展示,并永久享用用户下载分红权!