首页 | 客服 | 上传赚现
AI助手
德优题库AI助手

AI助手

搜题▪组卷

(1)

服务热线

400-816-0029

    自建题库,必找德优

德优题库QQ交流群

首页 > 试卷详情
德优网2020陕西省高中数学高考真题

2020年陕西省高考数学试卷(理科)(新课标Ⅱ)

试卷总分:150分    命题人:zwbj@dyw.com    考试时长:120分钟

一、选择题(12小题共60分)
1. (本题5分) 已知集合U={-2,-1,0,1,2,3},A={-1,0,1},B={1,2},则∁U(A∪B)=(  )
A.{-2,3} B.{-2,2,3}
C.{-2,-1,0,3} D.{-2,-1,0,2,3}
2. (本题5分) 若α为第四象限角,则(  )
A.cos2α>0
B.cos2α<0
C.sin2α>0
D.sin2α<0
3. (本题5分) 在新冠肺炎疫情防控期间,某超市开通网上销售业务,每天能完成1200份订单的配货,由于订单量大幅增加,导致订单积压.为解决困难,许多志愿者踊跃报名参加配货工作.已知该超市某日积压500份订单未配货,预计第二天的新订单超过1600份的概率为0.05.志愿者每人每天能完成50份订单的配货,为使第二天完成积压订单及当日订单的配货的概率不小于0.95,则至少需要志愿者(  )
A.10名
B.18名
C.24名
D.32名
4. (本题5分) 德优题库北京天坛的圜丘坛为古代祭天的场所,分上、中、下三层.上层中心有一块圆形石板(称为天心石),环绕天心石砌9块扇面形石板构成第一环,向外每环依次增加9块.下一层的第一环比上一层的最后一环多9块,向外每环依次也增加9块.已知每层环数相同,且下层比中层多729块,则三层共有扇面形石板(不含天心石)(  )
A.3699块
B.3474块
C.3402块
D.3339块
5. (本题5分) 若过点(2,1)的圆与两坐标轴都相切,则圆心到直线2x-y-3=0的距离为(  )
A.
B.
C.
D.
6. (本题5分) 数列{an}中,a1=2,am+n=aman.若ak+1+ak+2+…+ak+10=215-25,则k=(  )
A.2
B.3
C.4
D.5
7. (本题5分) 如图是一个多面体的三视图,这个多面体某条棱的一个端点在正视图中对应的点为M,在俯视图中对应的点为N,则该端点在侧视图中对应的点为(  )
德优题库
A.E
B.F
C.G
D.H
8. (本题5分) O为坐标原点,直线xa与双曲线C1a0b0)的两条渐近线分别交于DE两点.若ODE的面积为8,则C的焦距的最小值为(  )
A.4
B.8
C.16
D.32
9. (本题5分) 设函数f(x)=ln|2x+1|-ln|2x-1|,则f(x)(  )

A.是偶函数,且在(+∞)单调递增       

B.是奇函数,且在(﹣)单调递减    

C.是偶函数,且在(﹣,﹣)单调递增

D.是奇函数,且在(﹣,﹣)单调递减

10. (本题5分) 已知ABC是面积为的等边三角形,且其顶点都在球O的球面上.若球O的表面积为16π,则O到平面ABC的距离为(  )
A.
B.
C.1
D.
11. (本题5分) 若2x-2y<3-x-3-y,则(  )
A.ln(y-x+1)>0 B.ln(y-x+1)<0
C.ln|x-y|>0 D.ln|x-y|<0
12. (本题5分) 01周期序列在通信技术中有着重要应用.若序列a1a2an满足ai{01}i12),且存在正整数m,使得ai+maii12)成立,则称其为01周期序列,并称满足ai+maii12…)的最小正整数m为这个序列的周期.对于周期为m01序列a1a2anCk)=aiai+kk12m1)是描述其性质的重要指标,下列周期为501序列中,满足Ckk1234)的序列是(  )
A.11010…
B.11011…
C.10001…
D.11001…
二、填空题(4小题共20分)
13. (本题5分) 已知单位向量的夹角为45°k垂直,则k             
14. (本题5分) 4名同学到3个小区参加垃圾分类宣传活动,每名同学只去1个小区,每个小区至少安排1名同学,则不同的安排方法共有        种.
15. (本题5分) 设复数z1z2满足|z1||z2|2z1+z2+i,则|z1z2|            
16. (本题5分) 设有下列四个命题:
p1:两两相交且不过同一点的三条直线必在同一平面内.
p2:过空间中任意三点有且仅有一个平面.
p3:若空间两条直线不相交,则这两条直线平行.
p4:若直线l⊂平面α,直线m⊥平面α,则m⊥l.
则下述命题中所有真命题的序号是       
①p1∧p4
②p1∧p2
③¬p2∨p3
④¬p3∨¬p4
三、解答题(7小题共70分)第17~21题为必考题,每个试题考生都必须作答。第22、23题为选考题,考生根据要求作答。(一)必考题:共60分。
17. (本题12分) ABC中,sin2A﹣sin2B﹣sin2C=sinBsinC
(1)求A
(2)若BC=3,求△ABC周长的最大值.
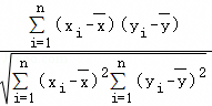
18. (本题12分) 某沙漠地区经过治理,生态系统得到很大改善,野生动物数量有所增加.为调查该地区某种野生动物的数量,将其分成面积相近的200个地块,从这些地块中用简单随机抽样的方法抽取20个作为样区,调查得到样本数据(xiyi)(i=1,2,…,20),其中xiyi分别表示第i个样区的植物覆盖面积(单位:公顷)和这种野生动物的数量,并计算得xi=60,yi=1200,xi2=80,yi2=9000,xi)(yi)=800.
(1)求该地区这种野生动物数量的估计值(这种野生动物数量的估计值等于样区这种野生动物数量的平均数乘以地块数);
(2)求样本(xiyi)(i=1,2,…,20)的相关系数(精确到0.01);
(3)根据现有统计资料,各地块间植物覆盖面积差异很大.为提高样本的代表性以获得该地区这种野生动物数量更准确地估计,请给出一种你认为更合理的抽样方法,并说明理由.
附:相关系数r≈1.414.
19. (本题12分) 已知椭圆C1+=1(ab>0)的右焦点F与抛物线C2的焦点重合,C1的中心与C2的顶点重合,过F且与x轴垂直的直线交C1AB两点,交C2CD两点,且|CD|=|AB|.
(1)求C1的离心率;
(2)设MC1C2的公共点.若|MF|=5,求C1C2的标准方程.
20. (本题12分) 如图,已知三棱柱ABCA1B1C1的底面是正三角形,侧面BB1C1C是矩形,MN分别为BCB1C1的中点,PAM上一点,过B1C1P的平面交ABE,交ACF
(1)证明:AA1MN,且B1C1⊥平面A1AMN
(2)设O为△A1B1C1的中心,若AO∥面EB1C1F,且AOAB,求直线B1E与平面A1AMN所成角的正弦值.
21. (本题12分) 已知函数fx)=sin2xsin2x
(1)讨论fx)在区间(0,π)的单调性;
(2)证明:|fx)|≤
(3)设n∈N*,证明:sin2xsin22xsin24x…sin22nx

(二)选考题:共10分。请考生在第2223题中任选一题作答。如果多做,则按所做的第一题计分。[选修4-4:坐标系与参数方程]10分)

22. (本题10分) 已知曲线C1C2的参数方程分别为C1(θ为参数),C2t为参数).
(1)将C1C2的参数方程化为普通方程;
(2)以坐标原点为极点,x轴正半轴为极轴建立极坐标系.设C1C2的交点为P,求圆心在极轴上,且经过极点和P的圆的极坐标方程.

[选修4-5:不等式选讲]10分)

23. (本题0分) 已知函数fx)=|xa2|+|x2a+1|.
(1)当a=2时,求不等式fx)≥4的解集;
(2)若fx)≥4,求a的取值范围.
转载声明:
本题解析属于发布者收集录入,如涉及版权请向平台申诉! !版权申诉
温馨提示
对不起!这是别人共享的试卷,需要下载到自主题库后,可将该试卷添加到白板
试题下载
试题内容
调用试题名称
共享人
唐老师
试题题型
解答题
试题难度
试题题源
2020*西工大*期末
下载次数
168次
下载金币
5德优币(当前结余18德优币)
温馨提示
该试题下载至自主题库后,下载、备课永久免费!
相似题
德优题库校正考点说明
操作步骤
领取试卷→修改考点→完成任务→领取赚现
试卷设置
试卷名称
省市校区
阶段科目
年份卷型
选择类型
已选考点
在线训练
可见权限
会员看题 会员看题和答案
试卷下载
试卷名称
调用试卷名称
共享人
唐老师
试卷卷型
1111
试卷难度
试卷来源
2020*西工大*期末
下载次数
168次
下载金币
5德优币(当前结余18德优币)
温馨提示
该试卷下载至自主题库后,下载、备课永久免费!
组卷付费
试卷名称
调用试卷名称
试卷来源
唐老师
试卷形式
全选 卷主 序号 卷型 难度 年份 省市区 题源 金币 操作
8 选择题 2018年 陕西 真题 2币 查看
8 选择题 2018年 陕西 真题 2币 查看
8 选择题 2018年 陕西 真题 2币 查看
8 选择题 2018年 陕西 真题 2币 查看
8 选择题 2018年 陕西 真题 2币 查看
8 选择题 2018年 陕西 真题 2币 查看
下载金币
5德优币(当前结余18德优币)
温馨提示
该试卷下载至自主题库后,下载、备课永久免费!
试题找茬
纠错类型
纠错描述
温馨提示
共享试题、试卷经平台审核通过后方可展示,并永久享用用户下载分红权!
平行组卷明细
2020年陕西省高考数学试卷(理科)(新课标Ⅱ)的细目表
  • 题号
  • 考点
  • 操作
  • 1
  • 集合的交并补混合运算,
  • 查看
  • 2
  • 二倍角的三角函数,
  • 查看
  • 3
  • 等可能事件和等可能事件的概率,
  • 查看
  • 4
  • 等差数列的性质,等差数列的通项公式,等差数列的前n项和,
  • 查看
  • 5
  • 点到直线的距离公式,直线与圆的位置关系,
  • 查看
  • 6
  • 数列递推式,
  • 查看
  • 7
  • 简单组合体的结构特征,三视图,
  • 查看
  • 8
  • 直线与双曲线的综合,
  • 查看
  • 9
  • 奇偶性与单调性的综合,
  • 查看
  • 10
  • 空间中点到平面的距离,
  • 查看
  • 11
  • 由函数的单调性求解函数或参数,
  • 查看
  • 12
  • 数列的求和,
  • 查看
  • 13
  • 平面向量数量积的性质及其运算,数量积判断两个平面向量的垂直关系,
  • 查看
  • 14
  • 排列组合的综合应用,
  • 查看
  • 15
  • 复数的模,
  • 查看
  • 16
  • 命题的真假判断与应用,
  • 查看
  • 17
  • 正弦定理,余弦定理,
  • 查看
  • 18
  • 简单随机抽样,样本相关系数,
  • 查看
  • 19
  • 椭圆的标准方程,直线与椭圆的综合,
  • 查看
  • 20
  • 直线与平面垂直,直线与平面所成的角,
  • 查看
  • 21
  • 利用导数研究函数的单调性,利用导数研究函数的最值,
  • 查看
  • 22
  • 参数方程化成普通方程,
  • 查看
  • 23
  • 绝对值不等式的解法,
  • 查看
细目重组明细
2020年陕西省高考数学试卷(理科)(新课标Ⅱ)的细目表
  • 题号
  • 考点
  • 选题
  • 1
  • 集合的交并补混合运算,
  • 查看
  • 2
  • 二倍角的三角函数,
  • 查看
  • 3
  • 等可能事件和等可能事件的概率,
  • 查看
  • 4
  • 等差数列的性质,等差数列的通项公式,等差数列的前n项和,
  • 查看
  • 5
  • 点到直线的距离公式,直线与圆的位置关系,
  • 查看
  • 6
  • 数列递推式,
  • 查看
  • 7
  • 简单组合体的结构特征,三视图,
  • 查看
  • 8
  • 直线与双曲线的综合,
  • 查看
  • 9
  • 奇偶性与单调性的综合,
  • 查看
  • 10
  • 空间中点到平面的距离,
  • 查看
  • 11
  • 由函数的单调性求解函数或参数,
  • 查看
  • 12
  • 数列的求和,
  • 查看
  • 13
  • 平面向量数量积的性质及其运算,数量积判断两个平面向量的垂直关系,
  • 查看
  • 14
  • 排列组合的综合应用,
  • 查看
  • 15
  • 复数的模,
  • 查看
  • 16
  • 命题的真假判断与应用,
  • 查看
  • 17
  • 正弦定理,余弦定理,
  • 查看
  • 18
  • 简单随机抽样,样本相关系数,
  • 查看
  • 19
  • 椭圆的标准方程,直线与椭圆的综合,
  • 查看
  • 20
  • 直线与平面垂直,直线与平面所成的角,
  • 查看
  • 21
  • 利用导数研究函数的单调性,利用导数研究函数的最值,
  • 查看
  • 22
  • 参数方程化成普通方程,
  • 查看
  • 23
  • 绝对值不等式的解法,
  • 查看
视频讲解
温馨提示
视频讲解正在加载中、请等待!
视频解析购买
支付方式
德优币数
本次消耗0德优币
温馨提示

客服电话:400-816-0029,服务邮箱:610066832@qq.com

视频资源

选择考点
存放类型
已选考点

平行组卷卷生成中,请等待

组卷异常提醒
温馨提示
试题篮存在未完成组卷,请前往组卷页面-组卷管理,点击“完成组卷”后,方可修改或添加试卷!
试题改考点
原考点
选择新考点
试题