首页 | 客服 | 上传赚现
AI助手
德优题库AI助手

AI助手

搜题▪组卷

(1)

服务热线

400-816-0029

    自建题库,共享分红

德优题库QQ交流群

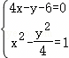
170795. (2020•西安中学•高二上期末) 已知双曲线的渐近线方程为y=±2x,且过点(﹣3,).
(1)求双曲线的方程;
(2)若直线4xy﹣6=0与双曲线相交于AB两点,求|AB|的值.
共享时间:2020-02-24 难度:1
[考点]
双曲线的几何特征,
[答案]
见试题解答内容
[解析]
解:(1)由双曲线的渐近线方程为y=±2x,则设所求双曲线的方程为:
代入方程,整理得:
解得:λ=1,
所以双曲线的方程为:
(2)由题意可知:设Ax1y1),Bx2y2),
整理得:3x2﹣12x+10=0,
由韦达定理得:
由弦长公式可知:
∴|AB|的值为
[点评]
本题考查了"双曲线的几何特征,",属于"基础题",熟悉题型是解题的关键。
转载声明:
本题解析属于发布者收集录入,如涉及版权请向平台申诉! !版权申诉
166661. (2024•高新一中•三模) 已知中心在坐标原点O,以坐标轴为对称轴的双曲线E经过点,且其渐近线的斜率为
(1)求E的方程.
(2)若动直线lE交于AB两点,且,证明:为定值.
共享时间:2024-04-04 难度:1 相似度:2
169527. (2024•铁一中学•高三上期末) 已知F1F2分别为双曲线C=1(a>0,b>0)的左、右焦点,点P(2,3)在C上,且△PF1F2的面积为6.
(1)求C的方程;
(2)若过点F2且斜率为k的直线l交双曲线C的右支于AB两点,Qx轴上一点,满足|QA|=|QB|,证明:为定值.
共享时间:2024-02-27 难度:1 相似度:2
236107. (2018•西安中学•高二上期末) 已知双曲线的方程是16x2﹣9y2=144.
(1)求这双曲线的焦点坐标、离心率和渐近线方程;
(2)设F1F2是双曲线的左、右焦点,点P在双曲线上,且|PF1|•|PF2|=32,求∠F1PF2的大小.
共享时间:2018-02-04 难度:1 相似度:2
231219. (2016•西工大附中•十模) 已知双曲线C=1(ab>0),F1F2C的左、右焦点,PC右支上一点,且使∠F1PF2,又△F1PF2的面积为3a2
(Ⅰ)求双曲线C的离心率e
(Ⅱ)设AC的左顶点,Q为第一象限内C上任意一点,问是否存在常数λ(λ>0),使得∠QF2A=λ∠QAF2恒成立,若存在,求出λ的值,若不存在,请说明理由.
共享时间:2016-06-20 难度:1 相似度:2
171010. (2024•华清中学•高二上期中) 已知曲线Cx2y2=1及直线lykx﹣1.且直线l与双曲线C有两个不同的交点AB
(1)求实数k的取值范围;
(2)O是坐标原点,且△AOB的面积为,求实数k的值.
共享时间:2024-11-22 难度:1 相似度:2
171068. (2024•高新一中•高二上期中) 在平面直角坐标系xOy中,利用公式①(其中abcd为常数),将点Pxy)变换为点P′(x′,y′)的坐标,我们称该变换为线性变换,也称①为坐标变换公式,该变换公式①可由abcd组成的正方形数表唯一确定,我们将称为二阶矩阵,矩阵通常用大写英文字母AB,…表示.
(1)如图,在平面直角坐标系xOy中,将点Pxy)绕原点O按逆时针旋转α角得到点P′(x′,y′)(到原点距离不变),求坐标变换公式及对应的二阶矩阵A
(2)在平面直角坐标系xOy中,求双曲线xy=1绕原点O按逆时针旋转(到原点距离不变)得到的双曲线方程C
(3)已知由(2)得到的双曲线C,上顶点为D,直线l与双曲线C的两支分别交于AB两点(B在第一象限),与x轴交于点.设直线DADB的倾斜角分别为α,β,求证:α+β为定值.

共享时间:2024-11-27 难度:1 相似度:2
236176. (2017•西安中学•高二上期末) 已知双曲线的焦点在x轴上,焦距为2,实轴长为2,
(1)求双曲线的标准方程与渐近线方程.
(2)若点C在该双曲线上运动,且A(﹣2,0),B(2,0),求以ABBC为相邻两边的平行四边形ABCP的顶点P的轨迹.

共享时间:2017-02-25 难度:1 相似度:2
168482. (2021•西安中学•三模) 已知双曲线的一条渐近线方程为,点在双曲线上,抛物线y2=2pxp>0)的焦点F与双曲线的右焦点重合.
(Ⅰ)求双曲线和抛物线的标准方程;
(Ⅱ)过点F作互相垂直的直线l1l2,设l1与抛物线的交点为ABl2与抛物线的交点为DE,求|AB|+|DE|的最小值.
共享时间:2021-04-14 难度:2 相似度:1.5
168104. (2023•西工大附中•十三模) 已知双曲线C的右顶点为AO为原点,点P(1,1)在C的渐近线上,△PAO的面积为
(1)求C的方程;
(2)过点P作直线lCMN两点,过点Nx轴的垂线交直线AM于点GHNG的中点,证明:直线AH的斜率为定值.
共享时间:2023-07-20 难度:2 相似度:1.5
168081. (2023•西工大附中•十三模) 已知双曲线C的右顶点为AO为原点,点P(1,1)在C的渐近线上,△PAO的面积为
(1)求C的方程;
(2)过点P作直线lCMN两点,过点Nx轴的垂线交直线AM于点GHNG的中点,证明:直线AH的斜率为定值.
共享时间:2023-07-27 难度:2 相似度:1.5
167922. (2024•西安工业大学附中•六模) 已知双曲线Γ:的实轴长为4,左、右焦点分别为F1F2,其中F2到其渐近线的距离为1
1)求双曲线Γ的标准方程;
2)若点P是双曲线Γ在第一象限的动点,双曲线Γ在点P处的切线l1x轴相交于点T
i)证明:射线PT是∠F1PF2的角平分线;
ii)过坐标原点O的直线l2l1垂直,与直线PF1相交于点Q,求△QF1F2面积的取值范围.
共享时间:2024-05-20 难度:2 相似度:1.5
167649. (2024•西安中学•一模) 已知双曲线C,其左、右顶点分别为AB,其离心率为2,且虚轴长为
(1)求双曲线C的标准方程;
(2)一动点TAB的连线分别与双曲线的右支交于PQ两点,且PQ恒过双曲线的右焦点,求证:点T在定直线上.
共享时间:2024-03-07 难度:2 相似度:1.5
171106. (2024•西安三中•高二上期中) 已知AB分别是双曲线的左、右顶点,PC上异于AB的一点,直线PAPB的斜率分别为k1k2,且k1k2=|AB|=4.
(1)求双曲线C的方程;
(2)已知过点(4,0)的直线lxmy+4,交C的左,右两支于DE两点(异于AB),
i)求m的取值范围;
ii)设直线AD与直线BE交于点Q,求证:点Q在定直线上.
共享时间:2024-11-16 难度:2 相似度:1.5
167920. (2024•西安工业大学附中•六模) 已知双曲线Γ:的实轴长为4,左、右焦点分别为F1F2,其中F2到其渐近线的距离为1.
(1)求双曲线Γ的标准方程;
(2)若点P是双曲线Γ在第一象限的动点,双曲线Γ在点P处的切线l1x轴相交于点T
i)证明:射线PT是∠F1PF2的角平分线;
ii)过坐标原点O的直线l2l1垂直,与直线PF1相交于点Q,求△QF1F2面积的取值范围.
共享时间:2024-05-20 难度:2 相似度:1.5
231420. (2016•西工大附中•六模) 已知抛物线:y2=2pxp>0)的焦点F在双曲线:=1的右准线上,抛物线与直线lykx﹣2)(k>0)交于AB两点,AFBF的延长线与抛物线交于CD两点.
(1)求抛物线的方程;
(2)若△AFB的面积等于3,
①求k的值;
②求直线CD的斜率.
共享时间:2016-05-26 难度:2 相似度:1.5

bl@dyw.com

2020-02-24

高中数学 | 高二上 | 解答题

  • 下载量
  • 浏览量
  • 收益额
  • 0
  • 15
  • 0
相同试题
试题下载
试题内容
调用试题名称
共享人
唐老师
试题题型
解答题
试题难度
试题题源
2020*西工大*期末
下载次数
168次
下载金币
5德优币(当前结余18德优币)
温馨提示
该试题下载至自主题库后,下载、备课永久免费!
试卷设置
试卷名称
省市校区
阶段科目
年份卷型
选择类型
已选考点
在线训练
视频讲解
温馨提示
视频讲解正在加载中、请等待!
温馨提示
对不起!这是别人共享的试题,需要下载到自主题库后,可将该试题添加到白板
视频解析购买
支付方式
德优币数
本次消耗0德优币
温馨提示

客服电话:400-816-0029,服务邮箱:610066832@qq.com

视频资源

试题找茬
纠错类型
纠错描述
温馨提示
共享试题、试卷经平台审核通过后方可展示,并永久享用用户下载分红权!