首页 | 客服 | 上传赚现
AI助手
德优题库AI助手

AI助手

搜题▪组卷

(1)

服务热线

400-816-0029

    自建题库,共享分红

德优题库QQ交流群

244606. (2023•高新一中•八上期末) (1)计算:
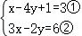
(2)解方程组:
共享时间:2023-02-12 难度:3
[考点]
实数的运算,负整数指数幂,解二元一次方程组,
[答案]
(1);(2)
[解析]
解:(1)原式=


(2)
整理得:
①﹣②×2得:﹣5x=﹣10,解得x=2,
x=2代入①得:2﹣4y=2.解得y=0,
∴方程组的解为
[点评]
本题考查了"实数的运算,负整数指数幂,解二元一次方程组,",属于"典型题",熟悉题型是解题的关键。
转载声明:
本题解析属于发布者收集录入,如涉及版权请向平台申诉! !版权申诉
1042. (2019•陕西省•真题) 计算:﹣2×+|1|﹣(2
共享时间:2019-07-05 难度:2 相似度:1.67
211815. (2025•西工大附中•三模) 计算:
 
共享时间:2025-04-02 难度:2 相似度:1.67
共享时间:2025-04-29 难度:2 相似度:1.67
210930. (2025•高新一中•一模) 计算:
共享时间:2025-03-14 难度:2 相似度:1.67
210696. (2025•长安区•二模) 计算:
共享时间:2025-03-23 难度:2 相似度:1.67
210566. (2025•师大附中•三模) 计算:
共享时间:2025-04-11 难度:2 相似度:1.67
25674. (2023•陕西省•真题) 计算:×(−)−()−1+|−23|
共享时间:2023-07-20 难度:1 相似度:1.67
25615. (2023•爱知中学•二模) 计算:2−1−(−2)+(−2)×
共享时间:2023-04-28 难度:1 相似度:1.67
210540. (2025•师大附中•四模) 计算:
共享时间:2025-04-22 难度:2 相似度:1.67
210514. (2025•师大附中•五模) 计算:
共享时间:2025-05-05 难度:2 相似度:1.67
共享时间:2024-11-21 难度:2 相似度:1.67
共享时间:2021-08-10 难度:3 相似度:1.67
2763. (2020•益新中学•模拟) 计算:﹣(1||
 
共享时间:2020-06-26 难度:2 相似度:1.67
共享时间:2024-10-21 难度:2 相似度:1.67
共享时间:2024-04-24 难度:2 相似度:1.67

csyn@dyw.com

2023-02-12

初中数学 | 八年级上 | 解答题

  • 下载量
  • 浏览量
  • 收益额
  • 0
  • 1
  • 0
相同试题
试题下载
试题内容
调用试题名称
共享人
唐老师
试题题型
解答题
试题难度
试题题源
2020*西工大*期末
下载次数
168次
下载金币
5德优币(当前结余18德优币)
温馨提示
该试题下载至自主题库后,下载、备课永久免费!
试卷设置
试卷名称
省市校区
阶段科目
年份卷型
选择类型
已选考点
在线训练
视频讲解
温馨提示
视频讲解正在加载中、请等待!
温馨提示
对不起!这是别人共享的试题,需要下载到自主题库后,可将该试题添加到白板
视频解析购买
支付方式
德优币数
本次消耗0德优币
温馨提示

客服电话:400-816-0029,服务邮箱:610066832@qq.com

视频资源

试题找茬
纠错类型
纠错描述
温馨提示
共享试题、试卷经平台审核通过后方可展示,并永久享用用户下载分红权!