首页 | 客服 | 上传赚现
AI助手
德优题库AI助手

AI助手

搜题▪组卷

(1)

服务热线

400-816-0029

    自建题库,共享分红

德优题库QQ交流群

230533. (2025•长安区•二模) 已知函数fx)=lnx+1).
(1)讨论函数Fx)=axfx)(a∈R)的单调性;
(2)设函数
(ⅰ)求g(1)﹣g(﹣2)的值;
(ⅱ)证明:存在实数m,使得曲线ygx)关于直线xm对称.
共享时间:2025-03-26 难度:1
[考点]
利用导数研究函数的单调性,
[答案]
(1)答案见解析;
(2)(ⅰ)0;(ⅱ)证明见解析.
[解析]
(1)解:由题意可知Fx)=axlnx+1),则Fx)的定义域为(﹣1,+∞),
x∈(﹣1,+∞),
a≤0时,,则Fx)在(﹣1,+∞)上单调递减;
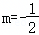
a>0时,令F′(x)=0,即ax+a﹣1=0,解得


Fx)在上单调递减,在上单调递增.
综上所述,当a≤0时,Fx)在(﹣1,+∞)上单调递减;
a>0时,Fx)在上单调递减,在上单调递增.
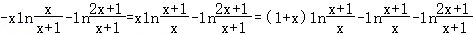
(2)(ⅰ)解:函数

g(1)﹣g(﹣2)=0.
(ⅱ)证明:函数gx)的定义域为(﹣∞,﹣1)∪(0,+∞).
若存在m,使得曲线ygx)关于直线xm对称,
则(﹣∞,﹣1)∪(0,+∞)关于直线xm对称,所以



可知曲线ygx)关于直线对称.
[点评]
本题考查了"利用导数研究函数的单调性,",属于"基础题",熟悉题型是解题的关键。
转载声明:
本题解析属于发布者收集录入,如涉及版权请向平台申诉! !版权申诉
170350. (2022•长安区一中•高一上期末) 已知函数
(1)当a=1时,判断fx)在(﹣∞,0)的单调性,并用定义证明;
(2)若对任意x∈R,不等式f(2x)>0恒成立,求a的取值范围;
(3)讨论fx)零点的个数.
共享时间:2022-02-23 难度:1 相似度:2
169654. (2024•交大附中•高一上期末) 已知实数a>0且a≠1,函数fx)=ax2﹣9x+3.
(1)设函数gx)=fx)﹣x,若gx)在(0,2]上恰有两个零点,求a的取值范围;
(2)设函数hx)=logafx),若hx)在[2,4]上单调递增,求a的取值范围.
共享时间:2024-02-04 难度:1 相似度:2
168759. (2021•西安中学•八模) 已知函数gx)是fx)的导函数.
(1)若gx)在(0,+∞)上单调递增,求m的取值范围;
(2)设Fx)=gx)﹣fx),证明:当时,Fx)有且仅有两个零点.
共享时间:2021-06-14 难度:1 相似度:2
169172. (2020•高新一中•三模) 已知函数fx)=lnx+x2+axa∈R),gx)=ex+x2x
(1)讨论fx)的单调性;
(2)定义:对于函数fx),若存在x0,使fx0)=x0成立,则称x0为函数fx)的不动点.如果函数Fx)=fx)﹣gx)存在不动点,求实数a的取值范围.
共享时间:2020-04-01 难度:1 相似度:2
169396. (2024•西安中学•高三上期末) 已知函数fx)=,其中m为正实数.
(1)试讨论函数fx)的单调性;
(2)设gx)=f′(x)+lnxmx2﹣1,若存在x∈[,1],使得不等式gx)<﹣2成立,求m的取值范围.
共享时间:2024-02-08 难度:1 相似度:2
169373. (2024•师大附中•高二上期末) 已知函数fx)=x3ax2a2x+5(a∈R).
(1)讨论fx)的单调性;
(2)若fx)有且只有两个零点,求a的值.
共享时间:2024-02-14 难度:1 相似度:2
166759. (2024•建大附中•一模) 若函数fx)在[ab]上存在x1x2ax1x2b),使得f'(x2)=,则称fx)是[ab]上的“双中值函数”,其中x1x2称为fx)在[ab]上的中值点.
(1)判断函数fx)=x3﹣3x2+1是否是[﹣1,3]上的“双中值函数”,并说明理由.
(2)已知函数,存在mn>0,使得fm)=fn),且fx)是[nm]上的“双中值函数”,x1x2fx)在[nm]上的中值点.
①求a的取值范围;
②证明:x1+x2a+2.
共享时间:2024-03-13 难度:1 相似度:2
169920. (2023•长安区一中•高二下期末) 已知函数fx)=e=2.71828…是自然对数的底数),f'(x)是fx)的导数,gx)=(x2+xf'(x).
(1)求fx)的单调区间;
(2)证明:对任意的x>0,gx)<
共享时间:2023-07-19 难度:2 相似度:1.5
169034. (2020•西安中学•三模) 已知函数fx)=(xexx).
(1)求fx)的导函数;
(2)求fx)在区间[,+∞)上的取值范围.
共享时间:2020-04-01 难度:2 相似度:1.5
168712. (2021•西安中学•仿真) 已知函数
(Ⅰ)当a=1,求函数yfx)的图象在x=0处的切线方程;
(Ⅱ)若函数fx)在(0,1)上单调递增,求实数a的取值范围.
共享时间:2021-06-05 难度:2 相似度:1.5
170125. (2023•铁一中学•高三上期末) 设函数fx)=x3﹣(1+ax2+4ax+24a,其中常数a>1
(1)讨论fx)的单调性;
(2)若当x≥0时,fx)>0恒成立,求a的取值范围.
共享时间:2023-02-08 难度:2 相似度:1.5
168781. (2021•西安中学•八模) 已知函数fx)=ex﹣(x+mlnx+m)+xm≤2.
(1)当m=1时,求函数在x=0处的切线方程;
(2)证明:函数fx)为单调递增函数.
共享时间:2021-06-19 难度:2 相似度:1.5
168828. (2021•西工大附中•十二模) 已知函数fx)=exx2mx﹣1.
(Ⅰ)当m=1时,求证:x≥0时,fx)≥0;
(Ⅱ)当m≤1时,试讨论函数yfx)的零点个数.
共享时间:2021-07-26 难度:2 相似度:1.5
168874. (2021•西工大附中•十模) 已知函数fx)=2lnxaxa∈R.
(Ⅰ)讨论fx)的单调性;
(Ⅱ)当a=﹣1时,令gx)=x2fx),其导函数为g'(x),设x1x2是函数gx)的两个零点,判断是否为g'(x)的零点?并说明理由.
共享时间:2021-07-03 难度:2 相似度:1.5
169012. (2020•西安中学•一模) 已知函数fx)=x2﹣2xlnx,函数gx)=x+,其中a∈R,x0gx)的一个极值点,且gx0)=2.
(1)讨论fx)的单调性;
(2)求实数x0a的值;
(3)证明
共享时间:2020-03-12 难度:2 相似度:1.5

dygzsxyn

2025-03-26

高中数学 | | 解答题

  • 下载量
  • 浏览量
  • 收益额
  • 0
  • 3
  • 0
相同试题
试题下载
试题内容
调用试题名称
共享人
唐老师
试题题型
解答题
试题难度
试题题源
2020*西工大*期末
下载次数
168次
下载金币
5德优币(当前结余18德优币)
温馨提示
该试题下载至自主题库后,下载、备课永久免费!
试卷设置
试卷名称
省市校区
阶段科目
年份卷型
选择类型
已选考点
在线训练
视频讲解
温馨提示
视频讲解正在加载中、请等待!
温馨提示
对不起!这是别人共享的试题,需要下载到自主题库后,可将该试题添加到白板
视频解析购买
支付方式
德优币数
本次消耗0德优币
温馨提示

客服电话:400-816-0029,服务邮箱:610066832@qq.com

视频资源

试题找茬
纠错类型
纠错描述
温馨提示
共享试题、试卷经平台审核通过后方可展示,并永久享用用户下载分红权!