首页 | 客服 | 上传赚现
AI助手
德优题库AI助手

AI助手

搜题▪组卷

(1)

服务热线

400-816-0029

    自建题库,共享分红

德优题库QQ交流群

237269. (2021•西安中学•高二下期中) 计算:
(1)若,求a0+a1+a2+⋯+a6+a7的值;
(2)求的值;
(3)求的值.
共享时间:2021-05-12 难度:3
[考点]
定积分、微积分基本定理,复数的运算,二项式定理,
[答案]
(1)2;
(2)﹣1;
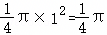
(3)
[解析]
解:(1)由题意,令x=1,得(1+1)(2﹣1)6a0+a1+a2+⋯+a6+a7
a0+a1+a2+⋯+a6+a7=2;
(2)原式=
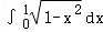
(3)由题意可得,表示x轴围成的区域面积,
表示一个半径为1的个圆,其面积为
lnxlneln1=1,
所以
[点评]
本题考查了"定积分、微积分基本定理,复数的运算,二项式定理,",属于"典型题",熟悉题型是解题的关键。
转载声明:
本题解析属于发布者收集录入,如涉及版权请向平台申诉! !版权申诉
170462. (2022•西工大附中•高一下期末) 回答下列问题,请写出必要的答题步骤:
(1)若ab为有理数),请求出a+b的值.
(2)在的展开式中,求:第5项的二项式系数及第5项的系数.
(3)已知,求a0a7
共享时间:2022-07-08 难度:1 相似度:1.33
171141. (2025•西安八十五中•高二下期中) ,已知a3=﹣280.
(1)求实数a的值;
(2)求a1+a2+a3+⋯+a7的值;
(3)求的值.
共享时间:2025-04-28 难度:1 相似度:1.33
236736. (2016•西北大附中•高二下期末) 已知(n展开式中第三项的系数比第二项的系数大162,求:
(1)n的值;
(2)展开式中含x3的项.
共享时间:2016-07-03 难度:1 相似度:1.33
171802. (2023•西安中学•高一下期中) 已知复数z满足|z|=z的实部大于0,z2的虚部为2;
(1)求复数z
(2)设复数zz2zz2在复平面上对应的点分别为ABC,求(+)•的值.
共享时间:2023-05-17 难度:1 相似度:1.33
232463. (2023•南开中学•高二上二月) 已知(1+3x8a0+a1x+a2x2+…+a7x7+a8x8,计算:
(1)a0+a1+…+a7+a8
(2)a0a1+a2a3+…﹣a7+a8
(3)a1+a2+…+a8
共享时间:2023-12-28 难度:1 相似度:1.33
231905. (2025•高新一中•高一下一月) 已知复数zi2020+(1﹣i2(其中i为虚数单位),若复数z的共轭复数为,且
(1)求复数
(2)求复数z1
(3)若z1是关于x的方程x2px+q=0的一个根,求实数pq的值,并求出方程x2px+q=0的另一个复数根.
共享时间:2025-04-10 难度:1 相似度:1.33
169717. (2023•师大附中•高一下期末) 已知z是复数,z+2i均为实数,其中i是虚数单位.
(1)求复数z的共轭复数
(2)记,若复数z1对应的点在第三象限,求实数m的取值范围.
共享时间:2023-07-17 难度:2 相似度:0.83
232891. (2024•交大附中•高一下二月) 已知复数,其中m≠3,m∈R.
(1)若z1z2是纯虚数,求m的值.
(2)z1z2能否为某实系数一元二次方程的两个虚根?若能,求出m的值;若不能,请说明理由.
共享时间:2024-06-19 难度:2 相似度:0.83
231196. (2016•西工大附中•二模) 已知函数fx)=kxlnxk≠0)有极小值﹣
(1)求实数k的值;
(2)设实数ab满足0<ab
①计算:|lnxln|dx
②记①中计算结果Gab),求证:Gab)<ln2.
共享时间:2016-03-22 难度:2 相似度:0.83
172046. (2023•铁一中学•高一下期中) 已知复数z=(m2+m﹣2)+(2m2m﹣3)im∈R,其中i为虚数单位.
(1)若复数z为纯虚数,求m的值;
(2)若,求m的值.
共享时间:2023-05-21 难度:2 相似度:0.83
172004. (2023•西工大附中•高一下期中) (1)关于x的方程2x2﹣(2i﹣1)x+ai=0(i是虚数单位)有实根,求实数a的值.
(2)复数z=(m2m﹣6)+(2m2﹣5m﹣3)i,若z为纯虚数(i是虚数单位),求实数m的值.
共享时间:2023-05-10 难度:2 相似度:0.83
171612. (2024•交大附中•高一下期中) 已知复数zm2﹣4m+3+(m2﹣3m+2)ii为虚数单位,m∈R).
(1)若z为实数,求m的值;
(2)若z为纯虚数,z是关于x的方程x2﹣(3+2ix+6i=0的一个根,求方程的另一根.
共享时间:2024-05-18 难度:2 相似度:0.83
237613. (2020•西安中学•高二下期中) 已知复数Z=(1+im2﹣(2+4im﹣3+3im∈R.
(Ⅰ)若Z为纯虚数,求m的值;
(Ⅱ)若Z对应的点在直线yx上,求m的值.
共享时间:2020-05-11 难度:2 相似度:0.83
171523. (2024•高新一中•高一下期中) 已知复数z与(z+2)2﹣8i都是纯虚数.
(Ⅰ)求|z|;
(Ⅱ)若复数z﹣3是关于x的方程x2+px+q=0的一个根,求实数pq的值.
共享时间:2024-05-26 难度:3 相似度:0.66
171218. (2024•师大附中•高一下期中) 已知复数z满足:|z|+iz=1+3i
(1)求复数z
(2)化简:
共享时间:2024-05-18 难度:3 相似度:0.66

dygzsxyn

2021-05-12

高中数学 | 高二下 | 解答题

  • 下载量
  • 浏览量
  • 收益额
  • 0
  • 3
  • 0
相同试题
试题下载
试题内容
调用试题名称
共享人
唐老师
试题题型
解答题
试题难度
试题题源
2020*西工大*期末
下载次数
168次
下载金币
5德优币(当前结余18德优币)
温馨提示
该试题下载至自主题库后,下载、备课永久免费!
试卷设置
试卷名称
省市校区
阶段科目
年份卷型
选择类型
已选考点
在线训练
视频讲解
温馨提示
视频讲解正在加载中、请等待!
温馨提示
对不起!这是别人共享的试题,需要下载到自主题库后,可将该试题添加到白板
视频解析购买
支付方式
德优币数
本次消耗0德优币
温馨提示

客服电话:400-816-0029,服务邮箱:610066832@qq.com

视频资源

试题找茬
纠错类型
纠错描述
温馨提示
共享试题、试卷经平台审核通过后方可展示,并永久享用用户下载分红权!