首页 | 客服 | 上传赚现
AI助手
德优题库AI助手

AI助手

搜题▪组卷

(1)

服务热线

400-816-0029

    自建题库,共享分红

德优题库QQ交流群

231420. (2016•西工大附中•六模) 已知抛物线:y2=2pxp>0)的焦点F在双曲线:=1的右准线上,抛物线与直线lykx﹣2)(k>0)交于AB两点,AFBF的延长线与抛物线交于CD两点.
(1)求抛物线的方程;
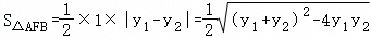
(2)若△AFB的面积等于3,
①求k的值;
②求直线CD的斜率.
共享时间:2016-05-26 难度:2
[考点]
抛物线的焦点与准线,双曲线的几何特征,
[答案]
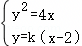
(1)y2=4x
(2)①2;
②4.
[解析]
解:(1)双曲线:的右准线方程为:x=1
所以F(1,0),则抛物线的方程为:y2=4x…(4分)
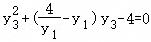
(2)设
ky2﹣4y﹣8k=0Δ=16+32k2>0,


解得k=2…(8分)
y1+y2=2,y1y2=﹣8
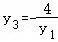
,则
因为AFC共线,所以

解得:y3y1(舍)或
所以,同理
…(12分)
[点评]
本题考查了"抛物线的焦点与准线,双曲线的几何特征,",属于"易错题",熟悉题型是解题的关键。
转载声明:
本题解析属于发布者收集录入,如涉及版权请向平台申诉! !版权申诉
168482. (2021•西安中学•三模) 已知双曲线的一条渐近线方程为,点在双曲线上,抛物线y2=2pxp>0)的焦点F与双曲线的右焦点重合.
(Ⅰ)求双曲线和抛物线的标准方程;
(Ⅱ)过点F作互相垂直的直线l1l2,设l1与抛物线的交点为ABl2与抛物线的交点为DE,求|AB|+|DE|的最小值.
共享时间:2021-04-14 难度:2 相似度:2
166256. (2024•师大附中•高二上二月) 设抛物线Cy2=2pxp>0),过焦点F的直线与抛物线C交于点Ax1y1),Bx2y2).当直线AB垂直于x轴时,|AB|=2.
(1)求抛物线C的标准方程.
(2)已知点P(1,0),直线APBP分别与抛物线C交于点CD
①求证:直线CD过定点;
②求△PAB与△PCD面积之和的最小值.
共享时间:2024-12-29 难度:5 相似度:1.5
171068. (2024•高新一中•高二上期中) 在平面直角坐标系xOy中,利用公式①(其中abcd为常数),将点Pxy)变换为点P′(x′,y′)的坐标,我们称该变换为线性变换,也称①为坐标变换公式,该变换公式①可由abcd组成的正方形数表唯一确定,我们将称为二阶矩阵,矩阵通常用大写英文字母AB,…表示.
(1)如图,在平面直角坐标系xOy中,将点Pxy)绕原点O按逆时针旋转α角得到点P′(x′,y′)(到原点距离不变),求坐标变换公式及对应的二阶矩阵A
(2)在平面直角坐标系xOy中,求双曲线xy=1绕原点O按逆时针旋转(到原点距离不变)得到的双曲线方程C
(3)已知由(2)得到的双曲线C,上顶点为D,直线l与双曲线C的两支分别交于AB两点(B在第一象限),与x轴交于点.设直线DADB的倾斜角分别为α,β,求证:α+β为定值.

共享时间:2024-11-27 难度:1 相似度:1.5
170795. (2020•西安中学•高二上期末) 已知双曲线的渐近线方程为y=±2x,且过点(﹣3,).
(1)求双曲线的方程;
(2)若直线4xy﹣6=0与双曲线相交于AB两点,求|AB|的值.
共享时间:2020-02-24 难度:1 相似度:1.5
169311. (2025•铁一中学•高二上期末) 已知抛物线C1y2=4xC2x2=2pyp>0)的焦点分别为F1F2,点P(﹣1,﹣1),且F1F2OPO为坐标原点).
I)求抛物线C2的方程;
II)过点O的直线交C1的下半部分于点M,交C2的左半部分于点N,求△PMN面积的最小值.
共享时间:2025-02-12 难度:1 相似度:1.5
170037. (2023•西工大附中•高三上期末) 已知抛物线Cy2=2pxp>0)的焦点F到准线的距离为2,圆My轴相切,且圆心M与抛物线C的焦点重合.
(1)求抛物线C和圆M的方程;
(2)设Px0y0)(x0≠2)为圆M外一点,过点P作圆M的两条切线,分别交抛物线C于两个不同的点Ax1y1),Bx2y2)和点Qx3y3),Rx4y4).且y1y2y3y4=16,证明:点P在一条定曲线上.
共享时间:2023-02-04 难度:1 相似度:1.5
172441. (2021•西安中学•高二上期中) 已知抛物线的顶点在原点,焦点Fx轴上,且过点(4,4).
(Ⅰ)求抛物线的标准方程和焦点坐标;
(Ⅱ)设点P是抛物线上一动点,M点是PF的中点,求点M的轨迹方程.
共享时间:2021-11-29 难度:1 相似度:1.5
230865. (2017•师大附中•七模) 设直线l0过抛物线Cx2=2pyp>0)的焦点且与抛物线分别相交于A0B0两点,已知|A0B0|=6,直线l0的倾斜角θ满足sinθ=
(1)求抛物线C的方程;
(2)设N是直线lyx﹣4上的任一点,过NC的两条切线,切点分别为AB,试证明直线AB过定点,并求该定点的坐标.
共享时间:2017-06-02 难度:1 相似度:1.5
231219. (2016•西工大附中•十模) 已知双曲线C=1(ab>0),F1F2C的左、右焦点,PC右支上一点,且使∠F1PF2,又△F1PF2的面积为3a2
(Ⅰ)求双曲线C的离心率e
(Ⅱ)设AC的左顶点,Q为第一象限内C上任意一点,问是否存在常数λ(λ>0),使得∠QF2A=λ∠QAF2恒成立,若存在,求出λ的值,若不存在,请说明理由.
共享时间:2016-06-20 难度:1 相似度:1.5
230888. (2017•师大附中•七模) 设直线l0过抛物线Cx2=2pyp>0)的焦点且与抛物线分别相交于A0B0两点,已知|A0B0|=6,直线l0的倾斜角θ满足sinθ=
(1)求抛物线C的方程;
(2)设N是直线lyx﹣4上的任一点,过NC的两条切线,切点分别为AB,试证明直线AB过定点,并求该定点的坐标.
共享时间:2017-06-04 难度:1 相似度:1.5
167455. (2023•雁塔二中•高二上二月) 已知抛物线Cy2=3x的焦点为F,斜率为的直线lC的交点为AB,与x轴的交点为P
(1)若|AF|+|BF|=4,求l的方程;
(2)若=3,求|AB|.
共享时间:2023-12-24 难度:1 相似度:1.5
231444. (2016•西工大附中•六模) 已知抛物线:y2=2pxp>0)的焦点F在双曲线:=1的右准线上,抛物线与直线lykx﹣2)(k>0)交于AB两点,AFBF的延长线与抛物线交于CD两点.
(1)求抛物线的方程;
(2)若△AFB的面积等于3,求k的值;
(3)记直线CD的斜率为kCD,证明:为定值,并求出该定值.
共享时间:2016-05-25 难度:5 相似度:1.5
169527. (2024•铁一中学•高三上期末) 已知F1F2分别为双曲线C=1(a>0,b>0)的左、右焦点,点P(2,3)在C上,且△PF1F2的面积为6.
(1)求C的方程;
(2)若过点F2且斜率为k的直线l交双曲线C的右支于AB两点,Qx轴上一点,满足|QA|=|QB|,证明:为定值.
共享时间:2024-02-27 难度:1 相似度:1.5
166661. (2024•高新一中•三模) 已知中心在坐标原点O,以坐标轴为对称轴的双曲线E经过点,且其渐近线的斜率为
(1)求E的方程.
(2)若动直线lE交于AB两点,且,证明:为定值.
共享时间:2024-04-04 难度:1 相似度:1.5
166468. (2024•铁一中学•高三上三月) 设抛物线Cy2=2pxp>0),过焦点F的直线与C交于点AB.当直线AB垂直于x轴时,|AB|=2.
(1)求C的方程;
(2)已知点P(1,0),直线APBP分别与C交于点CD
①求证:直线CD过定点;
②求△PAB与△PCD面积之和的最小值.
共享时间:2024-01-29 难度:5 相似度:1.5

dygzsxyn

2016-05-26

高中数学 | | 解答题

  • 下载量
  • 浏览量
  • 收益额
  • 0
  • 3
  • 0
相同试题
试题下载
试题内容
调用试题名称
共享人
唐老师
试题题型
解答题
试题难度
试题题源
2020*西工大*期末
下载次数
168次
下载金币
5德优币(当前结余18德优币)
温馨提示
该试题下载至自主题库后,下载、备课永久免费!
试卷设置
试卷名称
省市校区
阶段科目
年份卷型
选择类型
已选考点
在线训练
视频讲解
温馨提示
视频讲解正在加载中、请等待!
温馨提示
对不起!这是别人共享的试题,需要下载到自主题库后,可将该试题添加到白板
视频解析购买
支付方式
德优币数
本次消耗0德优币
温馨提示

客服电话:400-816-0029,服务邮箱:610066832@qq.com

视频资源

试题找茬
纠错类型
纠错描述
温馨提示
共享试题、试卷经平台审核通过后方可展示,并永久享用用户下载分红权!