首页 | 客服 | 上传赚现
AI助手
德优题库AI助手

AI助手

搜题▪组卷

(1)

服务热线

400-816-0029

    自建题库,共享分红

德优题库QQ交流群

236376. (2017•长安区一中•高二上期末) 已知函数
(1)讨论fx)的单调性;
(2)当a=1时,证明:对于任意的x∈[1,2]成立.
共享时间:2017-02-02 难度:2
[考点]
利用导数研究函数的单调性,利用导数研究函数的最值,
[答案]
见试题解答内容
[解析]
(1)解:由fx)=axlnx)+
f′(x)=a(1﹣)+x>0).
a≤0,则ax2﹣2<0恒成立,
∴当x∈(0,1)时,f′(x)>0,fx)为增函数,
x∈(1,+∞)时,f′(x)<0,fx)为减函数;
a>0,若0<a<2,当x∈(0,1)和(,+∞)时,f′(x)>0,fx)为增函数,
x∈(1,)时,f′(x)<0,fx)为减函数;
a=2,f′(x)≥0恒成立,fx)在(0,+∞)上为增函数;
a>2,当x∈(0,)和(1,+∞)时,f′(x)>0,fx)为增函数,
x∈(,1)时,f′(x)<0,fx)为减函数;
(2)证明:∵a=1,
Fx)=fx)﹣f′(x)=xlnx+﹣1++xlnx++﹣1.
gx)=xlnxhx)=+﹣1.
Fx)=fx)﹣f′(x)=gx)+hx),
g′(x)=≥0,可得gx)≥g(1)=1,当且仅当x=1时取等号;
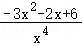
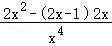
h′(x)=
设φ(x)=﹣3x2﹣2x+6,则φ(x)在[1,2]上单调递减,
且φ(1)=1,φ(2)=﹣10,
∴在[1,2]上存在x0,使得x∈(1,x0) 时φ(x0)>0,x∈(x0,2)时,φ(x0)<0,
∴函数hx)在(1,x0)上单调递增;在(x0,2)上单调递减,
由于h(1)=1,h(2)=,因此hx)≥h(2)=,当且仅当x=2取等号,
fx)﹣f′(x)=gx)+hx)>g(1)+h(2)=
Fx)>恒成立.
fx)>f′(x)+对于任意的x∈[1,2]成立.
[点评]
本题考查了"利用导数研究函数的单调性,利用导数研究函数的最值,",属于"必考题",熟悉题型是解题的关键。
转载声明:
本题解析属于发布者收集录入,如涉及版权请向平台申诉! !版权申诉
168391. (2023•交大附中•十三模) 已知函数fx)=2xalnx
(1)当a=1时,求函数yfx)的单调区间;
(2)若函数fx)≥(a+2)xxex恒成立,求实数a的取值范围.
共享时间:2023-07-21 难度:2 相似度:2
168197. (2023•西工大附中•八模) 已知函数fx)=alnx﹣2xa≠0).
(1)讨论fx)的单调性;
(2)当x>0时,不等式恒成立,求a的取值范围.
共享时间:2023-06-11 难度:2 相似度:2
167902. (2024•西安八十九中•三模) 已知函数,函数在区间[1,+∞)上为增函数.
(Ⅰ)确定θ的值,求m=3时曲线yfx)在点(1,f(1))处的切线方程;
(Ⅱ)设函数hx)=fx)﹣gx)在x∈(0,+∞)上是单调函数,求实数m的取值范围.
共享时间:2024-04-02 难度:2 相似度:2
168013. (2023•师大附中•十模) 已知函数fx)=exxgx)=ax2+1,a∈R.
(Ⅰ)求fx)在区间[﹣2,2]上的最值.
(Ⅱ)当x>0时,恒有fx)>gx),求实数a的取值范围.
共享时间:2023-07-02 难度:2 相似度:2
167522. (2023•关山中学•高三上一月) 已知函数fx)=aex+a)﹣x,(a∈R).
(1)当a=1时,求fx)的最值;
(2)讨论fx)的单调性.
共享时间:2023-10-20 难度:2 相似度:2
167372. (2024•长安区•高二下一月) 已知函数fx)=aexxa
(1)讨论fx)的单调性;
(2)若fx)≥0恒成立,求a的取值集合;
(3)若存在,且fx1)+x1(1﹣cosx1)=fx2)+x2(1﹣cosx2)=0,求a的取值范围.
共享时间:2024-04-22 难度:2 相似度:2
167328. (2023•长安区一中•高三上二月) 已知函数fx)=lnx+ax+1.
(1)讨论fx)的单调性;
(2)若不等式fx)﹣xex≤0恒成立,求a的取值范围.(参考数据:ln2≈0.7)
共享时间:2023-12-21 难度:2 相似度:2
168150. (2023•西工大附中•六模) 已知函数fx)=(a+3)x+2lnxa∈R.
(1)讨论fx)的单调性;
(2)对∀x>0,不等式fx)≤x2ex﹣1恒成立,求实数a的取值范围.
共享时间:2023-05-19 难度:2 相似度:2
167040. (2023•西安中学•高三上一月) 已知函数fx)=lnxax﹣2(a≠0).
(1)讨论函数fx)的单调性;
(2)若函数fx)有最大值M,且Ma﹣4,求实数a的取值范围.
共享时间:2023-10-27 难度:2 相似度:2
167833. (2024•长安区一中•一模) 已知函数e=2.71828……是自然对数底数).
(1)当a=1时,讨论函数fx)的单调性;
(2)当a>1时,证明:fx)>1﹣ea
共享时间:2024-03-04 难度:2 相似度:2
167083. (2023•西安中学•高三上四月) 已知函数fx)=ex+ax2e2x
(1)若曲线在点(2,f(2))处的切线平行于x轴,求函数fx)的单调区间;
(2)若x∈(0,1)时,总有fx)>xexe2x+1,求实数a的取值范围.
共享时间:2023-02-19 难度:1 相似度:1.5
168253. (2021•西安中学•五模) 已知函数fx)=ex﹣1﹣axa∈R).
(1)试讨论函数fx)的零点个数;
(2)若函数gx)=lnex﹣1)﹣lnx,且f[gx)]<fx)在x∈(0,+∞)上恒成立,求实数a的取值范围.
共享时间:2021-05-01 难度:1 相似度:1.5
168344. (2022•长安区一中•三模) 已知函数fx)=ex
(1)若关于x的不等式fx)≥a(sinx+cosx)在上恒成立,求实数a的取值范围;
(2)当时,证明:fx)≥sinx+cosx
共享时间:2022-04-07 难度:1 相似度:1.5
168082. (2023•西工大附中•十三模) 已知函数fx)=ex(1+alnx),其中a>0,设f′(x)为fx)导函数.
(Ⅰ)设gx)=exf′(x),若gx)≥2恒成立,求a的范围;
(Ⅱ)设函数fx)的零点为x0,函数f′(x)的极小值点为x1,当a>2时,求证:x0x1
共享时间:2023-07-27 难度:1 相似度:1.5
168229. (2021•西安中学•四模) 已知函数fx)=(x+1)lnxx+1.
(Ⅰ)若xf′(x)≤x2+ax+1,求a的取值范围;
(Ⅱ)证明:(x﹣1)fx)≥0.
共享时间:2021-04-28 难度:1 相似度:1.5

dygzsxyn

2017-02-02

高中数学 | 高二上 | 解答题

  • 下载量
  • 浏览量
  • 收益额
  • 0
  • 3
  • 0
相同试题
试题下载
试题内容
调用试题名称
共享人
唐老师
试题题型
解答题
试题难度
试题题源
2020*西工大*期末
下载次数
168次
下载金币
5德优币(当前结余18德优币)
温馨提示
该试题下载至自主题库后,下载、备课永久免费!
试卷设置
试卷名称
省市校区
阶段科目
年份卷型
选择类型
已选考点
在线训练
视频讲解
温馨提示
视频讲解正在加载中、请等待!
温馨提示
对不起!这是别人共享的试题,需要下载到自主题库后,可将该试题添加到白板
视频解析购买
支付方式
德优币数
本次消耗0德优币
温馨提示

客服电话:400-816-0029,服务邮箱:610066832@qq.com

视频资源

试题找茬
纠错类型
纠错描述
温馨提示
共享试题、试卷经平台审核通过后方可展示,并永久享用用户下载分红权!