德优网2023陕西省西安市高新区高新一中初中数学考试期末八年级上
2022-2023学年陕西省西安市雁塔区高新一中八年级(上)期末数学测试试卷
试卷总分:52分
命题人:csyn@dyw.com
考试时长:120分钟
一、选择题(10小题共30分)
1.
(本题3分)
点P(1,2)所在的象限是( )
A.第一象限
B.第二象限
C.第三象限
D.第四象限
2.
(本题3分)
2﹣
介于( )
A.0和1之间
B.1和2之间
C.0和-1之间
D.-1和-2之间
3.
(本题3分)
以下命题的逆命题为真命题的是( )
A.对顶角相等
B.同旁内角互补,两直线平行
C.若a=b,则a2=b2
D.若a>0,b>0,则a2+b2>0
4.
(本题3分)
如图,直线AE∥BF,BC平分∠ABF,AC⊥BC,∠1=40°,则∠2的度数为( )
5.
(本题3分)
某班有50人,一次数学测试后,老师对测试成绩进行了统计.由于小颖没有参加此次集体测试,因此计算其他49人的平均分为92分,方差s2=23.后来小颖进行了补测,成绩是92分,关于该班50人的数学测试成绩,下列说法正确的是( )
A.平均分不变,方差变小
|
B.平均分不变,方差变大
|
C.平均分和方差都不变
|
D.平均分和方差都改变
|
6.
(本题3分)
直线y=kx+b经过第二、三、四象限,则直线y=bx+k的图象可能是图中的( )
7.
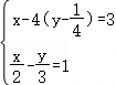
(本题3分)
若关于x,y的二元一次方程组
的解也是二元一次方程2x+3y=6的解,则k的值为( )
8.
(本题3分)
如图,在△ABC中,∠C=60°,∠B=45°,AD⊥BC,EF垂直平分AC交AD于点E,交AC于点F,AB=8,则EF的长为( )

9.
(本题3分)
如图,在平面直角坐标系中,点A的坐标是(﹣3,0),点B的坐标是(0,4),点C是OB上一点,将△ABC沿AC折叠,点B恰好落在x轴上的点B'处,则点C的坐标为( )

A.(
,0)
B.(0,
)
C.(
,0)
D..(0,
)
10.
(本题3分)
如图,∠MON=90°,直角三角形ABD的顶点A,B分别在边OM,ON上,当B在边ON上运动时,点A随之在边OM上运动,直角三角形ABD的形状保持不变,其中AB=2,AD=1.运动过程中,点D到点O的最大距离为( )

转载声明:
本题解析属于发布者收集录入,如涉及版权请向平台申诉!
!版权申诉