首页 | 客服 | 上传赚现
AI助手
德优题库AI助手

AI助手

搜题▪组卷

(1)

服务热线

400-816-0029

    自建题库,共享分红

德优题库QQ交流群

231773. (2025•师大附中•高二下二月) 已知函数fx)=exalnx).
(1)求曲线yfx)在点(1,f(1))处的切线方程;
(2)当a=1时,求函数fx)的单调区间;
(3)若,求a的取值范围.
共享时间:2025-06-30 难度:2
[考点]
利用导数研究函数的最值,利用导数研究曲线上某点切线方程,
[答案]
(1)(a﹣1)exy+e=0.
(2)函数fx)的单调减区间为(0,+∞),无单调增区间.
(3)a∈(﹣∞,1].
[解析]
解:(1)根据函数fx)=exalnx),那么f(1)=ae
导函数,那么f′(1)=(a﹣1)e
因此切线方程为yf(1)=(a﹣1)ex﹣1),
化简得(a﹣1)exy+e=0.
(2)根据a=1,那么函数fx)=ex(1﹣lnx),导函数
令函数,导函数
x>1时,g′(x)<0,当0<x<1时,g′(x)>0,
因此gx)在(1,+∞)上单调递减,在(0,1)上单调递增,
那么gx)≤g(1)=0,即f′(x)≤0,
因此fx)单调减区间为(0,+∞),无单调增区间.
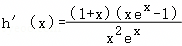
(3)由不等式,整理可得
,求导可得
ux)=xex﹣1(x>0),u′(x)=(x+1)ex>0,函数ux)在(0,+∞)上单调递增,
u(0)=﹣1<0,u(1)=e﹣1>0,则存在x0∈(0,1),使得ux0)=0,即
当0<xx0时,h′(x)<0,当x0x时,h′(x)>0,
所以函数hx)在(0,x0)上单调递减,在(x0,+∞)上单调递增,

可得a∈(﹣∞,1].
[点评]
本题考查了"利用导数研究函数的最值,利用导数研究曲线上某点切线方程,",属于"易错题",熟悉题型是解题的关键。
转载声明:
本题解析属于发布者收集录入,如涉及版权请向平台申诉! !版权申诉
167810. (2024•西安一中•二模) 已知函数fx)=ex﹣1﹣axa∈R).
(1)若函数fx)在点(1,f(1))处的切线与直线x+2ey+1=0垂直,求a的值;
(2)当x∈(0,2]时,讨论函数Fx)=fx)﹣xlnx零点的个数.
共享时间:2024-03-29 难度:2 相似度:2
167879. (2024•西工大附中•模拟) 已知函数fx)=2sinxax
(Ⅰ)若函数在[0,π]内点A处的切线斜率为﹣aa≠0),求点A的坐标;
(Ⅱ)①当a=1时,求gx)=fx)﹣lnx+1)在上的最小值;
②证明:
共享时间:2024-03-05 难度:2 相似度:2
166469. (2024•铁一中学•高三上三月) 定义:若函数fx)图象上恰好存在相异的两点PQ满足曲线yfx)在PQ处的切线重合,则称PQ为曲线yfx)的“双重切点”,直线PQ为曲线yfx)的“双重切线”.
(1)直线yx是否为曲线fx)=x2﹣2x+2lnx的“双重切线”,请说明理由;
(2)已知函数gx)=,求曲线ygx)的“双重切线”的方程;
(3)已知函数hx)=cosx,直线PQ为曲线yhx)的“双重切线”,记直线PQ的斜率所有可能的取值为k1k2,…,kn,若k1k2kii=3,4,5,…,n),证明:
共享时间:2024-01-29 难度:2 相似度:2
166718. (2024•西安三中•高一上二月) 已知函数fx)=xex﹣2axa>0).
(1)若函数fx)在x=1处的切线与坐标轴围成的三角形的面积为,求a的值;
(2)若函数fx)的最小值为﹣e,求a的值.
共享时间:2024-12-11 难度:2 相似度:2
167717. (2024•西安一中•五模) 已知函数
(1)若曲线yfx)在点(1,f(1))处的切线经过原点,求a的值;
(2)设gx)=x2﹣2x,若对任意s∈(0,2],均存在t∈(0,2],使得fs)<gt),求a的取值范围.
共享时间:2024-05-13 难度:2 相似度:2
168368. (2022•长安区一中•三模) 已知函数fx)=(3xaex+cosx+2.
(1)若对∀a∈R,曲线yfx)在点(x0fx0))处的切线恒过点(﹣1,0),求x0的值;
(2)当a≤3时,证明:fx)≥0.
共享时间:2022-04-05 难度:2 相似度:2
167106. (2023•西安中学•高三上二月) 已知函数fx)=x2ax+1,gx)=lnx+aa∈R).
(1)若a=1,fx)>gx)在区间(0,t)上恒成立,求实数t的取值范围;
(2)若函数fx)和gx)有公切线,求实数a的取值范围.
共享时间:2023-12-24 难度:2 相似度:2
167671. (2024•西安中学•一模) 已知函数fx)=lnxx+(x﹣2)ex
(1)求曲线yfx)在点(1,f(1))处的切线方程;
(2)若fx)≤b对任意的恒成立,求满足条件的实数b的最小整数值.
共享时间:2024-03-11 难度:2 相似度:2
168437. (2021•西安中学•七模) 已知函数fx)=
(1)若函数fx)的图象在x=1处的切线为y=1,求fx)的极值;
(2)若fx)≤ex+﹣1恒成立,求实数a的取值范围.
共享时间:2021-06-06 难度:3 相似度:1.67
167764. (2024•西安一中•三模) 已知曲线在点(0,f(0))处的切线的斜率为3,且当x=3时,函数fx)取得极值.
(1)求函数在点(0,f(0))处的切线方程;
(2)求函数的极值;
(3)若存在x∈[0,3],使得不等式fx)﹣m≤0成立,求m的取值范围.
共享时间:2024-04-15 难度:3 相似度:1.67
167626. (2024•师大附中•十模) 已知函数,曲线yfx)在点(0,f(0))处的切线与x轴平行或重合.
(1)求φ的值;
(2)若对∀x≥0,fx)≤0恒成立,求a的取值范围;
(3)利用下表数据证明:
1.010 0.990 2.182 0.458 2.204 0.454
共享时间:2024-07-09 难度:3 相似度:1.67
168229. (2021•西安中学•四模) 已知函数fx)=(x+1)lnxx+1.
(Ⅰ)若xf′(x)≤x2+ax+1,求a的取值范围;
(Ⅱ)证明:(x﹣1)fx)≥0.
共享时间:2021-04-28 难度:1 相似度:1.5
167855. (2024•西工大附中•模拟) 已知函数fx)=axlnxa,且fx)≥0.
(1)求a
(2)设gx)=xfx),证明:gx)存在唯一的极大值点x0,且gx0)<
共享时间:2024-03-05 难度:1 相似度:1.5
168082. (2023•西工大附中•十三模) 已知函数fx)=ex(1+alnx),其中a>0,设f′(x)为fx)导函数.
(Ⅰ)设gx)=exf′(x),若gx)≥2恒成立,求a的范围;
(Ⅱ)设函数fx)的零点为x0,函数f′(x)的极小值点为x1,当a>2时,求证:x0x1
共享时间:2023-07-27 难度:1 相似度:1.5
168105. (2023•西工大附中•十三模) 已知函数fx)=ex(1+alnx),其中a>0,设f′(x)为fx)导函数.
(Ⅰ)设gx)=exf′(x),若gx)≥2恒成立,求a的范围;
(Ⅱ)设函数fx)的零点为x0,函数f′(x)的极小值点为x1,当a>2时,求证:x0x1
共享时间:2023-07-20 难度:1 相似度:1.5

dygzsxyn

2025-06-30

高中数学 | 高二下 | 解答题

  • 下载量
  • 浏览量
  • 收益额
  • 0
  • 27
  • 0
相同试题
试题下载
试题内容
调用试题名称
共享人
唐老师
试题题型
解答题
试题难度
试题题源
2020*西工大*期末
下载次数
168次
下载金币
5德优币(当前结余18德优币)
温馨提示
该试题下载至自主题库后,下载、备课永久免费!
试卷设置
试卷名称
省市校区
阶段科目
年份卷型
选择类型
已选考点
在线训练
视频讲解
温馨提示
视频讲解正在加载中、请等待!
温馨提示
对不起!这是别人共享的试题,需要下载到自主题库后,可将该试题添加到白板
视频解析购买
支付方式
德优币数
本次消耗0德优币
温馨提示

客服电话:400-816-0029,服务邮箱:610066832@qq.com

视频资源

试题找茬
纠错类型
纠错描述
温馨提示
共享试题、试卷经平台审核通过后方可展示,并永久享用用户下载分红权!